Обобщенные морсовские вейвлеты являются семейством точно аналитических вейвлетов. Аналитические вейвлеты являются комплексными вейвлетами, преобразования Фурье которых поддерживаются только на положительной действительной оси. Они полезны для анализа модулированных сигналов, которые являются сигналами с изменяющейся во времени амплитудой и частотой. Они также полезны для анализа локализованных разрывов. Семинальная бумага для обобщенных вейвлетов Морса является Olhede и Walden [1]. Теория Морзе вейвлетов и их приложений к анализу модулированных сигналов получила дальнейшее развитие в серии работ Лилли и Олхеде [2], [3] и [4]. Эффективные алгоритмы для расчета вейвлетов Морса и их свойств были разработаны Лилли [5].
Преобразование Фурье обобщенного вейвлета Морса является
где U(ω) - модуль шаг, является нормирующей константой, P2 является продуктом с временной пропускной способностью, и характеризует симметрию вейвлета Морса. Большая часть литературы о Морзе вейвлеты использует , который можно рассматривать как параметр затухания или компактности, а не как продукт с временной полосой пропускания, . Уравнение для вейвлета Морса в области Фурье параметризовано как и является
Подробное объяснение параметризации вейвлетов Морса смотрите в [2].
Путем настройки продукта полосы времени и параметров симметрии вейвлета Морса, можно получить аналитические вейвлеты с различными свойствами и поведением. Сила Морзе вейвлетов заключается в том, что многие обычно используемые аналитические вейвлеты являются особыми случаями обобщенного Морзе вейвлета. Для примера Коши вейвлеты имеют = 1 и вейвлеты Бесселя аппроксимируются = 8 и = 0.25. См. Обобщенные Морзе и Аналитические Вейвлеты Морле.
Как упоминалось ранее, вейвлеты Морса имеют два параметра, симметрию и продукт временной полосы, которые определяют форму вейвлета и влияют на поведение преобразования. Параметр гамма-сигнала вейвлета, , управляет симметрией вейвлета во времени через демодулятивное искривление [2]. Квадратный корень продукта временной полосы, P, пропорционален длительности вейвлета во времени. Для удобства Морс вейвелирует в cwt и cwtfilterbank параметризованы как продукт временной полосы и гамма. Длительность определяет, сколько колебаний может вписаться в центральное окно вейвлета во временной области на его пиковой частоте. Пиковая частота .
(Демодулирующая) перекос вейвлета Морса равен 0, когда гамма равна 3. Морзские вейвлеты также имеют минимальную площадь Гейзенберга, когда гамма равна 3. По этим причинам, cwt и cwtfilterbank используйте это как значение по умолчанию.
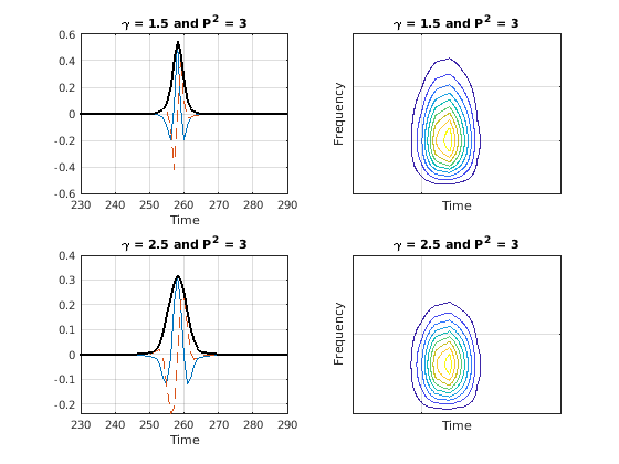
Эти графики показывают, как различные значения симметрии и временной полосы влияют на форму вейвлета Морса. Более длинные полосы пропускания времени расширяют центральный фрагмент вейвлета и увеличивают скорость длительного распада времени. Увеличение симметрии расширяет огибающий вейвлет, но не влияет на длительный временной распад. Для значений симметрии, меньших или равных 3, временной распад увеличивается с увеличением временной полосы. Для симметрии, большей или равной 3, уменьшение временной полосы делает вейвлет менее симметричным. Когда и симметрия, и частота временной полосы увеличиваются, вейвлет больше колебается во времени и сужается по частоте. Очень малая частотная полоса и большие значения симметрии создают нежелательные боковые области временной области и асимметрию частотного диапазона.
На графиках во временной области в левом столбце красная линия является вещественной частью, а синяя линия - мнимой частью. Контурные графики в правом столбце показывают, как параметры влияют на разброс во времени и частоте.


Коэффициенты от вейвлет-преобразования, использующего аналитический вейвлет на действительном сигнале, пропорциональны коэффициентам соответствующего аналитического сигнала. Аналитический сигнал задан как обратное преобразование Фурье
Значение аналитического сигнала зависит от
Для и > 0 преобразование Фурье аналитического сигнала в два раза превышает преобразование Фурье соответствующего неаналитического сигнала,.
Для и = 0 преобразование Фурье аналитического сигнала равно преобразованию Фурье соответствующего неаналитического сигнала.
Для и < 0 преобразование Фурье аналитического сигнала исчезает.
Давайте обозначает вейвлет сигнала, f(t), в u преобразования и шкале s. Если анализирующий вейвлет аналитический, вы получаете , где fa(t) - аналитический сигнал, относящийся к f(t). Для всех вейвлетов, используемых в cwtамплитуда вейвлет фильтра на пиковой частоте для каждой шкалы установлена равной 2. Дополнительно, cwt использует L1 нормализацию. Для действительного синусоидального входа с радианной частотой и амплитудой A, вейвлет-преобразование с использованием аналитического вейвлета приводит к коэффициентам, которые колеблются с той же частотой, . Путем выделения коэффициентов в шкале, пиковая величина 2 гарантирует, что анализируемый колебательный компонент имеет правильную амплитуду, A.
Этот пример показывает, как аналитическое вейвлет действительного сигнала аппроксимирует соответствующий аналитический сигнал.
Это демонстрируется с помощью синусоиды. Если вы получаете вейвлет-преобразование синусоиды с помощью аналитического вейвлета и извлекаете вейвлет-коэффициенты в шкале, соответствующей частоте синусоида, коэффициенты аппроксимируют аналитический сигнал. Для синусоиды аналитический сигнал является комплексной экпонентой той же частоты.
Создадим синусоиду с частотой 50 Гц.
t = 0:.001:1; x = cos(2*pi*50*t);
Получите его непрерывное вейвлет-преобразование с помощью аналитического вейвлета Морса и аналитического сигнала. У вас должны быть Signal Processing Toolbox™ для использования hilbert.
[wt,f] = cwt(x,1000,'voices',32,'ExtendSignal',false); analytsig = hilbert(x);
Получите коэффициенты вейвлета в шкале, ближайшей к частоте синусоиды 50 Гц.
[~,idx] = min(abs(f-50)); morsecoefx = wt(idx,:);
Сравните действительную и мнимую части аналитического сигнала с коэффициентами вейвлета на частоте сигнала.
figure; plot(t,[real(morsecoefx)' real(analytsig)']); title('Real Parts'); ylim([-2 2]); grid on; legend('Wavelet Coefficients','Analytic Signal','Location','SouthEast'); xlabel('Time'); ylabel('Amplitude');

figure; plot(t,[imag(morsecoefx)' imag(analytsig)']); title('Imaginary Parts'); ylim([-2 2]); grid on; legend('Wavelet Coefficients','Analytic Signal','Location','SouthEast'); xlabel('Time'); ylabel('Amplitude');

cwt использует L1 нормализацию и масштабирует вейвлет фильтры, чтобы иметь пиковую величину 2. Коэффициент 1/2 в приведенном выше уравнении отменяется пиковым значением величины.
Вейвлет представляет частотно-локализованную фильтрацию сигнала. Соответственно, коэффициенты CWT менее чувствительны к шуму, чем коэффициенты преобразования Гильберта.
Добавьте высокий шум к сигналу и повторно исследуйте коэффициенты вейвлета и аналитический сигнал.
y = x + filter(1,[1 0.9],0.1*randn(size(x))); analytsig = hilbert(y); [wt,f] = cwt(y,1000,'voices',32,'ExtendSignal',0); morsecoefy = wt(idx,:); figure; plot(t,[real(analytsig)' x']); legend('Analytic Signal','Original Signal'); grid on; xlabel('Time'); ylabel('Amplitude'); ylim([-2 2])

figure; plot(t,[real(morsecoefy)' x']); legend('Wavelet Coefficients','Original Signal'); grid on; xlabel('Time'); ylabel('Amplitude'); ylim([-2 2])

Для наилучших результатов при использовании CWT используйте симметрию, , из 3, который является по умолчанию для cwt и cwtfilterbank. С фиксированной гаммой, увеличение продукта с временной полосой пропускания сужает вейвлет по частоте при увеличении ширины центрального фрагмента фильтра во времени. Это также увеличивает количество колебаний вейвлета под центральным фрагментом фильтра.
[1] Olhede, S. C., and A. T. Walden. «Обобщенные морсовые вейвлеты». Транзакции IEEE по обработке сигналов, том 50, № 11, 2002, стр. 2661-2670.
[2] Лилли, Дж. М. и С. К. Олхеде. «свойства аналитических вейвлетов более высокого порядка». Транзакции IEEE по обработке сигналов, том 57, № 1, 2009, стр. 146-160.
[3] Лилли, Дж. М. и С. К. Олхеде. «Об аналитическом вейвлет». Транзакции IEEE по теории информации, том 56, № 8, 2010, стр. 4135-4156.
[4] Лилли, Дж. М. и С. К. Олхеде. Обобщенные Морзе вейвлеты как надсемейство аналитических вейвлетов. Транзакции IEEE по обработке сигналов том 60, № 11, 2012, стр. 6036-6041.
[5] Lilly, J. M. jLab: Пакет анализа данных для Matlab, версия 1.6.2., 2016. http://www.jmlilly.net/jmlsoft.html.
[6] Lilly, J. M. «Element analysis: a wavelet-based method for analysing time-localized events in шумные временные ряды». Труды Королевского общества А. Том 473:20160776, 2017, стр. 1-28. dx.doi.org/10.1098/rspa.2016.0776.