exponenta event banner

getIOTransfer

Передаточная функция с обратной связью из обобщенной модели системы управления

Описание

пример

H = getIOTransfer(T,in,out) возвращает передаточную функцию от заданных входных параметров до заданных выходных параметров системы управления, вычисленной из обобщенной модели с обратной связью системы управления.

пример

H = getIOTransfer(T,in,out,openings) возвращает передаточную функцию, вычисленную с одним или несколькими открытыми циклами.

Примеры

свернуть все

Анализируйте ответы системы управления при помощи getIOTransfer вычислить ответы между различными вводами и выводами модели с обратной связью системы.

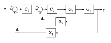
Рассмотрите следующую систему управления.

Создайте genss модель системы путем определения и соединения числовых моделей объекта управления G1 и G2, настраиваемые контроллеры C1 и C2, и AnalysisPoint блоки X1 и X2 то открытие цикла потенциала метки или сайты ввода сигналов.

G1 = tf(10,[1 10]);
G2 = tf([1 2],[1 0.2 10]);
C1 = tunablePID('C','pi');
C2 = tunableGain('G',1);
X1 = AnalysisPoint('X1');
X2 = AnalysisPoint('X2');
T = feedback(G1*feedback(G2*C2,X2)*C1,X1);
T.InputName = 'r';
T.OutputName = 'y';

Если вы настроили свободные параметры этой модели (например, с помощью настраивающейся команды systune), вы можете хотеть анализировать настроенную производительность системы путем исследования различных откликов системы.

Например, исследуйте ответ при выходе, y, к воздействию, введенному в точке d1.

H1 = getIOTransfer(T,'X1','y');

H1 представляет ответ с обратной связью системы управления к воздействию, введенному в неявном входе, сопоставленном с AnalysisPoint блок X1, который является местоположением d1:

H1 genss модель, которая включает настраиваемые блоки T. Если вы настроили свободные параметры T, H1 позволяет вам подтверждать ответ воздействия своей настроенной системы. Например, можно использовать аналитические команды, такие как bodeplot или stepplot исследовать ответы H1. Можно также использовать getValue получить текущее значение H1, в котором все настраиваемые блоки оценены к их текущим числовым значениям.

Точно так же исследуйте ответ при выходе к воздействию, введенному в точке d2.

H2 = getIOTransfer(T,'X2','y');

Можно также сгенерировать 2D вход, модель с одним выходом, представляющая ответ системы управления к одновременным воздействиям в обоих d1 и d2. Для этого обеспечьте getIOTransfer с массивом ячеек, который задает несколько входных местоположений.

H = getIOTransfer(T,{'X1','X2'},'y');

Вычислите ответ от r до y следующей каскадной системы управления с открытым внутренним циклом, и замкнутый внешний круг.

Создайте genss модель системы путем определения и соединения числовых моделей объекта управления G1 и G2, настраиваемые контроллеры C1 и C2, и AnalysisPoint блоки X1 и X2 то открытие цикла потенциала метки или сайты ввода сигналов.

G1 = tf(10,[1 10]);
G2 = tf([1 2],[1 0.2 10]);
C1 = tunablePID('C','pi');
C2 = tunableGain('G',1);
X1 = AnalysisPoint('X1');
X2 = AnalysisPoint('X2');
T = feedback(G1*feedback(G2*C2,X2)*C1,X1);
T.InputName = 'r';
T.OutputName = 'y';

Если вы настроили свободные параметры этой модели (например, с помощью настраивающейся команды systune), вы можете хотеть анализировать настроенную производительность системы путем исследования различных откликов системы.

Например, вычислите ответ системы с открытым внутренним циклом, и замкнутый внешний круг.

H = getIOTransfer(T,'r','y','X2');

По умолчанию круги замкнуты в аналитических точках X1 и X2. Определение 'X2' для openings аргумент вызывает getIOTransfer открыть цикл в X2 в целях вычисления требуемой передачи от r до y. Переключатель в X1 остается закрытым для этого расчета.

Входные параметры

свернуть все

Модель системы управления в виде обобщенной модели в пространстве состояний (genss).

Введите к извлеченной передаточной функции в виде вектора символов или массива ячеек из символьных векторов. Чтобы извлечь несколько - входная передаточная функция от системы управления, используйте массив ячеек из символьных векторов. Каждый заданный вход должен соответствовать также:

  • Вход модели T системы управления; то есть, название канала fromT.InputName.

  • Аналитическая точка в T, соответствие каналу AnalysisPoint блокируйтесь в T. Получить список доступного анализа указывает в T, используйте getPoints(T).

    Когда вы указываете, что анализ указывает как вход in, getIOTransfer использует вход, неявно сопоставленный с AnalysisPoint образуйте канал, расположенные можно следующим образом.

    Этот входной сигнал моделирует воздействие, входящее при выходе переключателя.

Если аналитическая точка имеет то же имя как вход Tто getIOTransfer использует вход T.

Пример: {'r','X1'}

Выход извлеченной передаточной функции в виде вектора символов или массива ячеек из символьных векторов. Чтобы извлечь несколько - выходная передаточная функция от системы управления, используйте массив ячеек из символьных векторов. Каждый заданный выход должен соответствовать также:

  • Выход модели T системы управления; то есть, название канала от T.OutputName.

  • Аналитическая точка в T, соответствие каналу AnalysisPoint блокируйтесь в T. Получить список доступного анализа указывает в T, используйте getPoints(T).

    Когда вы указываете, что анализ указывает как выход out, getIOTransfer использует выход, неявно сопоставленный с AnalysisPoint образуйте канал, расположенные можно следующим образом.

Если аналитическая точка имеет то же имя как выход Tто getIOTransfer использует выход T.

Пример: {'y','X2'}

Местоположения для вводной обратной связи для расчета ответа от in к outВ виде вектора символов или массива ячеек из символьных векторов, которые идентифицируют аналитические точки в T. Аналитические точки отмечены AnalysisPoint блоки в T. Получить список доступного анализа указывает в T, используйте getPoints(T).

Используйте openings когда это необходимо, вычислить ответ из in к out с некоторыми циклами в открытой системе управления. Например, в каскадной настройке цикла, можно вычислить ответ от системного входа до системы выход с открытым внутренним циклом.

Выходные аргументы

свернуть все

Передаточная функция с обратной связью системы управления T от in к out, возвращенный как обобщенная модель в пространстве состояний (genss).

  • Если оба in и out задайте один сигнал, затем T SISO genss модель.

  • Если in или out задает несколько сигналов, затем T MIMO genss модель.

Советы

  • Можно использовать getIOTransfer извлекать различные ответы подсистемы, учитывая обобщенную модель полной системы управления. Это полезно для проверки ответов системы управления, что вы настраиваете с настраивающимися командами такой как systune.

    Например, в дополнение к оценке полного ответа настроенной системы управления от входных параметров до выходных параметров, можно использовать getIOTransfer извлекать передаточную функцию от входа воздействия до системы выход. Оцените ответы той передаточной функции (такой как с step или bode) подтвердить, что настроенная система удовлетворяет ваши требования подавления помех.

  • getIOTransfer genss эквивалентный Simulink® Control Design™ getIOTransfer Команда (Simulink Control Design), которая работает с slTuner и slLinearizer интерфейсы. Используйте команду Simulink Control Design, когда ваша система управления будет смоделирована в Simulink.

Смотрите также

| | | | | (Simulink Control Design)

Представленный в R2012b