exponenta event banner

getLoopTransfer

Передаточная функция разомкнутого контура системы управления представлена genss модель

Описание

пример

L = getLoopTransfer(T,Locations) возвращает передаточную функцию разомкнутого контура "точка-точка" системы управления в заданных аналитических точках. Система управления представлена обобщенной моделью в пространстве состояний T, содержание аналитических точек задано Locations. Передаточная функция разомкнутого контура "точка-точка" является ответом, полученным путем открытия цикла в заданных местоположениях, введения сигналов в тех местоположениях и измерения сигналов возврата в тех же местоположениях.

пример

L = getLoopTransfer(T,Locations,sign) указывает, что обратная связь расписывается за вычисление ответа разомкнутого контура. Отношение между ответом с обратной связью T и ответ разомкнутого контура L T = feedback(L,1,sign).

пример

L = getLoopTransfer(T,Locations,sign,openings) задает дополнительные открывающие цикл местоположения, чтобы открыться для вычисления ответа разомкнутого контура в Locations.

Примеры

свернуть все

Вычислите ответ разомкнутого контура следующей модели системы управления в аналитической точке, заданной AnalysisPoint блок, X.

Создайте модель системы путем определения и соединения числовой модели объекта управления LTI, G, настраиваемый контроллер, C, и AnalysisPointX.

G = tf([1 2],[1 0.2 10]);
C = tunablePID('C','pi');
X = AnalysisPoint('X');  
T = feedback(G*X*C,1);

T genss модель, которая представляет ответ с обратной связью системы управления от r к y. Модель содержит AnalysisPoint блок X, который идентифицирует потенциальное открывающее цикл местоположение.

Вычислите разомкнутый контур передача цикла "точка-точка" в местоположении X.

L = getLoopTransfer(T,'X');

Эта команда вычисляет передаточную функцию, которую вы получили бы путем открытия цикла в X, введение сигнала в G, и измерение получившегося ответа при выходе C. По умолчанию, getLoopTransfer вычисляет передаточную функцию положительной обратной связи, которая является передачей цикла, принимающей, что круг будет замкнут в X без изменения знака. В этом примере передаточная функция положительной обратной связи L(s)=-C(s)G(s).

Выход L genss модель, которая включает настраиваемый блок C. Можно использовать getValue получить текущее значение L, в котором все настраиваемые блоки L оценены к их текущему числовому значению.

Вычислите запасы устойчивости следующей системы с обратной связью в аналитической точке, заданной AnalysisPoint блок, X.

Создайте модель системы путем определения и соединения числовой модели объекта управления LTI G, настраиваемый контроллер C, и AnalysisPoint блок X.

G = tf([1 2],[1 0.2 10]);
C = pid(0.1,1.5);
X = AnalysisPoint('X');  
T = feedback(G*X*C,1);

T genss модель, которая представляет ответ с обратной связью системы управления от r к y. Модель содержит AnalysisPoint блок X это идентифицирует потенциальное открывающее цикл местоположение.

По умолчанию, getLoopTransfer возвращает передаточную функцию L при заданном анализе указывают таким образом что T = feedback(L,1,+1). Однако margin принимает отрицательную обратную связь, так, чтобы margin(L) вычисляет запас устойчивости отрицательной обратной связи система с обратной связью feedback(L,1). Поэтому, чтобы анализировать запасы устойчивости, установите sign входной параметр к -1 извлекать передаточную функцию L таким образом, что T = feedback(L,1). В этом примере эта передаточная функция L(s)=C(s)G(s).

L = getLoopTransfer(T,'X',-1);

Эта команда вычисляет передаточную функцию разомкнутого контура из входа G к выходу C, предположение, что круг замкнут с отрицательной обратной связью, так, чтобы можно было использовать его с аналитическими командами как margin.

[Gm,Pm] = margin(L)
Gm = 1.4100
Pm = 4.9486

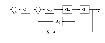
Вычислите ответ разомкнутого контура внутреннего цикла следующей каскадной системы управления с открытым внешним контуром.

Создайте модель системы путем определения и соединения числовых моделей объекта управления G1 и G2, настраиваемые контроллеры C1, и AnalysisPoint блоки X1 и X2 тот потенциал метки открывающие цикл местоположения.

G1 = tf(10,[1 10]);
G2 = tf([1 2],[1 0.2 10]);
C1 = tunablePID('C','pi');
C2 = tunableGain('G',1);
X1 = AnalysisPoint('X1');
X2 = AnalysisPoint('X2');
T = feedback(G1*feedback(G2*C2,X2)*C1,X1);

Вычислите ответ разомкнутого контура отрицательной обратной связи внутреннего цикла в местоположении X2, с внешним контуром, открытым в X1.

L = getLoopTransfer(T,'X2',-1,'X1');

По умолчанию круг замкнут в местоположении аналитической точки, отмеченном AnalysisPoint блок X1. Определение 'X1' для openings аргумент вызывает getLoopTransfer открыть цикл в X1 в целях вычисления требуемого цикла передают в X2. В этом примере, ответе разомкнутого контура отрицательной обратной связи L(s)=G2(s)C2(s).

Входные параметры

свернуть все

Модель системы управления в виде Обобщенного Пространства состояний (genss) Модель. Местоположения, в которых вы можете разомкнутые контуры и выполнять анализ разомкнутого контура, отмечены AnalysisPoint блоки в T.

Местоположения аналитической точки в модели системы управления, в которой можно вычислить разомкнутый контур ответ "точка-точка" в виде вектора символов или массива ячеек из символьных векторов, которые идентифицируют местоположения аналитической точки в T.

Местоположения аналитической точки отмечены AnalysisPoint блоки в T. AnalysisPoint блок может иметь один или несколько каналов. Location свойство AnalysisPoint блок дает имена этим каналам обратной связи.

Имя любого канала в AnalysisPoint блокируйтесь в T действительный доступ для Locations аргумент к getLoopTransfer. Получить полный список доступного анализа указывает в T, используйте getPoints(T).

getLoopTransfer вычисляет ответ разомкнутого контура, который вы получили бы путем введения сигнала в неявном входе, сопоставленном с AnalysisPoint образуйте канал, и измерение ответа при неявном выходе, сопоставленном с каналом. Эти неявные вводы и выводы располагаются можно следующим образом.

L передаточная функция разомкнутого контура от in к out.

Знак передаточной функции разомкнутого контура для анализа в виде +1 или -1.

По умолчанию, для входа система с обратной связью T, функция возвращает передаточную функцию L в заданной аналитической точке, такой, что T = feedback(L,1,+1). Однако определенные аналитические команды, которые берут ответ разомкнутого контура, принимают, что круг будет замкнут с отрицательной обратной связью. Например, margin(L) вычисляет запас устойчивости отрицательной обратной связи система с обратной связью feedback(L,1). Точно так же запасы устойчивости можно получить путем щелчка правой кнопкой по a bode график делает то же предположение. Поэтому, когда вы используете getLoopTransfer чтобы извлечь передаточную функцию разомкнутого контура с целью анализа устойчивости с обратной связью, можно установить sign= -1 извлекать передаточную функцию L таким образом, что T = feedback(L,1).

Например, рассмотрите следующую систему, где T передаточная функция с обратной связью от r до y.

По умолчанию, L = getLoopTransfer(T,'X') вычисляет передаточную функцию L = –C (s) G (s), такой что T = feedback(L,1,+1). Вычислить запасы устойчивости в X использование margin команда, которая принимает отрицательную обратную связь, необходимо вычислить передаточную функцию L = C (s) G (s), такой что T = feedback(L,1). Для этого используйте L = getLoopTransfer(T,'X',-1).

Дополнительные местоположения для вводной обратной связи для расчета ответа разомкнутого контура в виде вектора символов или массива ячеек из символьных векторов, которые идентифицируют местоположения аналитической точки в T. Местоположения аналитической точки отмечены AnalysisPoint блоки в T. Любое название канала содержится в Location свойство AnalysisPoint блокируйтесь в T действительный доступ для openings.

Используйте openings когда это необходимо, чтобы вычислить ответ разомкнутого контура в одном местоположении аналитической точки с другими циклами также открываются в других местоположениях. Например, в каскадной настройке цикла, можно вычислить, ответ разомкнутого контура внутреннего цикла с внешним контуром также открываются. Используйте getPoints(T) получить полный список доступных местоположений аналитической точки в T.

Выходные аргументы

свернуть все

Ответ разомкнутого контура "точка-точка" системы управления T измеренный в аналитических точках задан Locations, возвращенный как обобщенное пространство состояний (genss) модель.

  • Если Locations задает одну аналитическую точку, затем L SISO genss модель. В этом случае, L представляет ответ, полученный путем открытия цикла в Locations, введение сигналов и измерение возврата сигнализируют в том же местоположении.

  • Если Locations векторный сигнал или задает несколько аналитических точек, затем L MIMO genss модель. В этом случае, L представляет разомкнутый контур ответ MIMO, полученный вводными циклами во всех местоположениях, перечисленных в Locations, введение сигналов и измерение возврата сигнализируют в тех местоположениях.

Советы

  • Можно использовать getLoopTransfer извлекать ответы разомкнутого контура, учитывая обобщенную модель полной системы управления. Это полезно, например, для проверки ответов разомкнутого контура системы управления, которую вы настраиваете с настраивающаяся команда такой как systune.

  • getLoopTransfer genss эквивалентный Simulink® Команда Control Design™ getLoopTransfer (Simulink Control Design), который работает с slTuner и slLinearizer интерфейсы. Используйте команду Simulink Control Design, когда ваша система управления будет смоделирована в Simulink.

Смотрите также

| | | | | (Simulink Control Design)

Представленный в R2012b