Эгоцентрический проективный перспективный график
chasePlot( строит ведущий сценарий с точки зрения агента ac)ac. Этот график называется chase plot и имеет эгоцентрическую проективную перспективу, где представление сразу расположено позади агента.
chasePlot( задает опции с помощью одной или нескольких пар "имя-значение". Например, можно отобразить дорожные центры и агента waypoints на графике.ac,Name,Value)
Симулируйте ведущий сценарий с одним автомобилем, перемещающимся на S-кривой. Создайте и постройте контуры маршрута.
Создайте ведущий сценарий с одной дорогой, имеющей S-кривую.
scenario = drivingScenario('StopTime',3);
roadcenters = [-35 20 0; -20 -20 0; 0 0 0; 20 20 0; 35 -20 0];
Создайте маршруты и добавьте их в дорогу.
lm = [laneMarking('Solid','Color','w'); ... laneMarking('Dashed','Color','y'); ... laneMarking('Dashed','Color','y'); ... laneMarking('Solid','Color','w')]; ls = lanespec(3,'Marking',lm); road(scenario,roadcenters,'Lanes',ls);
Добавьте автомобиль, оборудованный датчиком и задайте его траекторию от его waypoints. По умолчанию автомобиль перемещается со скоростью 30 метров в секунду.
car = vehicle(scenario, ... 'ClassID',1, ... 'Position',[-35 20 0]); waypoints = [-35 20 0; -20 -20 0; 0 0 0; 20 20 0; 35 -20 0]; smoothTrajectory(car,waypoints);
Постройте сценарий и соответствующий график преследования.
plot(scenario)

chasePlot(car)

Запустите цикл симуляции.
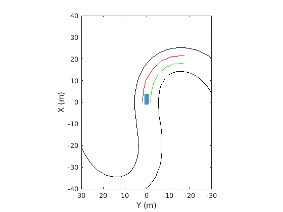
Инициализируйте видимый с большого расстояния график и создайте плоттер схемы, лево-маршрут и плоттеры контура правильного маршрута и дорожный граничный плоттер.
Получите дорожные контуры и прямоугольные контуры.
Получите контуры маршрута налево и право на транспортное средство.
Усовершенствуйте симуляцию и обновите плоттеры.
bep = birdsEyePlot('XLim',[-40 40],'YLim',[-30 30]); olPlotter = outlinePlotter(bep); lblPlotter = laneBoundaryPlotter(bep,'Color','r','LineStyle','-'); lbrPlotter = laneBoundaryPlotter(bep,'Color','g','LineStyle','-'); rbsEdgePlotter = laneBoundaryPlotter(bep); legend('off'); while advance(scenario) rbs = roadBoundaries(car); [position,yaw,length,width,originOffset,color] = targetOutlines(car); lb = laneBoundaries(car,'XDistance',0:5:30,'LocationType','Center', ... 'AllBoundaries',false); plotLaneBoundary(rbsEdgePlotter,rbs) plotLaneBoundary(lblPlotter,{lb(1).Coordinates}) plotLaneBoundary(lbrPlotter,{lb(2).Coordinates}) plotOutline(olPlotter,position,yaw,length,width, ... 'OriginOffset',originOffset,'Color',color) end



Создайте ведущий сценарий и покажите, как целевые основы изменяются, когда симуляция совершенствуется.
Создайте ведущий сценарий, состоящий из двух пересекающихся прямых дорог. Первый дорожный сегмент 45 метров длиной. Вторая дорога подряд 32 метра длиной с барьерами свитера вдоль обоих его ребер и пересекает первую дорогу. Автомобиль, перемещающийся на уровне 12,0 метров в секунду вдоль первой дороги, приближается к рабочему пешеходному переходу пересечение на уровне 2,0 метров в секунду.
scenario = drivingScenario('SampleTime',0.1,'StopTime',1); road1 = road(scenario,[-10 0 0; 45 -20 0]); road2 = road(scenario,[-10 -10 0; 35 10 0]); barrier(scenario,road1) barrier(scenario,road1,'RoadEdge','left') ped = actor(scenario,'ClassID',4,'Length',0.4,'Width',0.6,'Height',1.7); car = vehicle(scenario,'ClassID',1); pedspeed = 2.0; carspeed = 12.0; smoothTrajectory(ped,[15 -3 0; 15 3 0],pedspeed); smoothTrajectory(car,[-10 -10 0; 35 10 0],carspeed);
Создайте эгоцентрический график преследования для транспортного средства.
chasePlot(car,'Centerline','on')

Создайте пустой видимый с большого расстояния график и добавьте плоттер схемы и плоттер контура маршрута. Затем запустите симуляцию. В каждом шаге симуляции:
Обновите график преследования отобразить дорожные контуры и целевые основы.
Обновите видимый с большого расстояния график отобразить обновленные дорожные контуры и целевые основы. Перспектива графика всегда относительно автомобиля, оборудованного датчиком.
bepPlot = birdsEyePlot('XLim',[-50 50],'YLim',[-40 40]); outlineplotter = outlinePlotter(bepPlot); laneplotter = laneBoundaryPlotter(bepPlot); legend('off') while advance(scenario) rb = roadBoundaries(car); [position,yaw,length,width,originOffset,color] = targetOutlines(car); [bposition,byaw,blength,bwidth,boriginOffset,bcolor,barrierSegments] = targetOutlines(car,'Barriers'); plotLaneBoundary(laneplotter,rb) plotOutline(outlineplotter,position,yaw,length,width, ... 'OriginOffset',originOffset,'Color',color) plotBarrierOutline(outlineplotter,barrierSegments,bposition,byaw,blength,bwidth, ... 'OriginOffset',boriginOffset,'Color',bcolor) pause(0.01) end


ac — АгентActor возразите | Vehicle объектАгент, принадлежащий drivingScenario объект в виде Actor или Vehicle объект. Чтобы создать эти объекты, используйте actor и vehicle функции, соответственно.
Задайте дополнительные разделенные запятой пары Name,Value аргументы. Name имя аргумента и Value соответствующее значение. Name должен появиться в кавычках. Вы можете задать несколько аргументов в виде пар имен и значений в любом порядке, например: Name1, Value1, ..., NameN, ValueN.
chasePlot(ac,'Centerline','on','RoadCenters,'on') отображает центральную линию и дорожные центры каждого дорожного сегмента.Parent — Оси, в которых можно построить графикAxes объектОси, в которых можно построить график в виде разделенной запятой пары, состоящей из 'Parent' и Axes объект. Если вы не задаете Parent, создается новая фигура.
Centerline — Отобразите центральную линию дорог'off' (значение по умолчанию) | 'on'Отобразите центральную линию дорог в виде разделенной запятой пары, состоящей из 'Centerline' и 'off' или 'on'. Центральная линия следует за серединой каждого дорожного сегмента. Центральные линии прерывисты через области, такие как пересечения или дорожные разделения.
RoadCenters — Отобразите дорожные центры'off' (значение по умолчанию) | 'on'Отобразите дорожные центры в виде разделенной запятой пары, состоящей из 'RoadCenters' и 'off' или 'on'. Дорожные центры задают дороги, показанные в графике.
Waypoints — Отобразите агента waypoints'off' (значение по умолчанию) | 'on'Отобразите агента waypoints в виде разделенной запятой пары, состоящей из 'Waypoints' и 'off' или 'on'. Waypoints задают траекторию агента.
Meshes — Отобразите сетки агента'off' (значение по умолчанию) | 'on'Отобразите сетки агента вместо кубоидов в виде разделенной запятой пары, состоящей из 'Meshes' и 'off' или 'on'.
ViewHeight — Высота точки зрения графикаВысота точки зрения графика в виде разделенной запятой пары, состоящей из 'ViewHeight' и положительный действительный скаляр. Высота относительно нижней части агента. Величины в метрах.
ViewLocation — Точка зрения расположения участкаМестоположение точки зрения графика в виде разделенной запятой пары, состоящей из 'ViewLocation' и [x, y] вектор с действительным знаком. Местоположение относительно центра кубоида в системе координат агента. Местоположение по умолчанию точки зрения находится позади центра кубоида, [2.5*actor.Length 0]Величины в метрах.
ViewRoll — Ориентация крена точки зрения графика (значение по умолчанию) | действительный скалярОриентация крена точки зрения графика в виде разделенной запятой пары, состоящей из 'ViewRoll' и действительный скаляр. Модули в градусах.
ViewPitch — Передайте угловую ориентацию точки зрения графика (значение по умолчанию) | действительный скалярПередайте угловую ориентацию точки зрения графика в виде разделенной запятой пары, состоящей из 'ViewPitch' и действительный скаляр. Модули в градусах.
ViewYaw — Угловая ориентация рыскания точки зрения графика (значение по умолчанию) | действительный скалярУгловая ориентация рыскания точки зрения графика в виде разделенной запятой пары, состоящей из 'ViewYaw' и действительный скаляр. Модули в градусах.
У вас есть модифицированная версия этого примера. Вы хотите открыть этот пример со своими редактированиями?
1. Если смысл перевода понятен, то лучше оставьте как есть и не придирайтесь к словам, синонимам и тому подобному. О вкусах не спорим.
2. Не дополняйте перевод комментариями “от себя”. В исправлении не должно появляться дополнительных смыслов и комментариев, отсутствующих в оригинале. Такие правки не получится интегрировать в алгоритме автоматического перевода.
3. Сохраняйте структуру оригинального текста - например, не разбивайте одно предложение на два.
4. Не имеет смысла однотипное исправление перевода какого-то термина во всех предложениях. Исправляйте только в одном месте. Когда Вашу правку одобрят, это исправление будет алгоритмически распространено и на другие части документации.
5. По иным вопросам, например если надо исправить заблокированное для перевода слово, обратитесь к редакторам через форму технической поддержки.