exponenta event banner

beamdwellfactor

Зависимая областью значений потеря для того, чтобы быстро отсканировать луч

Описание

пример

fbd = beamdwellfactor(r,hpbw,scanrate) вычисляет зависимый областью значений луч - живут факторный fbd для антенны в заданной области r, ширина луча на уровне половинной мощности hpbw, и частота развертки scanrate. beamdwellfactor функция принимает, что антенны передатчика и приемника имеют равную ширину луча и идеальный Гауссов шаблон антенны без лепестков стороны.

Примеры

свернуть все

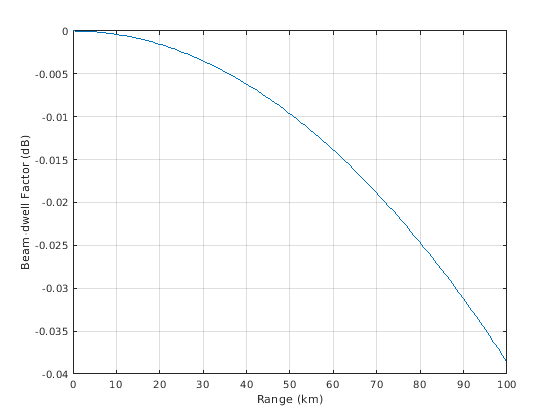
Вычислите луч - живут фактор для радара наблюдения в 100 линейно распределенных областях значений в интервале [0,100000] метры. Задайте ширину луча как 1 степень и частота развертки как 120 степени в секунду.

r = linspace(0,100000);
hpbw = 1;
scanrate = 120;
fbd = beamdwellfactor(r,hpbw,scanrate);

Постройте луч - живут фактор в зависимости от области значений. Перед графическим выводом преобразуйте диапазон от метров до километров.

plot(r*0.001,fbd)
grid on
xlabel('Range (km)')
ylabel('Beam-dwell Factor (dB)')

Figure contains an axes object. The axes object contains an object of type line.

Входные параметры

свернуть все

Расположитесь в метрах в виде скаляра или вектора.

Типы данных: double

Ширина луча на уровне половинной мощности антенны в градусах в виде скаляра или вектора. Если hpbw вектор, затем scanrate должен быть скаляр или вектор, одного размера.

Типы данных: double

Частота развертки антенны в градусах в секунду. Если scanrate вектор, затем hpbw должен быть скаляр или вектор, одного размера.

Типы данных: double

Выходные аргументы

свернуть все

Зависимый областью значений луч - живет, включают дБ, возвращенный как j-by-k матрица, таким образом, что j является размером r и k является размером hpbw или scanrate, какой бы ни больше.

Строки fbd соответствуйте областям значений в r. Столбцы зависят от размеров hpbw и scanrate.

  • Если hpbw вектор и scanrate скаляр, затем столбцы fbd соответствуйте ширине луча на уровне половинной мощности в hpbw.

  • Если hpbw скаляр и scanrate вектор, затем столбцы fbd соответствуйте частотам развертки в scanrate.

  • Если hpbw и scanrate оба векторы, затем столбцы fbd соответствуйте обоим ширина луча на уровне половинной мощности в hpbw и частоты развертки в scanrate.

Типы данных: double

Больше о

свернуть все

Луч - живет фактор

beam-dwell factor составляет неточное совмещение между осями луча передатчика и приемника, когда система сканирования имеет высокую частоту развертки и цели дальние.

Уравнение для луча - живет, фактор, Fbd,

Fbd=Lππf2(θ)f2(θδ)dθ

где термины в уравнении:

  • L Нормализация фактора, который приносит Fbd к единице для = 0

  • = td / t0 — Дробная ширина луча отсканировал во время задержки, где:

    • td = 2R / c — Задержка цели, где R является областью значений и c, является скоростью распространения волны

    • t0 = θ3 / ωs — время, которое система занимает, чтобы постоянно отсканировать через одну ширину луча, где θ3 является шириной луча на уровне половинной мощности и ωs, является частотой развертки

  • f(θ) — Шаблон антенны

beamdwellfactor функция принимает идеальный Гауссов шаблон антенны без лепестков стороны. Уравнение для идеального Гауссова шаблона антенны без лепестков стороны, f(θ):

f(θ)=exp[2(ln2)θ2θ32]

Ссылки

[1] Бартон, Дэвид Нокс. "Луч - живет факторный Fbd". В основных уравнениях радиолокации для современного радара, 362. Радарный ряд дома Artech. Бостон, масса: дом Artech, 2013.

[2] Бартон, Дэвид Нокс. "Шаблоны антенны". В основных уравнениях радиолокации для современного радара, 147. Радарный ряд дома Artech. Бостон, масса: дом Artech, 2013.

Расширенные возможности

Генерация кода C/C++
Генерация кода C и C++ с помощью MATLAB® Coder™.

Смотрите также

Функции

Введенный в R2021a