exponenta event banner

Оценка

Оценка наименьших квадратов сгруппированных или объединенных данных и оценка наибольшего правдоподобия параметров населения

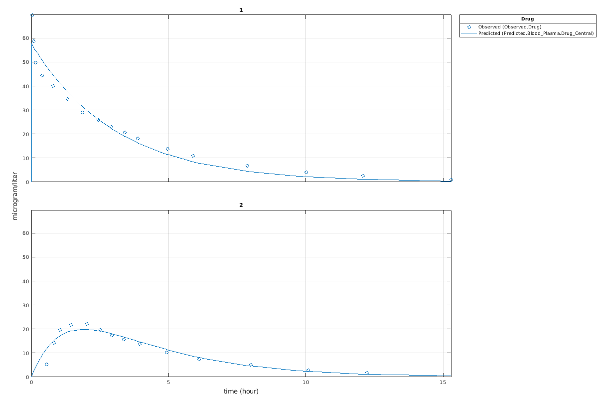
Выполните нелинейную регрессию, чтобы оценить отдельно-специфичные параметры с помощью сгруппированных данных или оценочных параметров населения из объединенных данных. Оценить параметры населения или зафиксированные эффекты, при рассмотрении изменений индивидуума или случайных эффектов, нелинейного моделирования смешанных эффектов использования. Для сводных данных поддерживаемых алгоритмов и подходящих опций, см. Поддерживаемые Методы для Оценки Параметра SimBiology.

SimBiology позволяет вам импортировать табличные данные и визуализировать и предварительно обработать его. Для получения дополнительной информации на типах файлов и данных, поддержанных SimBiology, смотрите Поддерживаемые Файлы и Типы данных.

Рекомендуемые примеры