В этом примере показано, как искать эмпирические функции оставшегося в живых, и параметрические функции оставшегося в живых с помощью распределения типа XII Берра соответствуют к данным для двух групп.
Загрузите выборочные данные.
load('lightbulb.mat')Первый столбец данных имеет время жизни (в часах) двух типов лампочек. Второй столбец имеет информацию о типе лампочки. 0 указывает на флуоресцентные лампы, тогда как 1 указывает на лампу накаливания. Третий столбец имеет информацию о цензурировании. 1 указывает, что подвергнутые цензуре данные, и 0 указывают точное время отказа. Это - симулированные данные.
Создайте переменную для каждой лампочки, вводят и также включают информацию о цензуре.
fluo = [lightbulb(lightbulb(:,2)==0,1),... lightbulb(lightbulb(:,2)==0,3)]; insc = [lightbulb(lightbulb(:,2)==1,1),... lightbulb(lightbulb(:,2)==1,3)];
Постройте предполагаемые функции оставшегося в живых для двух различных типов лампочек.
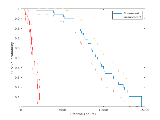
figure() [f,x,flow,fup] = ecdf(fluo(:,1),'censoring',fluo(:,2),... 'function','survivor'); ax1 = stairs(x,f); hold on stairs(x,flow,':') stairs(x,fup,':') [f,x,flow,fup] = ecdf(insc(:,1),'censoring',insc(:,2),... 'function','survivor'); ax2 = stairs(x,f,'color','r'); stairs(x,flow,':r') stairs(x,fup,':r') legend([ax1,ax2],{'Fluorescent','Incandescent'}) xlabel('Lifetime (hours)') ylabel('Survival probability')

Вы видите, что вероятность выживания ламп накаливания намного меньше, чем та из люминесцентных ламп.
Подходящее распределение Шума к пожизненным данным флуоресцентных и накаленных ламп типа.
pd = fitdist(fluo(:,1),'burr','Censoring',fluo(:,2))
pd =
BurrDistribution
Burr distribution
alpha = 29143.4 [0.903922, 9.39617e+08]
c = 3.44582 [2.13013, 5.57417]
k = 33.7039 [8.10737e-14, 1.40114e+16]
pd2 = fitdist(insc(:,1),'burr','Censoring',insc(:,2))
pd2 =
BurrDistribution
Burr distribution
alpha = 2650.76 [430.773, 16311.4]
c = 3.41898 [2.16794, 5.39197]
k = 4.5891 [0.0307809, 684.185]
Наложите функции оставшегося в живых типа XII Шума.
ax3 = plot(0:500:15000,1-cdf('burr',0:500:15000,29143.5,... 3.44582,33.704),'m'); ax4 = plot(0:500:5000,1-cdf('burr',0:500:5000,2650.76,... 3.41898,4.5891),'g'); legend([ax1;ax2;ax3;ax4],'Festimate','Iestimate','FBurr','IBurr')

Шипите распределение обеспечивает хорошую подгонку в течение времени жизни лампочек в этом примере.
Соответствуйте Cox пропорциональная регрессия опасностей, где тип лампы является объясняющей переменной.
[b,logl,H,stats] = coxphfit(lightbulb(:,2),lightbulb(:,1),... 'Censoring',lightbulb(:,3)); stats
stats = struct with fields:
covb: 1.0757
beta: 4.7262
se: 1.0372
z: 4.5568
p: 5.1936e-06
csres: [100x1 double]
devres: [100x1 double]
martres: [100x1 double]
schres: [100x1 double]
sschres: [100x1 double]
scores: [100x1 double]
sscores: [100x1 double]
LikelihoodRatioTestP: 0
- значение, p, указывает, что тип лампочки является статистически значительным. Оценка отношения опасности () = 112.8646. Это означает, что опасность для ламп накаливания является 112.86 раз опасностью для флуоресцентных ламп.