Этот рабочий процесс является альтернативным рабочим процессом к решению полулинейных дифференциальных алгебраических уравнений (ДАУ), используемые только если reduceDAEIndex отказавший в стандартном рабочем процессе с предупреждающим сообщением: The index of the reduced DAEs is larger than 1. [daetools::reduceDAEIndex]. Для стандартного рабочего процесса смотрите, Решают Дифференциальные Алгебраические уравнения (ДАУ).
Полные шаги 1 и 2 в Решают Дифференциальные Алгебраические уравнения (ДАУ) прежде, чем начать другие шаги. Затем на шаге 3, если reduceDAEIndex сбои, уменьшайте дифференциальный индекс с помощью reduceDAEToODE. Преимущество reduceDAEToODE это, это надежно уменьшает полулинейные ДАУ до ОДУ (ДАУ индекса 0). Однако эта функция медленнее и работает только над полулинейными системами ДАУ. reduceDAEToODE может перестать работать, если система не полулинейна.
Чтобы решить вашу систему ДАУ, завершите эти шаги.
Система уравнений ДАУ:
Задайте независимые переменные и переменные состояния при помощи syms.
syms x(t) y(t) T(t) m r g
Задайте уравнения при помощи == оператор.
eqn1 = m*diff(x(t), 2) == T(t)/r*x(t); eqn2 = m*diff(y(t), 2) == T(t)/r*y(t) - m*g; eqn3 = x(t)^2 + y(t)^2 == r^2; eqns = [eqn1 eqn2 eqn3];
Поместите переменные состояния в вектор-столбец. Сохраните количество исходных переменных для ссылки.
vars = [x(t); y(t); T(t)]; origVars = length(vars);
Дифференциальный порядок системы ДАУ является самым высоким дифференциальным порядком своих уравнений. Чтобы решить ДАУ с помощью MATLAB, дифференциальный порядок должен уменьшаться до 1. Здесь, первые и вторые уравнения имеют производные второго порядка x(t) и y(t). Таким образом дифференциальным порядком является 2.
Уменьшайте систему до системы первого порядка при помощи reduceDifferentialOrder. reduceDifferentialOrder функционируйте производные замен с новыми переменными, такими как Dxt(t) и Dyt(t). Правая сторона выражений в eqns 0.
[eqns,vars] = reduceDifferentialOrder(eqns,vars)
eqns =
vars =
reduceDAEToODEУменьшать дифференциальный индекс ДАУ, описанных eqns и vars, используйте reduceDAEToODE. Уменьшать индекс, reduceDAEToODE добавляют новые переменные и уравнения к системе. reduceDAEToODE также возвращает ограничения, которые являются условиями, что справка находит, что начальные значения гарантируют, что получившиеся ОДУ равны начальным ДАУ.
[ODEs,constraints] = reduceDAEToODE(eqns,vars)
ODEs =
constraints =
От выхода reduceDAEToODE, у вас есть вектор из уравнений в ODEs и вектор из переменных в vars. Использовать ode15s или ode23t, вам нужны два указателя на функцию: одно представление большой матрицы системы ОДУ и другого представления вектора, содержащего правые стороны уравнений большой матрицы. Эти указатели на функцию являются эквивалентным представлением большой матрицы системы ОДУ где M (t, y (t)) y’ (t) = f (t, y (t)).
Найдите эти указатели на функцию при помощи massMatrixForm получить большую матрицу massM (M в уравнении) и правые стороны f.
[massM,f] = massMatrixForm(ODEs,vars)
massM =
f =
Уравнения в ODEs может содержать символьные параметры, которые не заданы в векторе из переменных vars. Найдите эти параметры при помощи setdiff на выходе symvar от ODEs и vars.
pODEs = symvar(ODEs); pvars = symvar(vars); extraParams = setdiff(pODEs, pvars)
extraParams =
Дополнительными параметрами, которые необходимо задать, является массовый m, радиус r, и ускорение свободного падения g.
Преобразуйте massM и f к указателям на функцию с помощью odeFunction. Задайте дополнительные символьные параметры как дополнительные входные параметры к odeFunction.
massM = odeFunction(massM, vars, m, r, g); f = odeFunction(f, vars, m, r, g);
Остальная часть рабочего процесса является чисто числовой. Установите значения параметров и замените значениями параметров в DAEs и constraints.
m = 1; r = 1; g = 9.81; ODEsNumeric = subs(ODEs); constraintsNumeric = subs(constraints);
Создайте указатель на функцию, подходящий для входа к ode15s или ode23s.
M = @(t,Y) massM(t,Y,m,r,g); F = @(t,Y) f(t,Y,m,r,g);
ode15s и ode23tРешатели требуют начальных значений для всех переменных в указателе на функцию. Найдите начальные значения, которые удовлетворяют уравнениям при помощи MATLAB® decic функция. decic принимает предположения (который не может удовлетворить уравнениям) для начальных условий, и пытается найти удовлетворительные начальные условия с помощью тех предположений. decic может перестать работать, в этом случае необходимо вручную предоставить сопоставимые начальные значения для проблемы.
Во-первых, проверяйте переменные в vars.
vars
vars =
Здесь, Dxt(t) первая производная x(t), и так далее. В 5 существует 5 переменных- 1 вектор. Поэтому предположениями для начальных значений переменных и их производных должен также быть 5- 1 векторы.
Примите, что начальное угловое смещение маятника составляет 30 ° или pi/6, и источник координат в точке приостановки маятника. Учитывая, что мы использовали радиус r из 1, начальное горизонтальное положение x(t) r*sin(pi/6). Начальное вертикальное положение y(t) -r*cos(pi/6). Задайте эти начальные значения переменных в векторном y0est.
Произвольно установите начальные значения остающихся переменных и их производных к 0. Это не хорошие предположения. Однако они достаточны для этой проблемы. В вашей проблеме, если decic ошибки, затем обеспечьте лучшие предположения и обратитесь к decic страница.
y0est = [r*sin(pi/6); -r*cos(pi/6); 0; 0; 0]; yp0est = zeros(5,1);
Создайте набор опции, который содержит большую матрицу M из системы и задает числовые допуски к числовому поиску.
opt = odeset('Mass', M, 'RelTol', 10.0^(-7), 'AbsTol' , 10.0^(-7));
Найдите начальные значения сопоставимыми с системой ОДУ и с алгебраическими ограничениями при помощи decic. Параметр [1,0,0,0,1] в этом вызове функции фиксирует первое и последний элемент в y0est, так, чтобы decic не изменяет их во время числового поиска. Здесь, эта фиксация необходима, чтобы гарантировать decic находит удовлетворительные начальные условия.
[y0, yp0] = decic(ODEsNumeric, vars, constraintsNumeric, 0,...
y0est, [1,0,0,0,1], yp0est, opt)y0 = 5×1
0.5000
-0.8660
-8.4957
0
0
yp0 = 5×1
0
0
0
-4.2479
-2.4525
Теперь создайте набор опции, который содержит большую матрицу M из системы и векторного yp0 из сопоставимых начальных значений для производных. Вы будете использовать этот набор опции при решении системы.
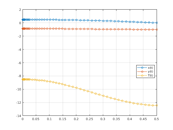
opt = odeset(opt, 'InitialSlope', yp0);ode15s или ode23tРешите систему, объединяющуюся по отрезку времени 0 ≤ t≤ 0.5 . Добавьте линии сетки и легенду к графику. Используйте ode23s заменяя ode15s с ode23s.
[tSol,ySol] = ode15s(F, [0, 0.5], y0, opt); plot(tSol,ySol(:,1:origVars),'-o') for k = 1:origVars S{k} = char(vars(k)); end legend(S, 'Location', 'Best') grid on

Решите систему для различных значений параметров путем устанавливания нового значения и регенерации указателя на функцию и начальных условий.
Установите r к 2 и повторите шаги.
r = 2; ODEsNumeric = subs(ODEs); constraintsNumeric = subs(constraints); M = @(t,Y) massM(t,Y,m,r,g); F = @(t,Y) f(t,Y,m,r,g); y0est = [r*sin(pi/6); -r*cos(pi/6); 0; 0; 0]; opt = odeset('Mass', M, 'RelTol', 10.0^(-7), 'AbsTol' , 10.0^(-7)); [y0, yp0] = decic(ODEsNumeric, vars, constraintsNumeric, 0,... y0est, [1,0,0,0,1], yp0est, opt); opt = odeset(opt, 'InitialSlope', yp0);
Решите систему для нового значения параметров.
[tSol,ySol] = ode15s(F, [0, 0.5], y0, opt); plot(tSol,ySol(:,1:origVars),'-o') for k = 1:origVars S{k} = char(vars(k)); end legend(S, 'Location', 'Best') grid on

daeFunction | decic | findDecoupledBlocks | incidenceMatrix | isLowIndexDAE | massMatrixForm | odeFunction | reduceDAEIndex | reduceDAEToODE | reduceDifferentialOrder | reduceRedundancies