exponenta event banner

berawgn

Частота ошибок по битам (BER) для незакодированных каналов AWGN

Синтаксис

ber = berawgn(EbNo,'pam',M)
ber = berawgn(EbNo,'qam',M)
ber = berawgn(EbNo,'psk',M,dataenc)
ber = berawgn(EbNo,'oqpsk',dataenc)
ber = berawgn(EbNo,'dpsk',M)
ber = berawgn(EbNo,'fsk',M,coherence)
ber = berawgn(EbNo,'fsk',2,coherence,rho)
ber = berawgn(EbNo,'msk',precoding)
ber = berawgn(EbNo,'msk',precoding,coherence)
berlb = berawgn(EbNo,'cpfsk',M,modindex,kmin)
[BER,SER] = berawgn(EbNo, ...)

Описание

Для всех синтаксисов

Функция berawgn возвращает BER различных схем модуляции по каналу аддитивного белого гауссова шума (AWGN). Первый входной параметр, EbNo, является отношением энергии, подведенной к долоту к шумовой степени спектральная плотность в дБ. Если EbNo является вектором, вывод ber является вектором, одного размера, чьи элементы соответствуют различным уровням Eb/N0. Поддерживаемые схемы модуляции, которые соответствуют второму входному параметру к функции, находятся в следующей таблице.

Схема модуляцииВторой входной параметр
Манипулирование сдвига фазы (PSK) 'psk'
Квадратурное манипулирование сдвига фазы смещения (OQPSK)'oqpsk'
Дифференциальное манипулирование сдвига фазы (DPSK) 'dpsk'
Импульсная амплитудная модуляция (PAM) 'pam'
Квадратурная амплитудная модуляция (QAM) 'qam'
Манипулирование сдвига частоты (FSK) 'fsk'
Минимальное манипулирование сдвига (MSK) 'msk'
Непрерывное манипулирование сдвига частоты фазы (CPFSK) 'cpfsk'

Большинство синтаксисов также имеет вход M, который задает размер алфавита для модуляции. M должен иметь форму 2k для некоторого положительного целочисленного k. Для всех случаев функция принимает использование серо-закодированного сигнального созвездия.

Для определенных синтаксисов

ber = berawgn(EbNo,'pam',M) возвращает BER незакодированного PAM по каналу AWGN с когерентной демодуляцией.

ber = berawgn(EbNo,'qam',M) возвращает BER незакодированного QAM по каналу AWGN с когерентной демодуляцией. Размер алфавита, M, должен быть по крайней мере 4. Когда k=журнал2M нечетно, прямоугольная совокупность размера M=I×J используется, где I=2k12 и J=2k+12. Когда k даже, квадратная совокупность размера2k2×2k2 используется.

ber = berawgn(EbNo,'psk',M,dataenc) возвращает BER когерентно обнаруженного незакодированного PSK по каналу AWGN. dataenc является или 'diff' для дифференциального кодирования данных или 'nondiff' для недифференциального кодирования данных. Если dataenc является 'diff', M должен быть не больше, чем 4.

ber = berawgn(EbNo,'oqpsk',dataenc) возвращает BER когерентно обнаруженного QPSK смещения по незакодированному каналу AWGN.

ber = berawgn(EbNo,'dpsk',M) возвращает BER незакодированной модуляции DPSK по каналу AWGN.

ber = berawgn(EbNo,'fsk',M,coherence) возвращает BER ортогональной незакодированной модуляции FSK по каналу AWGN. coherence является или 'coherent' для когерентной демодуляции или 'noncoherent' для некогерентной демодуляции. M должен быть не больше, чем 64 для 'noncoherent'.

ber = berawgn(EbNo,'fsk',2,coherence,rho) возвращает BER для бинарного неортогонального FSK по незакодированному каналу AWGN, где rho является комплексным коэффициентом корреляции. Смотрите Неортогональный 2-FSK с Когерентным Обнаружением для определения комплексного коэффициента корреляции и как вычислить его для неортогонального BFSK.

ber = berawgn(EbNo,'msk',precoding) возвращает BER когерентно обнаруженной модуляции MSK по незакодированному каналу AWGN. Установка precoding к 'off' возвращает результаты для обычного MSK, в то время как установка precoding к 'on' возвращает результаты для предварительно закодированного MSK.

ber = berawgn(EbNo,'msk',precoding,coherence) задает, является ли обнаружение когерентным или некогерентным.

berlb = berawgn(EbNo,'cpfsk',M,modindex,kmin) возвращает нижнюю границу на BER незакодированной модуляции CPFSK по каналу AWGN. modindex является индексом модуляции, положительным вещественным числом. kmin является количеством путей, имеющих минимальное расстояние; если этот номер неизвестен, можно принять значение 1.

[BER,SER] = berawgn(EbNo, ...) возвращает и BER и SER.

Примеры

свернуть все

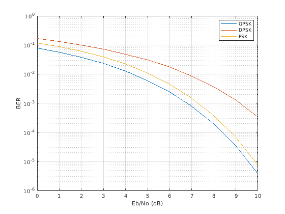
Этот пример показывает, как сгенерировать теоретические данные о частоте ошибок по битам для нескольких схем модуляции, принимающих канал AWGN.

Создайте вектор значений Eb/No и установите порядок модуляции, M.

EbNo = (0:10)';
M = 4;

Сгенерируйте теоретические данные о BER для модуляции QPSK при помощи функции berawgn.

berQ = berawgn(EbNo,'psk',M,'nondiff');

Сгенерируйте эквивалентные данные для DPSK и FSK.

berD = berawgn(EbNo,'dpsk',M);
berF = berawgn(EbNo,'fsk',M,'coherent');

Постройте график результатов.

semilogy(EbNo,[berQ berD berF])
xlabel('Eb/No (dB)')
ylabel('BER')
legend('QPSK','DPSK','FSK')
grid

Ограничения

Числовая точность вывода этой функции ограничивается приближениями, связанными с числовой реализацией выражений.

Можно обычно полагаться на первые две значительных цифры вывода функции.

Альтернативы

Как альтернатива функции berawgn, вызовите BERTool GUI (bertool) и используйте вкладку Theoretical.

Ссылки

[1] Андерсон, Джон Б., скалистая вершина Олин, и Карл-Эрик Зундберг, цифровая модуляция фазы, Нью-Йорк, нажатие пленума, 1986.

[2] Чо, K. и Yoon, D., “По общему выражению BER одного - и двумерные амплитудные модуляции”, Сделка IEEE Commun., Издание 50, Номер 7, стр 1074-1080, 2002.

[3] Ли, P. J. “Вычисление частоты ошибок по битам когерентного M-арного PSK с побитовым отображением Кода Грея”, Сделка IEEE Commun., Издание COM-34, Номер 5, стр 488-491, 1986.

[4] Proakis, J. G. Цифровая связь, 4-й редактор, McGraw-Hill, 2001.

[5] Саймон, M. K, Hinedi, S. M. и Линдси, W. C. методы цифровой связи – проект сигнала и обнаружение, Prentice Hall, 1995.

[6] Саймон, M. K, “На вероятности ошибки в двоичном разряде дифференцированно закодированного QPSK и QPSK смещения в присутствии синхронизации поставщика услуг”, Сделка IEEE Commun., Издание 54, стр 806-812, 2006.

[7] Линдси, W. C. и Саймон, M. K, разработка телекоммуникационных систем, Englewood Cliffs, Нью-Джерси, Prentice Hall, 1973.

Представлено до R2006a