exponenta event banner

envspectrum

Спектр конверта для диагноза машинного оборудования

Синтаксис

es = envspectrum(x,fs)
es = envspectrum(xt)
es = envspectrum(___,Name,Value)
[es,f,env,t] = envspectrum(___)
envspectrum(___)

Описание

пример

es = envspectrum(x,fs) возвращает спектр конверта x сигнала, выбранного на уровне fs. Если x является матрицей, то функция вычисляет спектр конверта независимо для каждого столбца и возвращает результат в соответствующем столбце es.

пример

es = envspectrum(xt) возвращает спектр конверта сигнала, сохраненного в расписании MATLAB® xt.

пример

es = envspectrum(___,Name,Value) задает дополнительные опции для любого из предыдущих аргументов пары "имя-значение" использования синтаксисов. Опции включают алгоритм, используемый, чтобы вычислить сигнал конверта и диапазон частот, по которому можно оценить спектр.

[es,f,env,t] = envspectrum(___) возвращает f, вектор частот, на которых вычисляется es; env, сигнал конверта; и t, времена, в которые вычисляется env.

envspectrum(___) без выходных аргументов строит сигнал конверта и спектр конверта в текущей фигуре.

Примеры

свернуть все

Моделируйте два сигнала вибрации, один от здорового переноса и один от поврежденного переноса. Вычислите и сравните их спектры конверта.

Терпение диаметра подачи 12 см имеет восемь прокручивающихся элементов. Каждый элемент прокрутки имеет диаметр 2 см. Внешняя гонка остается стационарной, когда внутренняя гонка управляется в 25 циклах в секунду. Акселерометр выбирает колебания переноса на уровне 10 кГц.

fs = 10000;
f0 = 25;
n = 8;
d = 0.02;
p = 0.12;

Сигнал вибрации от здорового переноса включает несколько порядков ведущей частоты. Постройте 0,1 секунды данных.

t = 0:1/fs:1-1/fs;
z = [1 0.5 0.2 0.1 0.05]*sin(2*pi*f0*[1 2 3 4 5]'.*t)/5;

plot(t,z)
xlim([0.4 0.5])

Дефект во внешней гонке переноса вызывает ряд 5 влияния миллисекунды на перенос. В конечном счете то влияние приводит к износу подшипников. Влияние происходит на частоте передачи шара внешняя гонка (BPFO) переноса,

BPFO=12nf0[1-dpпотому чтоθ],

где f0 пропускная способность, n является количеством прокручивающихся элементов, d является диаметром прокручивающихся элементов, p является диаметром подачи переноса, и θ является углом контакта переноса. Примите угол контакта нуля и вычислите BPFO.

ca = 0;
bpfo = n*f0/2*(1-d/p*cos(ca))
bpfo = 83.3333

Модель каждое влияние как синусоида на 3 кГц, оконная окном с плоской вершиной. Окажите влияние, периодическое путем свертки к нему с функцией расчески. Постройте 0,1 секунды данных.

fImpact = 3000;
tImpact = 0:1/fs:5e-3-1/fs;
xImpact = sin(2*pi*fImpact*tImpact).*flattopwin(length(tImpact))'/10;

xComb = zeros(size(t));
xComb(1:fs/bpfo:end) = 1;

x = conv(xComb,xImpact,'same')/3;

plot(t,x+z)
xlim([0.4 0.5])

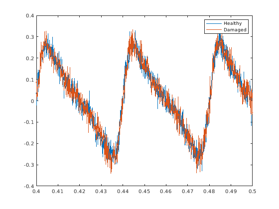
Добавьте белый Гауссов шум в сигналы. Задайте шумовое отклонение 1/30 ². Постройте 0,1 секунды данных.

yGood = z + randn(size(z))/30;
yBad = x+z + randn(size(z))/30;
plot(t,yGood,t,yBad)
xlim([0.4 0.5])
legend('Healthy','Damaged')

Вычислите и постройте сигналы конверта и спектры.

envspectrum([yGood' yBad'],fs)
xlim([0 10*bpfo]/1000)

Сравните пиковые местоположения с частотами гармоник BPFO. Гармоники BPFO в спектре конверта являются знаком износа подшипников.

harmImpact = (1:10)*bpfo;
[X,Y] = meshgrid(harmImpact,ylim);

hold on
plot(X/1000,Y,':k')
legend('Healthy','Damaged','BPFO harmonics')
hold off

Вычислите валлийские спектры сигналов. Задайте разрешение частоты 5 Гц.

figure
pspectrum([yGood' yBad'],fs,'FrequencyResolution',5)
legend('Healthy','Damaged')

На нижнем уровне спектра ведущая частота и ее порядки затеняют другие функции. Спектр здорового переноса и спектр поврежденного переноса неразличимы.

xlim([0 10*bpfo]/1000)

Спектр дефектного переноса показывает гармоники BPFO, модулируемые частотой влияния.

xlim((bpfo*[-10 10]+fImpact)/1000)

Сгенерируйте двухканальный сигнал, который напоминает сигналы вибрации от переноса, который завершает вращение каждые 10 миллисекунд. Сигнал выбирается на уровне 10 кГц в течение 0,2 секунд, который соответствует 20 вращениям переноса.

fs = 10000;
tmax = 20;
mlt = 0.01;
t = 0:1/fs:mlt-1/fs;

Во время каждого интервала с 10 миллисекундами:

  • Первый канал является ослабленной синусоидой с затуханием постоянных 700 и частоты синусоиды 600 Гц.

  • Второй канал является другой ослабленной синусоидой с затуханием постоянных 800 и частоты синусоиды 500 Гц. Второй канал изолирует первый канал 5 миллисекундами.

Постройте сигнал.

y1 = sin(2*pi*600*t).*exp(-700*t);
y2 = sin(2*pi*500*t).*exp(-800*t);
y2 = [y2(51:100) y2(1:50)];

T = (0:1/fs:mlt*tmax-1/fs)';
Y = repmat([y1;y2],1,tmax)';

plot(T,Y)

Создайте массив длительности с помощью временного интервала T. Создайте расписание с массивом длительности и двухканальным сигналом.

dt = seconds(T);
ttb = timetable(dt,Y);

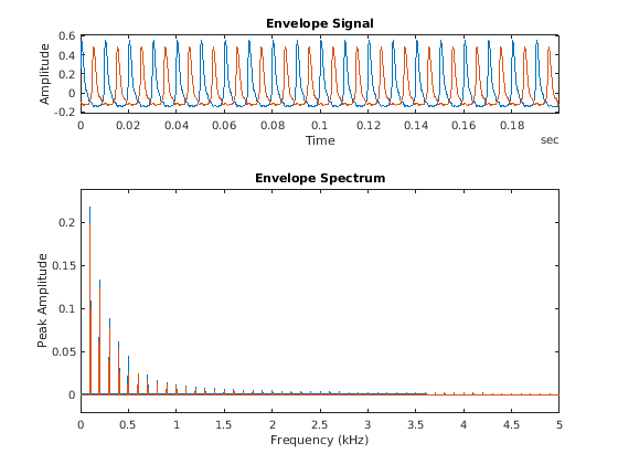
Используйте envspectrum без выходных аргументов, чтобы отобразить сигнал конверта и спектр конверта двух каналов. Вычислите спектр на целом интервале Найквиста, исключая интервалы на 100 Гц в концах.

envspectrum(ttb,'Band',[100 4900])

Спектры конверта сигналов имеют peaks в целочисленных множителях частоты повторения 1/0.01 = 0,1 кГц. Это столь же ожидается. envspectrum удаляет высокочастотные синусоидальные компоненты и фокусируется на поведении повторения более низкой частоты. Поэтому спектр конверта является полезным инструментом для анализа вращательного машинного оборудования.

Вычислите сигнал конверта и времена, в которые он вычисляется. Проверяйте типы выходных переменных.

[~,~,ttbenv,ttbt] = envspectrum(ttb,'Band',[100 4900]);
whos ttb*
  Name           Size            Bytes  Class        Attributes

  ttb         2000x1             49034  timetable              
  ttbenv      2000x1             49042  timetable              
  ttbt        2000x1             16002  duration               

Временной вектор имеет тип duration, как временные стоимости входного расписания. Выходное расписание имеет тот же размер как входное расписание.

Сохраните каждый канал входного расписания как отдельная переменная. Вычислите сигнал конверта и временной вектор. Проверяйте выходные типы.

btb = timetable(dt,Y(:,1),Y(:,2));

[~,~,btbenv,btbt] = envspectrum(btb,'Band',[100 4900]);
whos btb*
  Name           Size            Bytes  Class        Attributes

  btb         2000x2             49272  timetable              
  btbenv      2000x2             49292  timetable              
  btbt        2000x1             16002  duration               

Выходное расписание имеет тот же размер как входное расписание.

Сгенерируйте сигнал, выбранный на уровне 1 кГц в течение 5 секунд. Сигнал состоит из 0,01 вторых меандров, которые повторяют каждый T = 0,25 секунды. Амплитуда модулирует сигнал на синусоиду несущей частоты 150 Гц.

fs = 1e3;
tmax = 5;

t = 0:1/fs:tmax;
y = pulstran(t,0:0.25:tmax,'rectpuls',0.01);

fc = 150;
z = modulate(y,fc,fs);

Постройте исходные и модулируемые сигналы. Покажите только первые несколько циклов.

plot(t,y,t,z,'-')
grid on
axis([0 1 -1.1 1.1])

Вычислите спектр конверта и конверта сигнала. Определите конверт сигнала с помощью комплексной демодуляции. Вычислите спектр конверта на интервале на 20 Гц, сосредоточенном в несущей частоте.

[q,f,e,te] = envspectrum(z,fs,'Method','demod','Band',[fc-10 fc+10]);

Постройте сигнал конверта и спектр конверта. Увеличьте масштаб интервала от 0 до 50 Гц.

subplot(2,1,1)
plot(te,e)
xlabel('Time')
title('Envelope')

subplot(2,1,2)
plot(f,q)
xlim([0 50])
xlabel('Frequency')
title('Envelope Spectrum')

Сигнал конверта имеет тот же период вовремя, T = 0,25 секунды, как исходный сигнал. Спектр конверта имеет импульсы в 1 / T = 4 Гц.

Повторите вычисление, но теперь используйте функцию hilbert, чтобы вычислить конверт. Полосовой фильтр сигнал с помощью фильтра конечного импульсного ответа (FIR) 10-го порядка. Постройте сигнал конверта и спектр конверта с помощью встроенной функциональности envspectrum.

envspectrum(z,fs,'Method','hilbert','FilterOrder',10)

Встройте сигнал в белый Гауссов шум отклонения 1/3. Постройте результат.

zn = z + randn(size(z))/3;

plot(t,zn,'-')
grid on
axis([0 1 -1.1 1.1])

Вычислите и отобразите сигнал конверта и спектр конверта. Вычислите спектр конверта с помощью комплексной демодуляции на интервале на 10 Гц, сосредоточенном в несущей частоте. Увеличьте масштаб интервала от 0 до 50 Гц.

envspectrum(zn,fs,'Band',[fc-5 fc+5])
xlim([0 50])

Входные параметры

свернуть все

Входной сигнал, заданный как вектор или матрица. Если x является вектором, он обработан как один канал. Если x является матрицей, то envspectrum вычисляет спектр конверта независимо для каждого столбца и возвращает результат в соответствующем столбце es.

Пример: cos(pi/4*(0:159))+randn(1,160) является одноканальным сигналом вектора - строки.

Пример: cos(pi./[4;2]*(0:159))'+randn(160,2) является двухканальным сигналом.

Типы данных: single | double
Поддержка комплексного числа: Да

Частота дискретизации, заданная как положительный действительный скаляр.

Типы данных: single | double

Введите расписание. xt должен содержать увеличивающиеся конечные времена строки. Если xt представляет многоканальный сигнал, то он должен иметь или одну переменную, содержащую матрицу или несколько переменных, состоящих из векторов.

Если расписание имеет пропавших без вести или дублирующиеся моменты времени, можно зафиксировать его с помощью советов в Чистом Расписании с Пропавшими без вести, Копией, или Неоднородные Времена (MATLAB).

Пример: timetable(seconds(0:4)',randn(5,2)) задает двухканальную, случайную переменную, выбранную на уровне 1 Гц в течение 4 секунд.

Типы данных: single | double

Аргументы в виде пар имя-значение

Укажите необязательные аргументы в виде пар ""имя, значение"", разделенных запятыми. Имя (Name) — это имя аргумента, а значение (Value) — соответствующее значение. Name должен появиться в кавычках. Вы можете задать несколько аргументов в виде пар имен и значений в любом порядке, например: Name1, Value1, ..., NameN, ValueN.

Пример: 'Method','hilbert','FilterOrder',30,'Band',[0 fs/4] вычисляет спектр конверта между 0 и половина частоты Найквиста с помощью полосового фильтра 30-го порядка и вычисляя конверт аналитического сигнала.

Алгоритм для вычисления сигнала конверта, заданного как пара, разделенная запятой, состоящая из 'Method' и или 'hilbert' или 'demod'. См. Алгоритмы для получения дополнительной информации.

Диапазон частот, чтобы вычислить спектр конверта, заданный как пара, разделенная запятой, состоящая из 'Band' и двухэлементный вектор строгого увеличения значений между 0 и частота Найквиста.

Типы данных: single | double
Поддержка комплексного числа: Да

КИХ-порядок фильтра, заданный как пара, разделенная запятой, состоящая из 'FilterOrder' и положительного целочисленного скаляра.

  • Если 'Method' является 'hilbert', то этот аргумент задает порядок КИХ-полосового фильтра.

  • Если 'Method' является 'demod', то этот аргумент задает порядок КИХ lowpass фильтр.

Типы данных: single | double

Выходные аргументы

свернуть все

Спектр конверта, возвращенный как вектор или матрица.

Частоты, на которых вычисляется спектр конверта, возвратились как вектор.

Сигнал конверта, возвращенный как вектор, матрица или расписание.

Если вход к envspectrum является расписанием, то env является также расписанием. Временные стоимости env имеют тот же формат как временные стоимости входного расписания.

  • Если вход является расписанием с одной переменной, содержащей матрицу, то env имеет одну переменную, содержащую матрицу.

  • Если вход является расписанием с несколькими переменными, состоящими из векторов, то env имеет несколько переменных, состоящих из векторов.

Временные стоимости, в которых вычисляется сигнал конверта, возвратились как вектор.

Если вход к envspectrum является расписанием, то t имеет тот же формат как временные стоимости входного расписания.

Алгоритмы

envspectrum первоначально удаляет смещение DC из входного сигнала, x, и затем вычисляет сигнал конверта.

  • Если 'Method' установлен в 'hilbert', функцию:

    1. Полосовые фильтры сигнал. КИХ-фильтру задали порядок 'FilterOrder' и частоты среза в ba(1) и ba(2), где ba является диапазоном частот, заданным с помощью 'Band'.

    2. Вычисляет аналитический сигнал с помощью функции hilbert.

    3. Вычисляет сигнал конверта как абсолютное значение аналитического сигнала.

  • Если 'Method' установлен в 'demod', функцию:

    1. Выполняет комплексную демодуляцию сигнала. Сигнал умножается на exp (j 2πf0t), где f 0 = (ba(1) + ba(2))/2.

    2. Lowpass-фильтрует демодулируемый сигнал вычислить аналитический сигнал. КИХ-фильтру задали порядок 'FilterOrder' и частота среза (ba(2)ba(1))/2.

    3. Вычисляет сигнал конверта как дважды абсолютное значение аналитического сигнала.

После вычисления сигнала конверта функция удаляет смещение DC из конверта и вычисляет спектр конверта с помощью БПФ.

Ссылки

[1] Рэндалл, связь Роберта. Основанный на вибрации мониторинг состояния. Чичестер, Великобритания: John Wiley & Sons, 2011.

Расширенные возможности

Генерация кода C/C++
Генерация кода C и C++ с помощью MATLAB® Coder™.

Введенный в R2017b