Полунормальное распределение является особым случаем свернутых нормальных и усеченных нормальных распределений. Некоторые приложения полунормального распределения включают данные об измерении моделирования и пожизненные данные.
Полунормальное распределение использует следующие параметры:
| Параметр | Описание |
|---|---|
| Параметр положения | |
| Масштабный коэффициент |
Поддержкой полунормального распределения является x ≥ μ.
Используйте makedist с заданными значениями параметров, чтобы создать объект HalfNormalDistribution полунормального распределения вероятностей. Используйте fitdist, чтобы соответствовать объекту полунормального распределения вероятностей к выборочным данным. Используйте mle, чтобы оценить значения параметров полунормального распределения от выборочных данных, не создавая объект распределения вероятностей. Для получения дополнительной информации о работе с распределениями вероятностей, смотрите Работу с Распределениями вероятностей.
Реализация Statistics and Machine Learning Toolbox™ полунормального распределения принимает фиксированное значение для параметра положения μ. Поэтому ни fitdist, ни mle не оценивают значение параметра μ при подборе кривой полунормальному распределению к выборочным данным. Можно задать значение для параметра μ при помощи аргумента пары "имя-значение" 'mu'. Значение по умолчанию для аргумента 'mu' 0 и в fitdist и в mle.
Функция плотности вероятности (PDF) полунормального распределения
где μ является параметром положения, и σ является масштабным коэффициентом. Если x ≤ μ, то PDF не определен.
Чтобы вычислить PDF полунормального распределения, создайте объект распределения вероятностей HalfNormalDistribution использование fitdist или makedist, затем используйте метод pdf, чтобы работать с объектом.
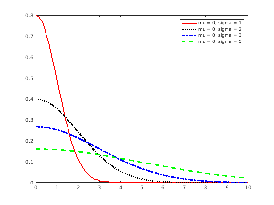
Этот пример показывает, как изменение значений mu и параметров sigma изменяет форму PDF.
Создайте четыре объекта распределения вероятностей с различными параметрами.
pd1 = makedist('HalfNormal'); pd2 = makedist('HalfNormal','mu',0,'sigma',2); pd3 = makedist('HalfNormal','mu',0,'sigma',3); pd4 = makedist('HalfNormal','mu',0,'sigma',5);
Вычислите функции плотности вероятности (pdfs) каждого распределения.
x = 0:0.1:10; pdf1 = pdf(pd1,x); pdf2 = pdf(pd2,x); pdf3 = pdf(pd3,x); pdf4 = pdf(pd4,x);
Постройте pdfs на той же фигуре.
figure; plot(x,pdf1,'r','LineWidth',2) hold on; plot(x,pdf2,'k:','LineWidth',2); plot(x,pdf3,'b-.','LineWidth',2); plot(x,pdf4,'g--','LineWidth',2); legend({'mu = 0, sigma = 1','mu = 0, sigma = 2',... 'mu = 0, sigma = 3','mu = 0, sigma = 5'},'Location','NE'); hold off;

Когда sigma увеличивается, кривая сглаживается, и пиковое значение становится меньшим.
Кумулятивная функция распределения (cdf) полунормального распределения
где μ является параметром положения, σ является масштабным коэффициентом, erf (•) функция ошибок и Φ (•) cdf стандартного нормального распределения. Если x ≤ μ, то cdf не определен.
Чтобы вычислить cdf полунормального распределения, создайте объект распределения вероятностей HalfNormalDistribution использование fitdist или makedist, затем используйте метод cdf, чтобы работать с объектом.
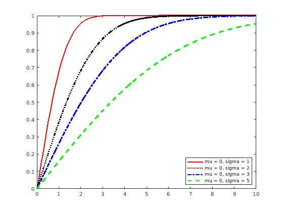
Этот пример показывает, как изменение значений mu и параметров sigma изменяет форму cdf.
Создайте четыре объекта распределения вероятностей с различными параметрами.
pd1 = makedist('HalfNormal'); pd2 = makedist('HalfNormal','mu',0,'sigma',2); pd3 = makedist('HalfNormal','mu',0,'sigma',3); pd4 = makedist('HalfNormal','mu',0,'sigma',5);
Вычислите кумулятивные функции распределения (cdfs) для каждого распределения вероятностей.
x = 0:0.1:10; cdf1 = cdf(pd1,x); cdf2 = cdf(pd2,x); cdf3 = cdf(pd3,x); cdf4 = cdf(pd4,x);
Постройте все четыре cdfs на той же фигуре.
figure; plot(x,cdf1,'r','LineWidth',2) hold on; plot(x,cdf2,'k:','LineWidth',2); plot(x,cdf3,'b-.','LineWidth',2); plot(x,cdf4,'g--','LineWidth',2); legend({'mu = 0, sigma = 1','mu = 0, sigma = 2',... 'mu = 0, sigma = 3','mu = 0, sigma = 5'},'Location','SE'); hold off;

Когда sigma увеличивается, кривая cdf сглаживается.
Среднее значение полунормального распределения
где μ является параметром положения, и σ является масштабным коэффициентом.
Отклонение полунормального распределения
где σ является масштабным коэффициентом.
Если случайная переменная Z имеет стандартное нормальное распределение со средним μ равное нулю и стандартное отклонение σ, равный одному, то имеет полунормальное распределение с параметрами μ и σ.
[1] Cooray, K. и M.M.A. Полное блаженство. “Обобщение Полунормального распределения с Приложениями к Пожизненным Данным”. Коммуникации в Статистике – Теория и Методы. Издание 37, Номер 9, 2008, стр 1323–1337.
[2] Пеуси, A. “Вывод большой выборки для Общего Полунормального распределения”. Коммуникации в Статистике – Теория и Методы. Издание 31, Номер 7, 2002, стр 1045–1054.