В этом примере показано, как создать, визуализируйте и анализируйте антенную решетку от Antenna Toolbox.
Создайте прямоугольную антенную решетку по умолчанию с помощью rectangularArray элемент в библиотеке массивов. По умолчанию массив использует диполь в качестве элемента антенны.
ra = rectangularArray
ra =
rectangularArray with properties:
Element: [1x1 dipole]
Size: [2 2]
RowSpacing: 2
ColumnSpacing: 2
Lattice: 'Rectangular'
AmplitudeTaper: 1
PhaseShift: 0
Tilt: 0
TiltAxis: [1 0 0]
Используйте layout функционируйте, чтобы построить положение элементов массива в x-y плоскости. По умолчанию прямоугольный массив является дипольным массивом с 4 элементами в 2x2 прямоугольная решетка.
layout(ra)

Используйте show функционируйте, чтобы просмотреть структуру прямоугольной антенной решетки.
show(ra)

Используйте pattern функционируйте, чтобы построить диаграмму направленности прямоугольного массива. Диаграмма направленности является пространственным распределением степени массива. Шаблон отображает направленность или усиление массива. По умолчанию, графики функций шаблона направленность массива.
pattern(ra,70e6)

Используйте patternAzimuth и patternElevation функции, чтобы построить азимут и шаблон вертикального изменения прямоугольного массива. Эти два шаблона являются 2D диаграммой направленности массива на заданной частоте.
patternAzimuth(ra,70e6) figure patternElevation(ra,70e6)


Направленность является способностью массива излучить степень в конкретном направлении. Это может быть задано как отношение максимальной интенсивности излучения в желаемом направлении к средней интенсивности излучения во всех других направлениях. Используйте pattern функция, чтобы вычислить направленность прямоугольного массива.
[Directivity] = pattern(ra,70e6,0,90)
Directivity = -40.1001
Используйте EHfields функция, чтобы вычислить поля EH прямоугольного массива. Поля EH являются x, y, и z компонентами электрических и магнитных полей массива. Эти компоненты измеряются на определенной частоте и в заданных точках на пробеле.
[E,H] = EHfields(ra,70e6,[0;0;1])
E = -0.0000 - 0.0000i -0.0002 + 0.0002i -1.3304 - 0.0758i H = 1.0e-05 * -0.1274 - 0.1541i -0.0000 - 0.0000i 0.0000 + 0.0000i
Используйте пару "имя-значение" Поляризации в функции шаблона, чтобы построить различные шаблоны поляризации прямоугольного массива. Поляризация является ориентацией электрического поля или электронным полем, массива. Поляризация классифицируется как эллиптическая, линейная, или круговая. Этот пример показывает диаграмму направленности левой руки, циркулярной поляризованной (LHCP) прямоугольного массива.
pattern(ra,70e6,'Polarization','LHCP')

Используйте beamwidth функция, чтобы вычислить ширину луча прямоугольного массива. Ширина луча массива является угловой мерой покрытия шаблона массивов. Угол ширины луча измеряется в плоскости, которая содержит направление основного лепестка массива.
[bw,angles] = beamwidth(ra,70e6,0,1:1:360)
bw = 44.0000 44.0000 angles = 288 332 208 252
Используйте impedance функция, чтобы вычислить и построить входной импеданс прямоугольного массива. Активный импеданс или импеданс сканирования, является входным импедансом каждого элемента антенны в массиве, когда все элементы взволнованы.
impedance(ra,60e6:1e6:70e6)

Можно также просмотреть импеданс всех четырех элементов путем изменения числа элементов на графике от 1 до 1:4. Смотрите фигуру.

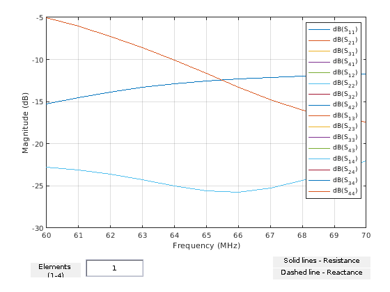
Используйте sparameters функция, чтобы вычислить значение S11 прямоугольного массива. Значение S11 дает отражательный коэффициент массива.
S = sparameters(ra,60e6:1e6:70e6,72) rfplot(S)
S =
sparameters: S-parameters object
NumPorts: 4
Frequencies: [11x1 double]
Parameters: [4x4x11 double]
Impedance: 72
rfparam(obj,i,j) returns S-parameter Sij

Используйте returnLoss функция, чтобы вычислить и построить потерю возврата прямоугольного массива.
returnLoss(ra,60e6:1e6:70e6,72)

Можно также просмотреть потерю возврата всех четырех элементов путем изменения числа элементов на графике от 1 до 1:4. Смотрите фигуру.

Используйте charge и current функции, чтобы вычислить заряд и распределение тока на прямоугольной поверхности массивов.
charge(ra,70e6) figure current(ra,70e6)


Используйте correlation вычислить коэффициент корреляции прямоугольного массива. Коэффициент корреляции является отношением между входящими сигналами в портах антенны в массиве.
correlation(ra,60e6:1e6:70e6,1,2)

Используйте свойство 'Size' прямоугольного массива изменить его в дипольный массив с 16 элементами.
ra.Size = [4 4]; show(ra)

Используйте свойства 'RowSpacing' и 'ColumnSpacing' прямоугольного массива изменить интервал между элементами антенны.
ra.RowSpacing = [ 1.1 2 1.2]; ra.ColumnSpacing =[0.5 1.4 2] show(ra)
ra =
rectangularArray with properties:
Element: [1x1 dipole]
Size: [4 4]
RowSpacing: [1.1000 2 1.2000]
ColumnSpacing: [0.5000 1.4000 2]
Lattice: 'Rectangular'
AmplitudeTaper: 1
PhaseShift: 0
Tilt: 0
TiltAxis: [1 0 0]

[1] Balanis, C.A. "Теория антенны. Анализ и проектирование", p. 514, Вайли, Нью-Йорк, 3-й Выпуск, 2005.