Геометрическое распределение является семейством кривых с одним параметром, которое моделирует количество отказов перед одним успехом в ряду независимых испытаний, где каждое испытание результаты в любой успешности или неуспешности и вероятность успеха в любом отдельном испытании является постоянным. Например, если вы бросаете монету, геометрическое распределение моделирует количество хвостов, наблюдаемых, прежде чем результатом будут головы. Геометрическое распределение является дискретным, существующим только на неотрицательных целых числах.
Statistics and Machine Learning Toolbox™ предлагает несколько способов работать с геометрическим распределением.
Используйте специфичные для распределения функции (geocdf, geopdf, geoinv, geostat, geornd) с заданными параметрами распределения. Специфичные для распределения функции могут принять параметры нескольких геометрических распределений.
Используйте типовые функции распределения (cdf, icdf, pdf, mle, random) с заданным именем распределения ('Geometric') и параметры.
Геометрическое распределение использует следующий параметр.
| Параметр | Описание | Поддержка |
|---|---|---|
p | Вероятность успеха |
Функция плотности вероятности (PDF) геометрического распределения
где p является вероятностью успеха, и x является количеством отказов перед первым успехом. y результата является вероятностью наблюдения точно испытаний x перед успехом, когда вероятностью успеха в любом данном испытании является p. Для дискретных распределений PDF также известен как функцию вероятностной меры (pmf).
Для примера смотрите, Вычисляют Геометрическое распределение PDF.
Кумулятивная функция распределения (cdf) геометрического распределения
где p является вероятностью успеха, и x является количеством отказов перед первым успехом. y результата является вероятностью наблюдения до испытаний x перед успехом, когда вероятностью успеха в любом данном испытании является p.
Для примера смотрите, Вычисляют Геометрическое распределение cdf.
Среднее значение геометрического распределения и отклонение геометрического распределения где p является вероятностью успеха.
Функция опасности (мгновенная интенсивность отказов) является отношением PDF и дополнением cdf. Если f (t) и F (t) является PDF и cdf распределения (соответственно), то показатель риска . Замена PDF и cdf геометрического распределения для f (t) и F (t) выше урожаев константа, равная обратной величине среднего значения. Геометрическое распределение является единственным дискретным распределением с постоянной функцией опасности. Следовательно, вероятность наблюдения успеха независима от количества отказов, уже наблюдаемых.
Вычислите PDF геометрического распределения с вероятностью успеха 0.25.
x = 0:20; y = geopdf(x,0.25);
Постройте PDF с панелями ширины 1.
figure bar(x,y,1) xlabel('Observation') ylabel('Probability')

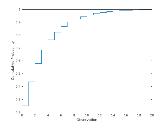
Вычислите cdf геометрического распределения с вероятностью успеха 0.25.
x = 0:20; y = geocdf(x,0.25);
Постройте cdf.
figure stairs(x,y) xlabel('Observation') ylabel('Cumulative Probability')

Примите, что вероятность пятилетней автомобильной батареи, не запускающейся в холодную погоду, 0.03. Драйвер пытается запустить автомобиль каждое утро во время промежутка холодной погоды, длящейся 25 дней. Смоделируйте этот сценарий с геометрическим распределением, где событие, чтобы наблюдать является автомобилем, не запускающимся.
Вычислите cdf 25, чтобы найти вероятность автомобиля, не запускающегося в течение одного из этих 25 дней.
x = 25; p = 0.03; notstart = geocdf(x,p)
notstart = 0.5470
Вычислите дополнение, чтобы найти вероятность автомобиля, запускающегося каждый день в течение всех 25 дней.
start = 1 - notstart
start = 0.4530
Экспоненциальное распределение — экспоненциальное распределение является непрерывным распределением с одним параметром, которое имеет параметр μ (среднее значение). Экспоненциальное распределение является непрерывным аналогом геометрического и является единственным распределением кроме геометрического с постоянной функцией опасности.
Отрицательное Биномиальное распределение — отрицательное биномиальное распределение является дискретным распределением 2D параметра, которое имеет параметры r и p, и моделирует количество отказов, наблюдаемых перед успехами r с вероятностью p успеха в одном испытании. Геометрическое распределение происходит как отрицательное биномиальное распределение с r = 1.
[1] Abramowitz, Милтон, и Ирен А. Стегун, руководство редакторов Математических функций: С Формулами, Графиками и Математическими Таблицами. 9. Дуврская печать.; [Nachdr. der Ausg. von 1972]. Дуврские Книги по Математике. Нью-Йорк, Нью-Йорк: Дувр Publ, 2013.
[2] Devroye, Люк. Неоднородная генерация случайных переменных. Нью-Йорк, Нью-Йорк: Спрингер Нью-Йорк, 1986. https://doi.org/10.1007/978-1-4613-8643-8
[3] Эванс, Merran, Николас Гастингс и Брайан Пикок. Статистические Распределения. 2-й редактор Нью-Йорк: Дж. Вайли, 1993.
NegativeBinomialDistribution | geocdf | geoinv | geopdf | geornd | geostat