exponenta event banner

tfqmr

Решите систему линейных уравнений — метод квази-минимальных невязок без транспонирования

Описание

пример

x = tfqmr(A,b) попытки решить систему линейных уравнений A*x = b для x использование Метода квази-минимальных невязок Без транспонирования. Когда попытка успешна, tfqmr отображает сообщение, чтобы подтвердить сходимость. Если tfqmr сбои, чтобы сходиться после максимального количества итераций или остановов по любой причине, это отображает диагностическое сообщение, которое включает относительный остаточный norm(b-A*x)/norm(b) и номер итерации, в который остановленный метод.

пример

x = tfqmr(A,b,tol) задает допуск к методу. Допуском по умолчанию является 1e-6.

пример

x = tfqmr(A,b,tol,maxit) задает максимальное количество итераций, чтобы использовать. tfqmr отображает диагностическое сообщение, если ему не удается сходиться в maxit итерации.

пример

x = tfqmr(A,b,tol,maxit,M) задает матрицу перед формирователем M и вычисляет x путем эффективного решения системы AM1y=b для y, где y=Mx. Используя предварительный формирователь матрица может улучшить числовые свойства проблемы и КПД вычисления.

пример

x = tfqmr(A,b,tol,maxit,M1,M2) задает факторы матрицы перед формирователем M таким образом, что M = M1*M2.

пример

x = tfqmr(A,b,tol,maxit,M1,M2,x0) задает исходное предположение для вектора решения x. Значением по умолчанию является нулевой вектор.

пример

[x,flag] = tfqmr(___) возвращает флаг, который задает, сходился ли алгоритм успешно. Когда flag = 0, сходимость была успешна. Можно использовать этот выходной синтаксис с любой из предыдущих комбинаций входных аргументов. Когда вы задаете flag вывод , tfqmr не отображает диагностических сообщений.

пример

[x,flag,relres] = tfqmr(___) также возвращает относительный остаточный norm(b-A*x)/norm(b). Если flag 0, затем relres <= tol.

пример

[x,flag,relres,iter] = tfqmr(___) также возвращает номер итерации iter в котором x был вычислен.

пример

[x,flag,relres,iter,resvec] = tfqmr(___) также возвращает вектор из нормы невязки в каждой итерации, включая первый остаточный norm(b-A*x0).

Примеры

свернуть все

Решите квадратную линейную систему с помощью tfqmr с настройками по умолчанию, и затем настраивают допуск и количество итераций, используемых в процессе решения.

Создайте случайную разреженную матрицу A с 50%-й плотностью. Также создайте случайный векторный b для правой стороны Ax=b.

rng default
A = sprand(400,400,.5);
A = A'*A;
b = rand(400,1);

Решить Ax=b использование tfqmr. Выходное отображение включает значение относительной остаточной ошибки b-Axb.

x = tfqmr(A,b);
tfqmr stopped at iteration 40 without converging to the desired tolerance 1e-06
because the maximum number of iterations was reached.
The iterate returned (number 13) has relative residual 0.3.

tfqmr по умолчанию использование 40 итераций и допуск 1e-6, и алгоритм не может сходиться в тех 40 итерациях для этой матрицы. Поскольку невязка является все еще большой, это - хороший индикатор, что необходимо больше итераций (или матрица перед формирователем). Также можно использовать больший допуск, чтобы облегчить для алгоритма сходиться.

Решите систему снова с помощью допуска 1e-4 и 100 итераций.

x = tfqmr(A,b,1e-4,100);
tfqmr stopped at iteration 200 without converging to the desired tolerance 0.0001
because the maximum number of iterations was reached.
The iterate returned (number 13) has relative residual 0.3.

Даже с более свободным допуском и большим количеством итераций остаточная ошибка не улучшается очень. Когда итеративный алгоритм останавливается этим способом, это - хорошая индикация, что матрица перед формирователем необходима.

Вычислите неполную факторизацию Холесского A, и используйте L' фактор как вход перед формирователем к tfqmr.

L = ichol(A);
x = tfqmr(A,b,1e-4,100,L');
tfqmr converged at iteration 32 to a solution with relative residual 5.2e-05.

Используя предварительный формирователь улучшает числовые свойства проблемы достаточно того tfqmr может сходиться.

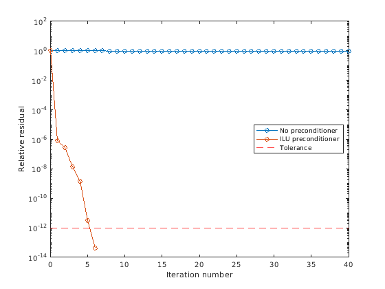
Исследуйте эффект использования матрицы перед формирователем с tfqmr решить линейную систему.

Загрузите west0479, действительное 479 479 несимметричная разреженная матрица.

load west0479
A = west0479;

Задайте b так, чтобы истинное решение Ax=b вектор из всех единиц.

b = sum(A,2);

Установите погрешность и максимальное количество итераций.

tol = 1e-12;
maxit = 20;

Используйте tfqmr найти решение в требуемом допуске и количестве итераций. Задайте пять выходных параметров, чтобы возвратить информацию о процессе решения:

  • x вычисленное решение A*x = b.

  • fl0 флаг, указывающий, сходился ли алгоритм.

  • rr0 относительная невязка вычисленного ответа x.

  • it0 номер итерации когда x был вычислен.

  • rv0 вектор из остаточной истории для b-Ax.

[x,fl0,rr0,it0,rv0] = tfqmr(A,b,tol,maxit);
fl0
fl0 = 1
rr0
rr0 = 0.9846
it0
it0 = 4

fl0 1 потому что tfqmr не сходится к требуемому допуску 1e-12 в требуемых 20 итерациях. Десятые выполняют итерации, лучшее приближенное решение и тот, возвращенный, как обозначено it0 = 10.

Чтобы помочь с медленной сходимостью, можно задать матрицу перед формирователем. Начиная с A несимметрично, используйте ilu сгенерировать предварительный формирователь M=LU. Задайте допуск отбрасывания, чтобы проигнорировать недиагональные записи со значениями, меньшими, чем 1e-6. Решите предобусловленную систему AM-1Mx=b путем определения L и U как вводит к tfqmr.

setup = struct('type','ilutp','droptol',1e-6);
[L,U] = ilu(A,setup);
[x1,fl1,rr1,it1,rv1] = tfqmr(A,b,tol,maxit,L,U);
fl1
fl1 = 0
rr1
rr1 = 4.3298e-14
it1
it1 = 3

Использование ilu предварительный формирователь производит относительную невязку меньше, чем предписанный допуск 1e-12 в третьей итерации. Выход rv1(1) norm(b), и выход rv1(end) norm(b-A*x1).

Можно следовать за прогрессом tfqmr путем графического вывода относительных остаточных значений в каждой итерации. Постройте остаточную историю каждого решения с линией для заданного допуска. Обратите внимание на то, что как bicgstabtfqmr дорожки половина итераций.

semilogy(0:length(rv0)-1,rv0/norm(b),'-o')
hold on
semilogy(0:length(rv1)-1,rv1/norm(b),'-o')
yline(tol,'r--');
legend('No preconditioner','ILU preconditioner','Tolerance','Location','East')
xlabel('Iteration number')
ylabel('Relative residual')

Figure contains an axes. The axes contains 3 objects of type line, constantline. These objects represent No preconditioner, ILU preconditioner, Tolerance.

Исследуйте эффект предоставления tfqmr с исходным предположением решения.

Создайте трехдиагональную разреженную матрицу. Используйте сумму каждой строки как вектор для правой стороны Ax=b так, чтобы ожидаемое решение для x вектор из единиц.

n = 900;
e = ones(n,1);
A = spdiags([e 2*e e],-1:1,n,n);
b = sum(A,2);

Используйте tfqmr решить Ax=b дважды: одно время с исходным предположением по умолчанию, и одно время с хорошим исходным предположением решения. Используйте 200 итераций и допуск по умолчанию к обоим решениям. Задайте исходное предположение во втором решении как вектор со всеми элементами, равными 0.99.

maxit = 200;
x1 = tfqmr(A,b,[],maxit);
tfqmr converged at iteration 19 to a solution with relative residual 9.6e-07.
x0 = 0.99*e;
x2 = tfqmr(A,b,[],maxit,[],[],x0);
tfqmr converged at iteration 4 to a solution with relative residual 7.9e-07.

В этом случае, предоставляющем исходное предположение, включает tfqmr сходиться более быстро.

Возвращение промежуточных результатов

Также можно использовать исходное предположение, чтобы получить промежуточные результаты путем вызова tfqmr в цикле for. Каждый вызов решателя выполняет несколько итераций и хранит расчетное решение. Затем вы используете то решение в качестве начального вектора для следующего пакета итераций.

Например, этот код выполняет 100 итераций четыре раза и хранит вектор решения после каждой передачи в цикле for:

x0 = zeros(size(A,2),1);
tol = 1e-8;
maxit = 100;
for k = 1:4
    [x,flag,relres] = tfqmr(A,b,tol,maxit,[],[],x0);
    X(:,k) = x;
    R(k) = relres;
    x0 = x;
end

X(:,k) вектор решения, вычисленный в итерации k из цикла for и R(k) относительная невязка того решения.

Решите линейную систему путем обеспечения tfqmr с указателем на функцию, который вычисляет A*x вместо матрицы коэффициентов A.

Один из Уилкинсона тестирует матрицы, сгенерированные gallery 21 21 трехдиагональная матрица. Предварительно просмотрите матрицу.

A = gallery('wilk',21)
A = 21×21

    10     1     0     0     0     0     0     0     0     0     0     0     0     0     0     0     0     0     0     0     0
     1     9     1     0     0     0     0     0     0     0     0     0     0     0     0     0     0     0     0     0     0
     0     1     8     1     0     0     0     0     0     0     0     0     0     0     0     0     0     0     0     0     0
     0     0     1     7     1     0     0     0     0     0     0     0     0     0     0     0     0     0     0     0     0
     0     0     0     1     6     1     0     0     0     0     0     0     0     0     0     0     0     0     0     0     0
     0     0     0     0     1     5     1     0     0     0     0     0     0     0     0     0     0     0     0     0     0
     0     0     0     0     0     1     4     1     0     0     0     0     0     0     0     0     0     0     0     0     0
     0     0     0     0     0     0     1     3     1     0     0     0     0     0     0     0     0     0     0     0     0
     0     0     0     0     0     0     0     1     2     1     0     0     0     0     0     0     0     0     0     0     0
     0     0     0     0     0     0     0     0     1     1     1     0     0     0     0     0     0     0     0     0     0
      ⋮

Матрица Уилкинсона имеет специальную структуру, таким образом, можно представлять операцию A*x с указателем на функцию. Когда A умножает вектор, большинством элементов в итоговом векторе являются нули. Ненулевые элементы в результате соответствуют ненулевым трехдиагональным элементам A. Кроме того, только основная диагональ имеет ненули, которые не равны 1.

Выражение Ax становится:

Ax=[1010001910001810017100161001510014100130001000110][x1x2x3x4x5x21]=[10x1+x2x1+9x2+x3x2+8x3+x4x19+9x20+x21x20+10x21].

Итоговый вектор может быть записан как сумма трех векторов:

Ax=[0+10x1+x2x1+9x2+x3x2+8x3+x4x19+9x20+x21x20+10x21+0]=[0x1x20]+[10x19x210x21]+[x2x210].

В MATLAB® запишите функцию, которая создает эти векторы и добавляет их вместе, таким образом давая значение A*x:

function y = afun(x)
y = [0; x(1:20)] + ...
    [(10:-1:0)'; (1:10)'].*x + ...
    [x(2:21); 0];
end

(Эта функция сохранена как локальная функция в конце примера.)

Теперь решите линейную систему Ax=b путем обеспечения tfqmr с указателем на функцию, который вычисляет A*x. Используйте допуск 1e-12 и 50 итераций.

b = ones(21,1);
tol = 1e-12;  
maxit = 50;
x1 = tfqmr(@afun,b,tol,maxit)
tfqmr converged at iteration 10 to a solution with relative residual 6.7e-15.
x1 = 21×1

    0.0910
    0.0899
    0.0999
    0.1109
    0.1241
    0.1443
    0.1544
    0.2383
    0.1309
    0.5000
      ⋮

Проверяйте тот afun(x1) дает вектор из единиц.

afun(x1)
ans = 21×1

    1.0000
    1.0000
    1.0000
    1.0000
    1.0000
    1.0000
    1.0000
    1.0000
    1.0000
    1.0000
      ⋮

Локальные функции

function y = afun(x)
y = [0; x(1:20)] + ...
    [(10:-1:0)'; (1:10)'].*x + ...
    [x(2:21); 0];
end

Входные параметры

свернуть все

Матрица коэффициентов в виде квадратной матрицы или указателя на функцию. Эта матрица является матрицей коэффициентов в линейной системе A*x = b. Обычно A большая разреженная матрица или указатель на функцию, который возвращает продукт большой разреженной матрицы и вектор-столбца.

Определение A как указатель на функцию

Можно опционально задать матрицу коэффициентов как указатель на функцию вместо матрицы. Указатель на функцию возвращает матричные векторные произведения вместо того, чтобы формировать целую матрицу коэффициентов, делая вычисление более эффективным.

Чтобы использовать указатель на функцию, используйте функциональную подпись function y = afun(x). Параметризация Функций объясняет, как предоставить дополнительные параметры функции afun, при необходимости. Вызов функции afun(x) должен возвратить значение A*x.

Типы данных: double | function_handle
Поддержка комплексного числа: Да

Правая сторона линейного уравнения в виде вектор-столбца. Длина b должно быть равно size(A,1).

Типы данных: double
Поддержка комплексного числа: Да

Допуск метода в виде положительной скалярной величины. Используйте этот вход для точности компромисса и времени выполнения в вычислении. tfqmr должен соответствовать допуску в количестве позволенных итераций, чтобы быть успешным. Меньшее значение tol означает, что ответ должен быть более точным для вычисления, чтобы быть успешным.

Типы данных: double

Максимальное количество итераций в виде положительного скалярного целого числа. Увеличьте значение maxit позволить больше итераций для tfqmr соответствовать допуску tol. Обычно меньшее значение tol средние значения больше итераций требуются, чтобы успешно завершать вычисление.

Матрицы перед формирователем в виде отдельных аргументов матриц или указателей на функцию. Можно задать матрицу перед формирователем M или его матричные факторы M = M1*M2 улучшить числовые аспекты линейной системы и облегчить для tfqmr сходиться быстро. Можно использовать неполные матричные функции факторизации ilu и ichol сгенерировать матрицы перед формирователем. Также можно использовать equilibrate до факторизации, чтобы улучшить число обусловленности матрицы коэффициентов. Для получения дополнительной информации о предварительных формирователях смотрите Итерационные методы для Линейных систем.

tfqmr обрабатывает незаданные предварительные формирователи как единичные матрицы.

Определение M как указатель на функцию

Можно опционально задать любой M, M1, или M2 как указатели на функцию вместо матриц. Указатель на функцию выполняет матрично-векторные операции вместо того, чтобы формировать целую матрицу перед формирователем, делая вычисление более эффективным.

Чтобы использовать указатель на функцию, используйте функциональную подпись function y = mfun(x). Параметризация Функций объясняет, как предоставить дополнительные параметры функции mfun, при необходимости. Вызов функции mfun(x) должен возвратить значение M\x или M2\(M1\x).

Типы данных: double | function_handle
Поддержка комплексного числа: Да

Исходное предположение в виде вектор-столбца с длиной равняется size(A,2). Если можно обеспечить tfqmr с более разумным исходным предположением x0 чем нулевой вектор по умолчанию затем это может сохранить время вычисления и помочь алгоритму сходиться быстрее.

Типы данных: double
Поддержка комплексного числа: Да

Выходные аргументы

свернуть все

Решение для линейной системы, возвращенное как вектор-столбец. Этот выход дает приближенное решение линейной системы A*x = b. Если вычисление успешно (flag = 0), затем relres меньше чем или равно tol.

Каждый раз, когда вычисление не успешно (flag ~= 0), решение x возвращенный tfqmr тот с минимальной нормой невязки, вычисленной по всем итерациям.

Флаг Convergence, возвращенный как одно из скалярных значений в этой таблице. Флаг сходимости указывает, было ли вычисление успешно и дифференцируется между несколькими различными формами отказа.

Флаговое значение

Сходимость

0

Успех — tfqmr сходившийся к желаемому допуску tol в maxit итерации.

1

Отказ — tfqmr выполненный с помощью итераций maxit итерации, но не сходились.

2

Отказ — матрица перед формирователем M или M = M1*M2 isIllConditioned.

3

Отказ — tfqmr застоявшийся после того, как две последовательных итерации были тем же самым.

4

Отказ — Один из скаляров, вычисленных tfqmr алгоритм стал слишком маленьким или слишком большим, чтобы продолжить вычислять.

Относительная остаточная ошибка, возвращенная как скаляр. Относительная остаточная ошибка relres = norm(b-A*x)/norm(b) индикация относительно того, насколько точный ответ. Если вычисление сходится к допуску tol в maxit итерации, затем relres <= tol.

Типы данных: double

Номер итерации, возвращенный как скаляр. Этот выход указывает на номер итерации в который вычисленный ответ для x был вычислен. Каждая внешняя итерация tfqmr включает две внутренних итерации, таким образом, iter может быть возвращен как десятичное число итераций.

Типы данных: double

Остаточная ошибка, возвращенная как вектор. Остаточная ошибка norm(b-A*x) показывает, как близко алгоритм к схождению для данного значения x. Число элементов в resvec равно количеству итераций. Можно исследовать содержимое resvec помочь решить, изменить ли значения tol или maxit.

Типы данных: double

Больше о

свернуть все

Метод квази-минимальных невязок без транспонирования

Так же, как метод CGS был разработан, чтобы избежать использования транспонирования матрицы коэффициентов в BiCG, метод TFQMR был разработан, чтобы избежать использования транспонирования в QMR. Эти методы "в квадрате" требуют дополнительного матричного векторного произведения на шаг по сравнению с версиями "нев квадрате" (BiCG и QMR), таким образом, они немного менее эффективны.

Метод TFQMR на одном уровне с CGS, но имеет намного более сглаженную сходимость. Однако, поскольку TFQMR в конечном счете использует полином BiCG, он ломается каждый раз, когда CGS делает [1].

Советы

  • Сходимость большинства итерационных методов зависит от числа обусловленности матрицы коэффициентов, cond(A). Можно использовать equilibrate улучшить число обусловленности A, и самостоятельно это облегчает для большинства итеративных решателей сходиться. Однако использование equilibrate также приводит к лучшим качественным матрицам перед формирователем, когда вы впоследствии учитываете уравновешенный матричный B = R*P*A*C.

  • Можно использовать матричные функции переупорядочения такой как dissect и symrcm переставить строки и столбцы матрицы коэффициентов и минимизировать количество ненулей, когда матрица коэффициентов учтена, чтобы сгенерировать предварительный формирователь. Это может уменьшать память и время, требуемое впоследствии решить предобусловленную линейную систему.

Ссылки

[1] Барретт, R., М. Берри, Т. Ф. Чан, и др., Шаблоны для Решения Линейных систем: Базовые блоки для Итерационных методов, SIAM, Филадельфия, 1994.

Расширенные возможности

Представлено до R2006a