exponenta event banner

plot

График cfit или sfit объект

Описание

Примечание

Эти синтаксисы доступны для поверхностей или sfit объекты.

plot(sfit) строит графики sfit объект в области значений текущей системы координат, если таковые имеются, или иным образом в области значений, сохраненных в подгонке.

plot(sfit, [x, y], z) графики z от x и y и графики sfit в области значений x и y.

H = plot(sfit, ..., Name,Value) выбирает, какой способ построить график объекта аппроксимации поверхности sfit.

H = plot(sfit, ...) возвращает вектор указателей нанесенных на график объектов.

пример

Примечание

Эти синтаксисы доступны для кривых или cfit объекты.

plot(cfit) строит графики cfit объект над областью текущих систем координат, если таковые имеются. Если нет текущей системы координат, и fun является выходом из fit функция, график находится над областью подгоняемых данных.

plot(cfit,x,y) графики cfit вместе с данными предиктора x и данные отклика y.

plot(cfit,x,y,DataLineSpec) Строит графики предиктора и данных отклика с помощью цвета, символа маркера и стиля линии, заданного DataLineSpec форматирование вектора символов.

plot(cfit,FitLineSpec,x,y,DataLineSpec) графики fun использование цвета, символа маркера и стиля линии, заданного FitLineSpec форматирование вектора символов и графиков x и y использование цвета, символа маркера и стиля линии, заданного DataLineSpec форматирование вектора символов.

plot(cfit,x,y,outliers) графики данных, обозначенных outliers в другом цвете. outliers может быть выражением, описывающим логический вектор, например x > 10вектор из целых чисел, индексирующий точки, которые вы хотите исключить, например [1 10 25], или логический массив, где true представляет собой выбросы. Вы можете создать массив с excludedata.

plot(cfit,x,y,outliers,OutlierLineSpec) графики outliers использование цвета, символа маркера и стиля линии, заданного OutlierLineSpec.

plot(...,ptype,...) использует тип графика, заданный как ptype.

plot(...,ptype,level) строит графики интервалов предсказания с доверительным уровнем, заданным level.

Примечание

Этот синтаксис доступен как для кривых, так и для поверхностей.

Типы plot могут быть одинарными или несколькими, с несколькими типами plot, заданными как массив ячеек из векторов символов. С одним типом графика, plot притягивает к текущей системе координат и может использоваться с такими командами, как hold и subplot. С несколькими типами графиков, plot создает подграфики для каждого типа графика.

H = plot(...) возвращает вектор указателей к нанесенным на график объектам.

Примеры

свернуть все

В этом примере показано, как построить графики данных, выбросов и результатов трех объектов подгонки с различными цветами и стилями линии.

Создайте базовый синусоидальный сигнал.

xdata = (0:0.1:2*pi)'; 
y0 = sin(xdata);

Добавьте шум к сигналу с непостоянным отклонением.

% Response-dependent Gaussian noise
gnoise = y0.*randn(size(y0));

% Salt-and-pepper noise
spnoise = zeros(size(y0)); 
p = randperm(length(y0));
sppoints = p(1:round(length(p)/5));
spnoise(sppoints) = 5*sign(y0(sppoints));

ydata = y0 + gnoise + spnoise;

Подгонка зашумленных данных с помощью базовой синусоидальной модели.

f = fittype('a*sin(b*x)'); 
fit1 = fit(xdata,ydata,f,'StartPoint',[1 1]);

Идентифицируйте «выбросы» как точки на расстоянии, больше 1,5 стандартных отклонений от базовой модели, и обновляйте данные с исключенными выбросами.

fdata = feval(fit1,xdata); 
I = abs(fdata - ydata) > 1.5*std(ydata); 
outliers = excludedata(xdata,ydata,'indices',I);

fit2 = fit(xdata,ydata,f,'StartPoint',[1 1],...
           'Exclude',outliers);

Сравните эффект исключения выбросов с эффектом придания им меньшего веса bisquare в устойчивой подгонке.

fit3 = fit(xdata,ydata,f,'StartPoint',[1 1],'Robust','on');

Постройте график данных, выбросов и результатов подгонки.

plot(fit1,'r-',xdata,ydata,'k.',outliers,'m*') 
hold on
plot(fit2,'c--')
plot(fit3,'b:')
xlim([0 2*pi])

Figure contains an axes. The axes contains 5 objects of type line. These objects represent data, excluded data, fitted curve.

Постройте график невязок для двух подгонка с учетом выбросов.

figure 
plot(fit2,xdata,ydata,'co','residuals') 
hold on
plot(fit3,xdata,ydata,'bx','residuals')
hold off

Figure contains an axes. The axes contains 4 objects of type line. These objects represent data, zero line.

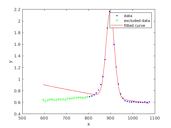
Загрузите данные и подгоните Гауссов, исключая некоторые данные с выражением, затем постройте график подгонки, данных и исключенных точек.

[x, y] = titanium;
f1 = fit(x',y','gauss2', 'Exclude', x<800);
plot(f1,x,y,x<800)

Figure contains an axes. The axes contains 3 objects of type line. These objects represent data, excluded data, fitted curve.

Входные параметры

свернуть все

Объект для построения графика, заданный как sfit объект.

Данные для построения графика, заданные как матрица с одним (аппроксимированием кривыми) или двумя (поверхностными подборами кривой) столбцами.

Данные для построения графика, заданные как матрица с одним (аппроксимированием кривыми) или двумя (поверхностными подборами кривой) столбцами.

Данные для построения графика, заданные как матрица с одним (аппроксимированием кривыми) или двумя (поверхностными подборами кривой) столбцами.

Объект для построения графика, заданный как cfit объект.

  • Выражение, описывающее логический вектор, например x > 10.

  • Вектор из целых чисел, индексирующий точки, которые вы хотите исключить, например [1 10 25].

  • Логический вектор для всех точек данных, где true представляет выбросы, созданную excludedata.

Для получения примера смотрите Исключить точки из Подгонки.

Типы данных: logical | double

Стиль линии, цвет и маркер используются для построения графика x данных предиктора и y данных отклика в виде вектора или строки , содержащая символы символов. Символы могут появиться в любом порядке. Вам не нужно задавать все три характеристики (стиль линии, маркер и цвет). Например, если вы опускаете стиль линии и задаете маркер, то на графике отображается только маркер и нет линии.

Пример: '--or' - красная штриховая линия с маркерами кругов

Стиль линииОписание
-Сплошная линия (по умолчанию)
--Штриховая линия
:Пунктирная линия
-.Штрих-точка линия
МаркерОписание
oКруг
+Плюс знак
*Звездочка
.Точка
xКрест
sКвадрат
dАлмаз
^Направленный вверх треугольник
vНисходящий треугольник
>Треугольник , указывающий вправо
<Треугольник , указывающий влево
pПентаграмма
hHexagram
ЦветОписание

y

желтый

m

пурпурный

c

голубой

r

красный

g

зеленый

b

синий

w

белый

k

черный

Стиль линии, цвет и маркер используются для построения графика функции cfit, заданной как вектор символов или строка , содержащая символы. Символы могут появиться в любом порядке. Вам не нужно задавать все три характеристики (стиль линии, маркер и цвет). Например, если вы опускаете стиль линии и задаете маркер, то на графике отображается только маркер и нет линии.

Пример: '--or' - красная штриховая линия с маркерами кругов

Стиль линииОписание
-Сплошная линия (по умолчанию)
--Штриховая линия
:Пунктирная линия
-.Штрих-точка линия
МаркерОписание
oКруг
+Плюс знак
*Звездочка
.Точка
xКрест
sКвадрат
dАлмаз
^Направленный вверх треугольник
vНисходящий треугольник
>Треугольник , указывающий вправо
<Треугольник , указывающий влево
pПентаграмма
hHexagram
ЦветОписание

y

желтый

m

пурпурный

c

голубой

r

красный

g

зеленый

b

синий

w

белый

k

черный

Стиль линии, цвет и маркер для построения графика outliers, заданный как вектор символов или строка, содержащая символы. Символы могут появиться в любом порядке. Вам не нужно задавать все три характеристики (стиль линии, маркер и цвет). Например, если вы опускаете стиль линии и задаете маркер, то на графике отображается только маркер и нет линии.

Пример: '--or' - красная штриховая линия с маркерами кругов

Стиль линииОписание
-Сплошная линия (по умолчанию)
--Штриховая линия
:Пунктирная линия
-.Штрих-точка линия
МаркерОписание
oКруг
+Плюс знак
*Звездочка
.Точка
xКрест
sКвадрат
dАлмаз
^Направленный вверх треугольник
vНисходящий треугольник
>Треугольник , указывающий вправо
<Треугольник , указывающий влево
pПентаграмма
hHexagram
ЦветОписание

y

желтый

m

пурпурный

c

голубой

r

красный

g

зеленый

b

синий

w

белый

k

черный

Тип графика, заданный как один из следующих поддерживаемых типов:

  • 'fit' - Данные и подгонка (по умолчанию)

  • 'predfunc' - Данные и соответствие границам предсказания для подгонки

  • 'predobs' - Данные и подгонка границам предсказания для новых наблюдений

  • 'residuals' - Невязки

  • 'stresiduals' - Стандартизированные невязки (невязки, деленные на их стандартное отклонение)

  • 'deriv1' - Первая производная от подгонки

  • 'deriv2' - Вторая производная от подгонки

  • 'integral' - Интеграл подгонки

Уровень доверия интервалов предсказания, заданный как скаляр между 0 и 1.

Аргументы в виде пар имя-значение

Задайте необязательные разделенные разделенными запятой парами Name,Value аргументы. Name - имя аргумента и Value - соответствующее значение. Name должны находиться внутри кавычек. Можно задать несколько аргументов в виде пар имен и значений в любом порядке Name1,Value1,...,NameN,ValueN.

Пример: 'Exclude',[1 10 25],'Level',0.95

Исключенные точки данных для построения в другом цвете, заданные как разделенная разделенными запятой парами, состоящая из 'Exclude' и один из:

  • Выражение, описывающее логический вектор, например x > 10.

  • Вектор из целых чисел, индексирующий точки, которые вы хотите исключить, например [1 10 25].

  • Логический вектор для всех точек данных, где true представляет выбросы, созданную excludedata.

Для получения примера смотрите Исключить точки из Подгонки.

Типы данных: logical | double

Способ построить график объекта аппроксимации поверхности sfit, заданная как разделенная разделенными запятой парами, состоящая из 'Style' и один из:

  • 'Surface' Постройте график объекта аппроксимации как поверхности (по умолчанию)

  • 'PredFunc' Поверхность с границами предсказания для функции

  • 'PredObs' Поверхность с границами предсказания для нового наблюдения

  • 'Residuals' Постройте график невязок (подгонка - плоскость Z = 0)

  • 'Contour' Создать контурный график поверхности

Доверительный уровень, используемый на графике, задается как разделенная разделенными запятой парами, состоящая из 'Level' и a положительной скалярной величины менее 1. Значение по умолчанию 0.95, для 95% доверия. Эта опция применяется только к 'PredFunc' и 'PredObs' стили графика.

Пределы x -оси, используемой для графика, заданные как разделенная разделенными запятой парами, состоящая из 'XLim' и скаляром или вектором. По умолчанию пределы осей берутся из данных XY. Если данные не даны, пределы берутся из объекта поверхностной подгонки sfit.

Пределы y -оси, используемой для графика, заданные как разделенная разделенными запятой парами, состоящая из 'YLim' и скаляром или вектором. По умолчанию пределы осей берутся из данных XY. Если данные не даны, пределы берутся из объекта поверхностной подгонки sfit.

Указатель на оси, заданный как разделенная запятыми пара, состоящая из 'Parent' и значение.

Выходные аргументы

свернуть все

Вектор указателей на нанесенные на график объекты, возвращенный как объектный массив.

Представлено до R2006a