exponenta event banner

pcg

Решающая система линейных уравнений - предварительно обусловленный метод сопряженных градиентов

Описание

пример

x = pcg(A,b) пытается решить систему линейных уравнений A*x = b для x использование метода предварительно обусловленных сопряженных градиентов. Когда попытка успешна, pcg отображение сообщения для подтверждения сходимости. Если pcg не сходится после максимального количества итераций или остановок по какой-либо причине, оно отображает диагностическое сообщение, которое включает относительную невязку norm(b-A*x)/norm(b) и номер итерации, на котором остановился метод.

пример

x = pcg(A,b,tol) задает допуск для метода. Допуск по умолчанию 1e-6.

пример

x = pcg(A,b,tol,maxit) задает максимальное количество итераций для использования. pcg отображает диагностическое сообщение, если оно не сходится в maxit итераций.

пример

x = pcg(A,b,tol,maxit,M) задает матрицу предварительной подготовки M и вычисляет x путем эффективного решения системы H1AHTy=H1b для y, где y=HTx и H=M1/2=(M1M2)1/2. Алгоритм не образует H явно. Использование матрицы preconditioner может улучшить числовые свойства задачи и эффективность вычисления.

пример

x = pcg(A,b,tol,maxit,M1,M2) задает факторы матрицы предкондиционера M таким образом M = M1*M2.

пример

x = pcg(A,b,tol,maxit,M1,M2,x0) задает начальное предположение для вектора решения x. По умолчанию это нулевой вектор.

пример

[x,flag] = pcg(___) возвращает флаг, который определяет, успешно ли сходился алгоритм. Когда flag = 0конвергенция прошла успешно. Можно использовать этот синтаксис выхода с любой из предыдущих комбинаций входных аргументов. Когда вы задаете flag выход, pcg не отображает никаких диагностических сообщений.

пример

[x,flag,relres] = pcg(___) также возвращает относительную невязку norm(b-A*x)/norm(b). Если flag является 0, затем relres <= tol.

пример

[x,flag,relres,iter] = pcg(___) также возвращает число итерации iter при котором x был вычислен.

пример

[x,flag,relres,iter,resvec] = pcg(___) также возвращает вектор нормы невязки при каждой итерации, включая первую невязку norm(b-A*x0).

Примеры

свернуть все

Решите квадратную линейную систему, используя pcg с настройками по умолчанию, а затем настроить допуск и количество итераций, используемых в процессе решения.

Создайте случайную симметричную разреженную матрицу A. Также создайте вектор b от суммы строк A для правой стороны Ax=b так что истинное решение x является вектором таковых.

rng default
A = sprand(400,400,.5);
A = A'*A;
b = sum(A,2);

Решить Ax=b использование pcg. Выход отображения включает в себя значение относительной остаточной ошибки b-Axb.

x = pcg(A,b);
pcg stopped at iteration 20 without converging to the desired tolerance 1e-06
because the maximum number of iterations was reached.
The iterate returned (number 20) has relative residual 3.6e-06.

По умолчанию pcg использует 20 итераций и допуск 1e-6и алгоритм не может сходиться в этих 20 итерациях для этой матрицы. Однако невязка близка к допуску, поэтому алгоритму, вероятно, просто нужно больше итераций, чтобы сходиться.

Снова решить систему с помощью допуска 1e-7 и 150 итераций.

x = pcg(A,b,1e-7,150);
pcg converged at iteration 130 to a solution with relative residual 9.9e-08.

Исследуйте эффект использования матрицы предкондиционера с pcg для решения линейной системы.

Создайте симметричную положительно определенную, разнесенную матрицу коэффициентов.

A = delsq(numgrid('S',102));

Определите b для правой стороны линейного уравнения Ax=b.

b = ones(size(A,1),1);

Установите допуск и максимальное количество итераций.

tol = 1e-8;
maxit = 100;

Использование pcg найти решение с требуемым допуском и количеством итераций. Укажите пять выходы, чтобы вернуть информацию о процессе решения:

  • x является вычисляемым решением для A*x = b.

  • fl0 является флагом, указывающим, сходился ли алгоритм.

  • rr0 - относительная невязка вычисляемого ответа x.

  • it0 - число итерации, когда x был вычислен.

  • rv0 является вектором остаточной истории для b-Ax.

[x,fl0,rr0,it0,rv0] = pcg(A,b,tol,maxit);
fl0
fl0 = 1
rr0
rr0 = 0.0131
it0
it0 = 100

fl0 является 1 потому что pcg не сходится к требуемому допуску 1e-8 в пределах запрошенных 100 итераций.

Для помощи с медленной сходимостью можно задать матрицу предкондиционера. Начиная с A симметрично, используйте ichol чтобы сгенерировать предварительный кондиционер M=LLT. Решить предварительно обусловленную систему путем определения L и L' в качестве входов в pcg.

L = ichol(A);
[x1,fl1,rr1,it1,rv1] = pcg(A,b,tol,maxit,L,L');
fl1
fl1 = 0
rr1
rr1 = 8.0992e-09
it1
it1 = 79

Использование ichol предварительное кондиционер создает относительную невязку меньше, чем предписанный допуск 1e-8 на 79-й итерации. Область выхода rv1(1) является norm(b) и rv1(end) является norm(b-A*x1).

Теперь используйте michol опция создания измененного неполного предкондиционера Холецкого.

L = ichol(A,struct('michol','on'));
[x2,fl2,rr2,it2,rv2] = pcg(A,b,tol,maxit,L,L');
fl2
fl2 = 0
rr2
rr2 = 9.9605e-09
it2
it2 = 47

Этот предварительный кондиционер лучше, чем тот, который получен неполной факторизацией Холесского с нулевым заполнением для матрицы коэффициентов в этом примере, так что pcg способен сходиться еще быстрее.

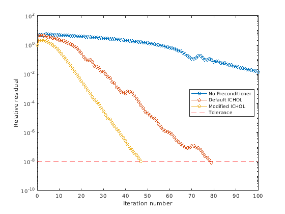
Можно увидеть, как предварительные кондиционеры влияют на скорость сходимости pcg путем построения графика каждой из остаточных историй, начиная с начальной оценки (итерационное число 0). Добавьте линии для заданного допуска.

semilogy(0:length(rv0)-1,rv0/norm(b),'-o')
hold on
semilogy(0:length(rv1)-1,rv1/norm(b),'-o')
semilogy(0:length(rv2)-1,rv2/norm(b),'-o')
yline(tol,'r--');
legend('No Preconditioner','Default ICHOL','Modified ICHOL','Tolerance','Location','East')
xlabel('Iteration number')
ylabel('Relative residual')

Figure contains an axes. The axes contains 4 objects of type line, constantline. These objects represent No Preconditioner, Default ICHOL, Modified ICHOL, Tolerance.

Исследуйте эффект подачи pcg с начальным угадыванием решения.

Создайте трехугольную разреженную матрицу. Используйте сумму каждой строки в качестве вектора для правой оси графика Ax=b так, чтобы ожидаемое решение для x является вектором таковых.

n = 900;
e = ones(n,1);
A = spdiags([e 2*e e],-1:1,n,n);
b = sum(A,2);

Использование pcg решить Ax=b дважды: один раз с начальным предположением по умолчанию и один раз с хорошим начальным предположением решения. Используйте 200 итераций и допуск по умолчанию для обоих решений. Задайте начальное предположение во втором решении как вектор со всеми элементами, равными 0.99.

maxit = 200;
x1 = pcg(A,b,[],maxit);
pcg converged at iteration 35 to a solution with relative residual 9.5e-07.
x0 = 0.99*e;
x2 = pcg(A,b,[],maxit,[],[],x0);
pcg converged at iteration 7 to a solution with relative residual 8.7e-07.

В этом случае подача начального предположения включает pcg чтобы сходиться быстрее.

Возврат промежуточных результатов

Вы также можете использовать начальное предположение, чтобы получить промежуточные результаты по вызову pcg в цикле for-. Каждый вызов решателя выполняет несколько итераций и сохраняет вычисленное решение. Затем вы используете это решение в качестве начального вектора для следующего пакета итераций.

Для примера этот код выполняет 100 итераций четыре раза и сохраняет вектор решения после каждого прохода в цикле for-loop:

x0 = zeros(size(A,2),1);
tol = 1e-8;
maxit = 100;
for k = 1:4
    [x,flag,relres] = pcg(A,b,tol,maxit,[],[],x0);
    X(:,k) = x;
    R(k) = relres;
    x0 = x;
end

X(:,k) вектор решения вычисляется при итерации k системы for-loop и R(k) - относительная невязка этого решения.

Решить линейную систему путем предоставления pcg с указателем на функцию, который вычисляет A*x вместо матрицы коэффициентов A.

Использование gallery чтобы сгенерировать 20 на 20 положительно определенную тридиагональную матрицу. Над- и поддиагонали имеют одно, в то время как основные диагональные элементы отсчитываются с 20 до 1. Предварительный просмотр матрицы.

n = 20;
A = gallery('tridiag',ones(n-1,1),n:-1:1,ones(n-1,1));
full(A)
ans = 20×20

    20     1     0     0     0     0     0     0     0     0     0     0     0     0     0     0     0     0     0     0
     1    19     1     0     0     0     0     0     0     0     0     0     0     0     0     0     0     0     0     0
     0     1    18     1     0     0     0     0     0     0     0     0     0     0     0     0     0     0     0     0
     0     0     1    17     1     0     0     0     0     0     0     0     0     0     0     0     0     0     0     0
     0     0     0     1    16     1     0     0     0     0     0     0     0     0     0     0     0     0     0     0
     0     0     0     0     1    15     1     0     0     0     0     0     0     0     0     0     0     0     0     0
     0     0     0     0     0     1    14     1     0     0     0     0     0     0     0     0     0     0     0     0
     0     0     0     0     0     0     1    13     1     0     0     0     0     0     0     0     0     0     0     0
     0     0     0     0     0     0     0     1    12     1     0     0     0     0     0     0     0     0     0     0
     0     0     0     0     0     0     0     0     1    11     1     0     0     0     0     0     0     0     0     0
      ⋮

Поскольку эта тридиагональная матрица имеет специальную структуру, можно представлять операцию A*x с указателем на функцию. Когда A умножает вектор, большинство элементов получившегося вектора являются нулями. Ненулевые элементы в результате соответствуют ненулевым триидиагональным элементам A. Кроме того, только главная диагональ имеет не ненули, которые не равны 1.

Выражение Ax становится:

[2010001191000118100117100116100115100114100113000100011][x1x2x3x4x5x20]=[20x1+x2x1+19x2+x3x2+18x3+x4x18+2x19+x20x19+x20].

Получившийся вектор может быть записан как сумма трех векторов:

[20x1+x2x1+19x2+x3x2+18x3+x4x18+2x19+x20x19+x20]=[0x1x19]+[20x119x2x20]+[x2x200].

В MATLAB ® запишите функцию, которая создает эти векторы и добавляет их вместе, таким образом придавая значение A*x:

function y = afun(x)
y = [0; x(1:19)] + ...
    [(20:-1:1)'].*x + ...
    [x(2:20); 0];
end

(Эта функция сохранена как локальная функция в конце примера.)

Теперь решите линейную систему Ax=b путем предоставления pcg с указателем на функцию, который вычисляет A*x. Используйте допуск 1e-12 и 50 итераций.

b = ones(20,1);
tol = 1e-12;  
maxit = 50;
x1 = pcg(@afun,b,tol,maxit)
pcg converged at iteration 20 to a solution with relative residual 4.4e-16.
x1 = 20×1

    0.0476
    0.0475
    0.0500
    0.0526
    0.0555
    0.0588
    0.0625
    0.0666
    0.0714
    0.0769
      ⋮

Проверяйте это afun(x1) создает вектор таковых.

afun(x1)
ans = 20×1

    1.0000
    1.0000
    1.0000
    1.0000
    1.0000
    1.0000
    1.0000
    1.0000
    1.0000
    1.0000
      ⋮

Локальные функции

function y = afun(x)
y = [0; x(1:19)] + ...
    [(20:-1:1)'].*x + ...
    [x(2:20); 0];
end

Входные параметры

свернуть все

Матрица коэффициентов, заданная как симметричная положительно определенная матрица или указатель на функцию. Эта матрица является матрицей коэффициентов в линейной системе A*x = b. Обычно A является большой разреженной матрицей или указателем на функцию, который возвращает продукту больших разреженной матрицы и вектора-столбца. Информацию о том, как подтвердить это, см. в разделе «Определение того, является ли матрица Symmetric Positive Definite» A симметрично положительно определено.

Определение A как указатель на функцию

Можно опционально задать матрицу коэффициентов как указатель на функцию вместо матрицы. Указатель на функцию возвращает матрично-векторные продукты вместо формирования всей матрицы коэффициентов, что делает вычисление более эффективным.

Чтобы использовать указатель на функцию, используйте сигнатуру функции function y = afun(x). Параметризация функций объясняет, как предоставить дополнительные параметры функции afun, при необходимости. Вызов функции afun(x) должен вернуть значение A*x.

Типы данных: double | function_handle
Поддержка комплексного числа: Да

Правая сторона линейного уравнения, заданная как вектор-столбец. Длина b должно быть равно size(A,1).

Типы данных: double
Поддержка комплексного числа: Да

Допуск метода, заданный как положительная скалярная величина. Используйте этот вход для точности компромисса и времени выполнения в вычислении. pcg должен соответствовать допуску в пределах количества разрешенных итераций, которые должны быть успешными. Меньшее значение tol означает, что ответ должен быть более точным, чтобы вычисление было успешным.

Типы данных: double

Максимальное количество итераций, заданное как положительное скалярное целое число. Увеличьте значение maxit чтобы разрешить больше итераций для pcg для достижения допуска tol. Обычно меньшее значение tol означает, что для успешного завершения вычисления требуется больше итераций.

Матрицы Preconditioner, заданные как отдельные аргументы матриц или указателей на функцию. Можно задать матрицу предварительной подготовки M или его матричные множители M = M1*M2 улучшить числовые аспекты линейной системы и облегчить ее pcg быстро сходиться. Можно использовать неполные функции матричного факторизации ilu и ichol чтобы сгенерировать матрицы preconditioner. Вы также можете использовать equilibrate перед факторизацией, чтобы улучшить число обусловленности матрицы коэффициентов. Для получения дополнительной информации о предварительных кондиционерах см. «Итерационные методы для линейных систем».

pcg рассматривает неопределенные предварительные кондиционеры как единичные матрицы.

Определение M как указатель на функцию

Вы можете опционально задать любой из M, M1, или M2 как указатели на функцию вместо матриц. Указатель на функцию выполняет матрично-векторные операции вместо того, чтобы сформировать целую матрицу предкондиционера, что делает вычисление более эффективным.

Чтобы использовать указатель на функцию, используйте сигнатуру функции function y = mfun(x). Параметризация функций объясняет, как предоставить дополнительные параметры функции mfun, при необходимости. Вызов функции mfun(x) должен вернуть значение M\x или M2\(M1\x).

Типы данных: double | function_handle
Поддержка комплексного числа: Да

Начальное предположение, заданное как вектор-столбец с длиной, равной size(A,2). Если вы можете предоставить pcg с более разумным исходным предположением x0 чем нулевой вектор по умолчанию, то он может сэкономить время расчета и помочь алгоритму сходиться быстрее.

Типы данных: double
Поддержка комплексного числа: Да

Выходные аргументы

свернуть все

Решение линейной системы, возвращаемое как вектор-столбец. Этот выход дает приблизительное решение линейной системы A*x = b. Если вычисление успешно (flag = 0), затем relres меньше или равно tol.

Всякий раз, когда расчет не успешен (flag ~= 0), решение x возвращено pcg - это тот, с минимальной нормой невязки, вычисленной по всем итерациям.

Флаг сходимости, возвращенный как одно из скалярных значений в этой таблице. Флаг сходимости указывает, было ли вычисление успешным, и различает несколько различных форм отказа.

Значение флага

Сходимость

0

Успех - pcg сходился к желаемому допуску tol в пределах maxit итераций.

1

Отказ - pcg итерация maxit итерации, но не сходились.

2

Отказ - матрица предварительной подготовки M или M = M1*M2 является плохо обусловленной.

3

Отказ - pcg застопорившиеся после двух последовательных итераций были одинаковыми.

4

Отказ - Одна из скалярных величин, вычисленных pcg алгоритм стал слишком маленьким или слишком большим, чтобы продолжить вычисления.

Относительная остаточная ошибка, возвращенная как скаляр. Относительная остаточная ошибка relres = norm(b-A*x)/norm(b) является показателем точности ответа. Если вычисление сходится к допуску tol в пределах maxit итераций, затем relres <= tol.

Типы данных: double

Число итерации, возвращенное как скаляр. Этот выход указывает номер итерации, при котором вычисленный ответ для x была рассчитана.

Типы данных: double

Остаточная ошибка, возвращенная как вектор. Остаточная ошибка norm(b-A*x) показывает, насколько близок алгоритм к сходимости для заданного значения x. Количество элементов в resvec равно количеству итераций. Можно изучить содержимое resvec чтобы помочь решить, изменять ли значения tol или maxit.

Типы данных: double

Подробнее о

свернуть все

Предварительно обусловленный метод сопряженных градиентов

Предварительно обусловленный метод сопряженных градиентов (PCG) был разработан, чтобы использовать структуру симметричных положительно определенных матриц. Несколько других алгоритмов могут работать с симметричными положительно определенными матрицами, но PCG является самым быстрым и надежным при решении этих типов систем [1].

Совет

  • Сходимость большинства итерационных методов зависит от числа обусловленности матрицы коэффициентов, cond(A). Вы можете использовать equilibrate улучшить число обусловленности Aи самостоятельно это облегчает сходимость большинства итерационных решателей. Однако использование equilibrate также приводит к более качественным матрицам предкондиционера, когда вы впоследствии факторизируете уравновешенную матрицу B = R*P*A*C.

  • Можно использовать матричные функции переупорядочивания, такие как dissect и symrcm чтобы переместить строки и столбцы матрицы коэффициентов и минимизировать количество ненулевых, когда матрица коэффициентов факторизирована, чтобы сгенерировать предварительное условие. Это может уменьшить память и время, необходимое для последующего решения предварительно обусловленной линейной системы.

Ссылки

[1] Barrett, R., M. Berry, T. F. Chan, et al., Templates for the Solution of Линейные Системы: Базовые блоки for Итерационные Методы, SIAM, Philadelphia, 1994.

Расширенные возможности

.
Представлено до R2006a