exponenta event banner

semilogy

Постройте графики параметров объекта RF-схемы с помощью логарифмической шкалы для y оси

Описание

пример

semilogy(h,circuitPara) строит графики параметров цепи circuitPara из объекта данных RFCKT или RF h использование логарифмической шкалы для оси y. В этом синтаксисе можно задать несколько параметров цепи.

Примечание

Для всех объектов схемы, кроме тех, которые содержат данные из файла данных, вы должны выполнить анализ частотного диапазона с analyze метод перед вызовом semilogy.

semilogy(h,circuitPara,dataFormat) строит графики данных объекта данных RFCKT или RF с помощью логарифмической шкалы для оси y с заданным форматом данных .

пример

semilogy(___,xAxisPara,xAxisFmt) строит графики параметров цепи circuitPara использование логарифмической шкалы для y -оси наряду с переменными xAxisPara и их соответствующий формат xAxisFmt. Задайте xAxisPara и xAxisFmt аргументы после любой комбинации входных аргументов в предыдущих синтаксисах.

semilogy(___,opCon,opVal) строит графики параметров схемы с помощью логарифмической шкалы для оси y с рабочими условиями opCon и рабочие значения opVal для объекта схемы h.

Вывод рабочих условий для объекта данных RFCKT или RF h использование getop(h) команда

пример

semilogy(___,Name,Value) строит графики данных объекта данных RFCKT или RF с аргументами имя-значение.

пример

lineseries = semilogy(___) возвращает объект свойства ряда линий lineseries. Этот вывод совпадает с выходом, возвращаемым MATLAB® semilogy функция.

Примеры

свернуть все

Создайте объект усилителя из default.s2p файл.

h = read(rfckt.amplifier,'default.s2p');

Постройте график S11 и S22 с помощью шкалы журнала на оси X.

lineseries = semilogy(h,'S11','S22');

Измените цвет S11 данных.

lineseries(1).Color = [0.4 0 1];

Figure contains an axes. The axes contains 2 objects of type line. These objects represent S_{11}, S_{22}.

Создайте объект усилителя RCKT из указанного P2D типа файла.

h = read(rfckt.amplifier,'default.p2d');

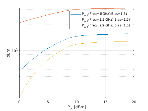
Постройте график выходной степени усилителя.

semilogy(h,'Pout')

Figure contains an axes. The axes contains 3 objects of type line. These objects represent P_{out}(Freq=1[GHz];Bias=1.5), P_{out}(Freq=2.1[GHz];Bias=1.5), P_{out}(Freq=2.9[GHz];Bias=1.5).

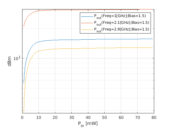
Постройте график выходной степени усилителя и установите формат для Pin в милливаттах.

semilogy(h,'Pout','Pin','mW')

Figure contains an axes. The axes contains 3 objects of type line. These objects represent P_{out}(Freq=1[GHz];Bias=1.5), P_{out}(Freq=2.1[GHz];Bias=1.5), P_{out}(Freq=2.9[GHz];Bias=1.5).

Постройте график выходной степени усилителя при 2.4 ГГц.

semilogy(h,'Pout','Pin','mW','bias',1.5,'Freq',2.4e9)

Figure contains an axes. The axes contains an object of type line. This object represents P_{out}(Freq=2.4[GHz];Bias=1.5).

Входные параметры

свернуть все

Объект данных RFCKT или RF, заданный как rfckt или rfdata объект.

Полный список объектов данных RFCKT и RF см. в разделах Объекты схемы RF и Объекты данных RF.

Формат данных, которые будут нанесены, задается как вектор символов или строковый скаляр. Тип listformat(h,circuitPara) Команда для просмотра доступных форматов заданного параметра.

Пример: lineseries = semilogy(h,'Pout','dBm')

Допустимый RFCKT или параметр объекта данных, заданный как вектор символов или строковый скаляр.

Использование listparam(h) для получения списка допустимых параметров для схемы или объекта данных h.

Переменная ось X для построения графика с параметрами цепи, circuitPara, заданный как вектор символов или строковый скаляр.

В этой таблице показаны обычно используемые circuitPara и соответствующие им xAxisPara значения. Функция использует значения по умолчанию, перечисленные в таблице, если вы не задаете xAxisPara .

circuitPara ЗначениеxAxisPara Значение
Pout, Phase, LS11, LS12, LS21, LS22Pin (по умолчанию), Freq
S11, S12, S21, S22, NF, IIP3, OIP3, GroupDelay, VSWRIn, VSWROut, GammaIn, GammaOut, FMIN, GammaOPT, RN, TF1, TF2, Gt, Ga, Gp, Gmag, Gmsg, GammaMS, GammaML, K, Delta, Mu, MuPrimeFreq
AM/AM, AM/PMAM

xAxisPara формат, заданный как вектор символов или строковый скаляр. Вам не нужно указывать xAxisFmt когда xAxisPara является рабочим условием.

В этой таблице показаны обычно используемые xAxisPara и соответствующие им xAxisFmt. Функция использует значения по умолчанию, перечисленные в таблице, если вы не задаете xAxisFmt .

xAxisPara ЗначениеxAxisFmt Значение
PindBm (по умолчанию), mW, W, dBW
Freq

THz, GHz, MHz, KHz, Hz

По умолчанию xAxisFmt выбран таким образом, чтобы обеспечить лучшее масштабирование для данного xAxisPara значения.

AMMagnitude (decibels) (по умолчанию), Magnitude (linear)

Пример: semilogy(h,'Pout','Pin','mW') строит графики данных с помощью логарифмической шкалы для оси y для объекта схемы, h, с xAxisPara установлено на 'Pin' и xAxisFmt установлено на 'mW'.

Рабочие условия, выведенные из P2D или S2D файла, заданные как строковый скаляр или вектор символов.

Для некоторых параметров схемы можно задать набор значений частоты или входной степени, при которых графики функций заданного параметра.

Для примера:

  • При построении графика параметров S большого сигнала как функции от входа степени можно задать интересующие частотные точки используя opCon и opVal аргументы.

  • При построении графика параметров S большого сигнала как функции от частоты можно задать интересующие уровни входной степени используя opCon и opVal аргументы.

  • При построении графика параметров как функции от рабочего условия можно задать как частотное, так и входное значения степени используя opCon и opVal аргументы.

Введите getop(h) команда в командной строке для получения условий работы объекта RF-схемы h.

Значение условий работы, заданных с помощью opCon аргумент, заданный как скаляр.

Пример: semilogy(h,'Pout','Pin','mW','bias',1.5) строит графики данных с помощью логарифмической шкалы для оси y -системы для объекта схемы, h, с opCon установлено на 'bias' и value установлено на 1.5.

Аргументы в виде пар имя-значение

Задайте необязательные разделенные разделенными запятой парами Name,Value аргументы. Name - имя аргумента и Value - соответствующее значение. Name должны находиться внутри кавычек. Можно задать несколько аргументов в виде пар имен и значений в любом порядке Name1,Value1,...,NameN,ValueN.

Пример: semilogy(h,'Pout','Pin','mW','bias',1.5,'Freq',2.4)

Значение частоты, используемое для построения графика данных с помощью логарифмической шкалы для оси y, заданной как разделенная разделенными запятой парами, состоящая из 'Freq' и положительная скалярная величина в Гц.

Входной уровень мощности, используемый для построения графика данных с помощью логарифмической шкалы для оси y -для разделенной разделенными запятой парами, состоящей из 'Pin' и скаляром в дБм.

Выходные аргументы

свернуть все

Объект Lineseries, возвращенный как вектор-столбец указателей на объекты.

Совет

Введенный в R2007a