exponenta event banner

loglog

Постройте графики параметров заданного объекта схемы с помощью логарифмической шкалы

Описание

пример

loglog(h,circuitPara) строит графики параметров цепи circuitPara из объекта данных RFCKT или RF h использование шкалы логарифмического журнала. В этом синтаксисе можно задать несколько параметров цепи.

Примечание

Для всех объектов схемы, кроме тех, которые содержат данные из файла данных, вы должны выполнить анализ частотного диапазона с analyze метод перед вызовом loglog.

loglog(h,circuitPara,dataFormat) строит графики данных объекта данных RFCKT или РФ с помощью логарифмической шкалы с заданным форматом данных.

пример

loglog(___,xAxisPara,xAxisFmt) строит графики параметров цепи circuitPara использование шкалы логарифмического журнала вместе с переменными xAxisPara и их соответствующий формат xAxisFmt. Задайте xAxisPara и xAxisFmt аргументы после любой комбинации входных аргументов в предыдущих синтаксисах.

loglog(___,opCon,opVal) строит графики параметров схемы с помощью логарифмической шкалы с условиями работы opCon и рабочие значения opVal для объекта схемы h.

Вывод рабочих условий для объекта данных RFCKT или RF h использование getop(h) команда

пример

loglog(___,Name,Value) строит графики данных объекта данных RFCKT или RF с аргументами имя-значение.

lineseries = loglog(___) возвращает объект свойства ряда линий lineseries. Этот вывод совпадает с выходом, возвращаемым MATLAB® loglog функция.

Примеры

свернуть все

Создайте и проанализируйте объект RFCKT двухпроводной линии электропередачи.

h = rfckt.twowire('Radius',7.5e-4);
freq = linspace(1e9,10e9,10);
analyze(h,freq);

Постройте график S11 с помощью шкалы логарифмического журнала.

lineseries = loglog(h,'S11');

Измените цвет S11 данных.

lineseries(1).Color = [0.4 0 1];

Figure contains an axes. The axes contains an object of type line. This object represents S_{11}.

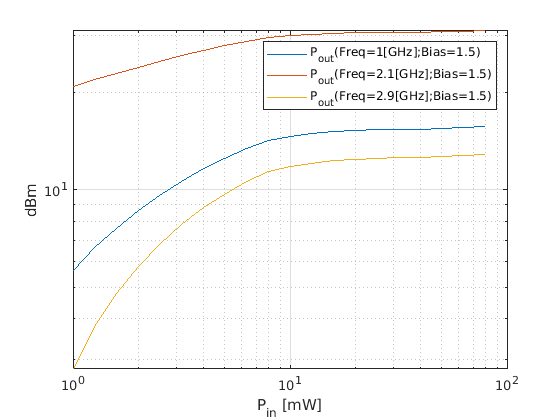
Создайте объект усилителя из заданного P2D типа файла.

h = read(rfckt.amplifier,'default.p2d');

Постройте график выходной степени усилителя.

loglog(h,'Pout')

Figure contains an axes. The axes contains 3 objects of type line. These objects represent P_{out}(Freq=1[GHz];Bias=1.5), P_{out}(Freq=2.1[GHz];Bias=1.5), P_{out}(Freq=2.9[GHz];Bias=1.5).

Постройте график выходной степени усилителя и установите формат для Pin в милливаттах.

loglog(h,'Pout','Pin','mW')

Figure contains an axes. The axes contains 3 objects of type line. These objects represent P_{out}(Freq=1[GHz];Bias=1.5), P_{out}(Freq=2.1[GHz];Bias=1.5), P_{out}(Freq=2.9[GHz];Bias=1.5).

Постройте график выходной степени усилителя при 2.4 ГГц.

loglog(h,'Pout','Pin','mW','bias',1.5,'Freq',2.4e9)

Figure contains an axes. The axes contains an object of type line. This object represents P_{out}(Freq=2.4[GHz];Bias=1.5).

Входные параметры

свернуть все

Объект данных RFCKT или RF, заданный как rfckt или rfdata объект.

Полный список объектов данных RFCKT и RF см. в разделах Объекты схемы RF и Объекты данных RF.

Формат данных, которые будут нанесены, задается как вектор символов или строковый скаляр. Тип listformat(h,circuitPara) Команда для просмотра доступных форматов заданного параметра.

Пример: lineseries = semilogy(h,'Pout','dBm')

Допустимый RFCKT или параметр объекта данных, заданный как вектор символов или строковый скаляр.

Использование listparam(h) для получения списка допустимых параметров для схемы или объекта данных h.

Переменная ось X для построения графика с параметрами цепи, circuitPara, заданный как вектор символов или строковый скаляр.

В этой таблице показаны обычно используемые circuitPara и соответствующие им xAxisPara значения. Функция использует значения по умолчанию, перечисленные в таблице, если вы не задаете xAxisPara .

circuitPara ЗначениеxAxisPara Значение
Pout, Phase, LS11, LS12, LS21, LS22Pin (по умолчанию), Freq
S11, S12, S21, S22, NF, IIP3, OIP3, GroupDelay, VSWRIn, VSWROut, GammaIn, GammaOut, FMIN, GammaOPT, RN, TF1, TF2, Gt, Ga, Gp, Gmag, Gmsg, GammaMS, GammaML, K, Delta, Mu, MuPrimeFreq
AM/AM, AM/PMAM

xAxisPara формат, заданный как вектор символов или строковый скаляр. Вам не нужно указывать xAxisFmt когда xAxisPara является рабочим условием.

В этой таблице показаны обычно используемые xAxisPara и соответствующие им xAxisFmt. Функция использует значения по умолчанию, перечисленные в таблице, если вы не задаете xAxisFmt .

xAxisPara ЗначениеxAxisFmt Значение
PindBm (по умолчанию), mW, W, dBW
Freq

THz, GHz, MHz, KHz, Hz

По умолчанию xAxisFmt выбран таким образом, чтобы обеспечить лучшее масштабирование для данного xAxisPara значения.

AMMagnitude (decibels) (по умолчанию), Magnitude (linear)

Пример: loglog(h,'Pout','Pin','mW') строит графики данных с помощью логарифмической шкалы для объекта схемы, h, с xAxisPara установлено на 'Pin' и xAxisFmt установлено на 'mW'.

Рабочие условия, выведенные из P2D или S2D файла, заданные как строковый скаляр или вектор символов.

Для некоторых параметров схемы можно задать набор значений частоты или входной степени, при которых графики функций заданного параметра.

Для примера:

  • При построении графика параметров S большого сигнала как функции от входа степени можно задать интересующие частотные точки используя opCon и opVal аргументы.

  • При построении графика параметров S большого сигнала как функции от частоты можно задать интересующие уровни входной степени используя opCon и opVal аргументы.

  • При построении графика параметров как функции от рабочего условия можно задать как частотное, так и входное значения степени используя opCon и opVal аргументы.

Введите getop(h) команда в командной строке для получения условий работы объекта RF-схемы h.

Значение условий работы, заданных с помощью opCon аргумент, заданный как скаляр.

Пример: loglog(h,'Pout','Pin','mW','bias',1.5) строит графики данных с помощью логарифмической шкалы для объекта схемы, h, с opCon установлено на 'bias' и value установлено на 1.5.

Аргументы в виде пар имя-значение

Задайте необязательные разделенные разделенными запятой парами Name,Value аргументы. Name - имя аргумента и Value - соответствующее значение. Name должны находиться внутри кавычек. Можно задать несколько аргументов в виде пар имен и значений в любом порядке Name1,Value1,...,NameN,ValueN.

Пример: loglog(h,'Pout','Pin','mW','bias',1.5,'Freq',2.4)

Значение частоты, используемое для построения графика данных с помощью логарифмической шкалы, заданной как разделенная разделенными запятой парами, состоящая из 'Freq' и положительная скалярная величина в Гц.

Входной уровень мощности, используемый для построения графика данных с помощью логарифмической шкалы, заданной как разделенная разделенными запятой парами, состоящая из 'Pin' и скаляром в дБм.

Выходные аргументы

свернуть все

Объект Lineseries, возвращенный как вектор-столбец указателей на объекты.

Совет

  • Используйте Property Editor ( propertyeditor ) или MATLAB set функция для изменения свойств линии. Страницы с описанием для функций MATLAB, таких как figure, axes, и text также перечислите доступные свойства и предоставьте ссылки на более полные описания свойств.

    Примечание

    Используйте MATLAB loglog функция для создания шкалы логарифмической регистрации параметров, которые заданы как векторные данные и не являются частью схемы (rfckt ) объект или данные (rfdata ) объект.

  • Если h имеет несколько условий работы, таких как от .p2d или .s2d файл, loglog функция действует следующим образом:

    • Если вы не задаете какие-либо рабочие условия в качестве аргументов для loglog затем метод строит графики значений параметров на основе текущих выбранных условий работы.

    • Если вы задаете одно или несколько условий работы, loglog метод строит графики значений параметров на основе этих условий работы.

    • Когда вы используете рабочее условие для xparameter входной параметр, метод строит графики параметров для всех значений рабочих условий.

Введенный в R2007a