exponenta event banner

periodogram

Оценка спектральной плотности мощности периодограммой

Описание

пример

pxx = periodogram(x) возвращает оценку спектральной плотности степени пародограммы (PSD), pxx, входного сигнала, x, найденный с использованием прямоугольного окна. Когда x является вектором, он рассматривается как один канал. Когда x является матрицей, PSD вычисляется независимо для каждого столбца и хранится в соответствующем столбце pxx. Если x является реальным, pxx является односторонней оценкой PSD. Если x является комплексным, pxx является двусторонней оценкой PSD. Число точек, nfftв дискретном преобразовании Фурье (DFT) это максимум 256 или следующая степень двойки, больше длины сигнала.

пример

pxx = periodogram(x,window) возвращает измененную оценку PSD периодограммы с помощью окна, window. window - вектор той же длины, что и x.

пример

pxx = periodogram(x,window,nfft) использует nfft точки в дискретном преобразовании Фурье (DFT). Если nfft больше длины сигнала, x заполнен нулями до длины nfft. Если nfft меньше длины сигнала, сигнал оборачивается по модулю nfft и суммированные с помощью datawrap. Для примера входной сигнал [1 2 3 4 5 6 7 8] с nfft равным 4 результатам в периодограмме sum([1 5; 2 6; 3 7; 4 8],2).

[pxx,w] = periodogram(___) возвращает нормированный вектор частоты, w. Если pxx является односторонней периодограммой, w охватывает интервал [0, π], если nfft чётный и [0, π), если nfft нечетно. Если pxx является двусторонней периодограммой, w охватывает интервал [0,2 π).

пример

[pxx,f] = periodogram(___,fs) возвращает вектор частоты, f, в циклах в единицу времени. Частота дискретизации, fs, количество выборок в единицу времени. Если модулем времени является секунды, то f в циклах/секунду (Гц). Для реальных сигналов, f охватывает интервал [0, fs/ 2] когда nfft является четным и [0, fs/ 2) при nfft нечетно. Для комплексных сигналов, f охватывает интервал [0, fs). fs должен быть четвертым входом, periodogram. Чтобы ввести частоту дискретизации и все еще использовать значения по умолчанию предыдущих необязательных аргументов, задайте эти аргументы как пустые [].

пример

[pxx,w] = periodogram(x,window,w) возвращает двусторонние оценки периодограммы на нормализованных частотах, заданных в векторе, w. w должен содержать как минимум два элемента, поскольку в противном случае функция интерпретирует его как nfft.

пример

[pxx,f] = periodogram(x,window,f,fs) возвращает двусторонние оценки периодограммы на частотах, заданных в векторе. Векторная f должен содержать как минимум два элемента, поскольку в противном случае функция интерпретирует его как nfft. Частоты в f в циклах в единицах времени. Частота дискретизации, fs, количество выборок в единицу времени. Если модулем времени является секунды, то f в циклах/секунду (Гц).

пример

[___] = periodogram(x,window,___,freqrange) возвращает периодограмму в частотной области значений, заданном freqrange. Допустимые опции для freqrange являются: 'onesided', 'twosided', или 'centered'.

пример

[___,pxxc] = periodogram(___,'ConfidenceLevel',probability) возвращает probability × 100% доверительные интервалы для оценки PSD в pxxc.

[rpxx,f] = periodogram(___,'reassigned') переуступает каждую оценку PSD на частоту, ближайшую к ее центру энергии. rpxx содержит сумму оценок, переназначенных каждому элементу f.

пример

[rpxx,f,pxx,fc] = periodogram(___,'reassigned') также возвращает неназначенные оценки PSD, pxx, и частоты центра энергии, fc. Если вы используете 'reassigned' флаг, тогда вы не можете задать probability доверительный интервал.

пример

[___] = periodogram(___,spectrumtype) возвращает оценку PSD, если spectrumtype задается как 'psd' и возвращает спектр степени, если spectrumtype задается как 'power'.

пример

periodogram(___) без выходных аргументов строит графики оценки PSD периодограммы в дБ на частоту модуля в текущую фигуру окне.

Примеры

свернуть все

Получите периодограмму входного сигнала, состоящего из синусоиды дискретного времени с угловой частотой π/4 рад/образец с добавкой N(0,1) белый шум.

Создайте синусоиду с угловой частотой π/4 рад/образец с добавкой N(0,1) белый шум. Сигнал имеет длину 320 выборки. Получите периодограмму с помощью прямоугольного окна по умолчанию и длины ДПФ. Длина ДПФ является следующей степенью двойки, больше, чем длина сигнала, или 512 точек. Поскольку сигнал является реальным и имеет четную длину, периодограмма является односторонней, и существует 512/2 + 1 точек.

n = 0:319;
x = cos(pi/4*n)+randn(size(n));
[pxx,w] = periodogram(x);
plot(w,10*log10(pxx))

Figure contains an axes. The axes contains an object of type line.

Повторите график с помощью periodogram без выходы.

periodogram(x)

Figure contains an axes. The axes with title Periodogram Power Spectral Density Estimate contains an object of type line.

Получите модифицированную периодограмму входного сигнала, состоящего из синусоиды дискретного времени с угловой частотой π/4 радианы/образец с добавкой N(0,1) белый шум.

Создайте синусоиду с угловой частотой π/4 радианы/образец с добавкой N(0,1) белый шум. Сигнал имеет длину 320 выборки. Получите измененную периодограмму с помощью окна Хэмминга и длины ДПФ по умолчанию. Длина ДПФ является следующей степенью двойки, больше, чем длина сигнала, или 512 точек. Поскольку сигнал является реальным и имеет четную длину, периодограмма является односторонней, и существует 512/2 + 1 точек.

n = 0:319;
x = cos(pi/4*n)+randn(size(n));
periodogram(x,hamming(length(x)))

Figure contains an axes. The axes with title Periodogram Power Spectral Density Estimate contains an object of type line.

Получите периодограмму входного сигнала, состоящего из синусоиды дискретного времени с угловой частотой π/4 радианы/образец с добавкой N(0,1) белый шум. Используйте длину ДПФ, равную длине сигнала.

Создайте синусоиду с угловой частотой π/4 радианы/образец с добавкой N(0,1) белый шум. Сигнал имеет длину 320 выборки. Получите периодограмму с помощью прямоугольного окна по умолчанию и длины ДПФ, равной длине сигнала. Поскольку сигнал является реальным, односторонняя периодограмма возвращается по умолчанию с длиной, равной 320/2 + 1.

n = 0:319;
x = cos(pi/4*n)+randn(size(n));
nfft = length(x);
periodogram(x,[],nfft)

Figure contains an axes. The axes with title Periodogram Power Spectral Density Estimate contains an object of type line.

Получите периодограмму данных числа Вольфа (относительное пятно солнца), дискретизированных ежегодно между 1700 и 1987 годами.

Загрузите относительные данные о числе солнечных пятен. Получите периодограмму с помощью прямоугольного окна по умолчанию и количества точек ДПФ (512 в этом примере). Частота дискретизации для этих данных составляет 1 выборка/год. Постройте график периодограммы.

load sunspot.dat
relNums=sunspot(:,2);

[pxx,f] = periodogram(relNums,[],[],1);

plot(f,10*log10(pxx))
xlabel('Cycles/Year')
ylabel('dB / (Cycles/Year)')
title('Periodogram of Relative Sunspot Number Data')

Figure contains an axes. The axes with title Periodogram of Relative Sunspot Number Data contains an object of type line.

На предыдущем рисунке вы видите, что в периодограмме существует пик приблизительно в 0,1 цикла/год, что указывает на период приблизительно в 10 лет.

Получите периодограмму входного сигнала, состоящего из двух синусоидов дискретного времени с угловыми частотами π/4 и π/2 рад/образец в добавке N(0,1) белый шум. Получите двусторонние оценки периодограммы в π/4 и π/2 рад/образец. Сравните результат с односторонней периодограммой.

n = 0:319;
x = cos(pi/4*n)+0.5*sin(pi/2*n)+randn(size(n));

[pxx,w] = periodogram(x,[],[pi/4 pi/2]);
pxx
pxx = 1×2

   14.0589    2.8872

[pxx1,w1] = periodogram(x);
plot(w1/pi,pxx1,w/pi,2*pxx,'o')
legend('pxx1','2 * pxx')
xlabel('\omega / \pi')

Figure contains an axes. The axes contains 2 objects of type line. These objects represent pxx1, 2 * pxx.

Полученные значения периодограммы составляют 1/2 значения в односторонней периодограмме. Когда вы вычисляете периодограмму на определенном наборе частот, выход представляет собой двустороннюю оценку.

Создайте сигнал, состоящий из двух синусоид с частотами 100 и 200 Гц в N (0,1) белом аддитивном шуме. Частота дискретизации составляет 1 кГц. Получаем двустороннюю периодограмму частотой 100 и 200 Гц.

fs = 1000;
t = 0:0.001:1-0.001;
x = cos(2*pi*100*t)+sin(2*pi*200*t)+randn(size(t));

freq = [100 200];
pxx = periodogram(x,[],freq,fs)
pxx = 1×2

    0.2647    0.2313

Следующий пример иллюстрирует использование доверия границ с периодограммой. Хотя не является необходимым условием статистической значимости, частоты в периодограмме, где нижняя доверительная граница превышает верхнюю доверительную границу для окружающих оценок PSD, четко указывают на значительные колебания во временных рядах.

Создайте сигнал, состоящий из суперпозиции 100 Гц и 150 Гц синусоид аддитивного белого N (0,1) шума. Амплитуда двух синусоид равна 1. Частота дискретизации составляет 1 кГц.

fs = 1000;
t = 0:1/fs:1-1/fs;
x = cos(2*pi*100*t) + sin(2*pi*150*t) + randn(size(t));

Получите оценку PSD периодограммы с 95% -доверием. Постройте график пародограммы вместе с интервалом доверия и увеличьте частоту необходимой области около 100 и 150 Гц.

[pxx,f,pxxc] = periodogram(x,rectwin(length(x)),length(x),fs,...
    'ConfidenceLevel',0.95);

plot(f,10*log10(pxx))
hold on
plot(f,10*log10(pxxc),'-.')

xlim([85 175])
xlabel('Hz')
ylabel('dB/Hz')
title('Periodogram with 95%-Confidence Bounds')

Figure contains an axes. The axes with title Periodogram with 95%-Confidence Bounds contains 3 objects of type line.

Нижняя доверительная граница в непосредственной близости от 100 и 150 Гц значительно выше верхней доверительной границы за пределами 100 и 150 Гц.

Получите периодограмму синусоиды 100 Гц в присадке N(0,1) шум. Данные отбираются с частотой дискретизации 1 кГц. Используйте 'centered' опция для получения периодограммы постоянного тока и построения графика результата.

fs = 1000;
t = 0:0.001:1-0.001;
x = cos(2*pi*100*t)+randn(size(t));
periodogram(x,[],length(x),fs,'centered')

Figure contains an axes. The axes with title Power Spectral Density contains an object of type line.

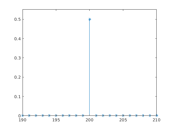
Сгенерируйте сигнал, который состоит из синусоиды 200 Гц, встроенной в белый Гауссов шум. Дискретизация сигнала производится на частоте 1 кГц в течение 1 секунды. Шум имеет отклонение 0,01 ². Сбросьте генератор случайных чисел для воспроизводимых результатов.

rng('default')

Fs = 1000;
t = 0:1/Fs:1-1/Fs;
N = length(t);
x = sin(2*pi*t*200)+0.01*randn(size(t));

Используйте БПФ, чтобы вычислить спектр степени сигнала, нормированный по длине сигнала. Синусоида находится в интервале, поэтому вся степень сконцентрирована в одной частотной выборке. Постройте график одностороннего спектра. Увеличьте изображение окрестности пика.

q = fft(x,N);
ff = 0:Fs/N:Fs-Fs/N;

ffts = q*q'/N^2
ffts = 0.4997
ff = ff(1:floor(N/2)+1);
q = q(1:floor(N/2)+1);

stem(ff,abs(q)/N,'*')
axis([190 210 0 0.55])

Figure contains an axes. The axes contains an object of type stem.

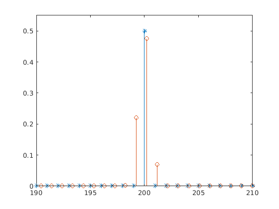
Использование periodogram для вычисления степени спектра сигнала. Задайте окно Ханна и длину БПФ 1024. Найдите процентное различие между расчетной степенью в 200 Гц и фактическим значением.

wind = hann(N);

[pun,fr] = periodogram(x,wind,1024,Fs,'power');

hold on
stem(fr,pun)

Figure contains an axes. The axes contains 2 objects of type stem.

periodogErr = abs(max(pun)-ffts)/ffts*100
periodogErr = 4.7349

Пересчитайте спектр степени, но на этот раз используйте переназначение. Постройте график новой оценки и сравните ее максимум со значением БПФ.

[pre,ft,pxx,fx] = periodogram(x,wind,1024,Fs,'power','reassigned');

stem(fx,pre)
hold off
legend('Original','Periodogram','Reassigned')

Figure contains an axes. The axes contains 3 objects of type stem. These objects represent Original, Periodogram, Reassigned.

reassignErr = abs(max(pre)-ffts)/ffts*100
reassignErr = 0.0779

Оцените степень синусоиды на определенной частоте, используя 'power' опция.

Создайте синусоидальную частоту 100 Гц на одну секунду по длительности дискретизации с частотой дискретизации 1 кГц. Амплитуда синусоиды 1,8, что равняется степени 1,8 ²/2 = 1,62. Оцените степень, используя 'power' опция.

fs = 1000;
t = 0:1/fs:1-1/fs;
x = 1.8*cos(2*pi*100*t);
[pxx,f] = periodogram(x,hamming(length(x)),length(x),fs,'power');
[pwrest,idx] = max(pxx);
fprintf('The maximum power occurs at %3.1f Hz\n',f(idx))
The maximum power occurs at 100.0 Hz
fprintf('The power estimate is %2.2f\n',pwrest)
The power estimate is 1.62

Сгенерируйте 1024 выборки многоканального сигнала, состоящего из трех синусоидов в аддитиве N(0,1) белый Гауссов шум. Частоты синусоидов π/2, π/3, и π/4 рад/образец. Оцените PSD сигнала с помощью периодограммы и постройте график.

N = 1024;
n = 0:N-1;

w = pi./[2;3;4];
x = cos(w*n)' + randn(length(n),3);

periodogram(x)

Figure contains an axes. The axes with title Periodogram Power Spectral Density Estimate contains 3 objects of type line.

Создайте функцию periodogram_data.m который возвращает модифицированную оценку периодограммы степени спектральной плотности (PSD) входного сигнала с помощью окна. Функция задает количество дискретных точек преобразования Фурье, равное длине входного сигнала.

type periodogram_data
function [pxx,f] = periodogram_data(inputData,window)
%#codegen
nfft = length(inputData);
[pxx,f] = periodogram(inputData,window,nfft);
end

Использование codegen (MATLAB Coder), чтобы сгенерировать MEX-функцию.

  • The %#codegen директива в функции указывает, что код MATLAB ® предназначен для генерации кода.

  • The -args опция задает аргументы в качестве примера, которые определяют размер, класс и сложность входов в файл MEX. В данном примере задайте inputData как случайный вектор с двойной точностью 1024 на 1 и window как Окно Хэмминга длины 1024. В последующих вызовах MEX-функции используйте входные сигналы и окна с 1024 дискретизацией.

  • Если вы хотите, чтобы MEX-функция имела другое имя, используйте -o опция.

  • Если необходимо просмотреть отчет генерации кода, добавьте -report опция в конце codegen команда.

codegen periodogram_data -args {randn(1024,1),hamming(1024)}
Code generation successful.

Вычислите оценку PSD шумной синусоиды с 1024 образцом, используя функцию периодограммы и MEX-функцию, которую вы сгенерировали. Задайте синусоидальную нормированную частоту 2π/5 рад/образец и окно Ханна. Постройте график двух оценок, чтобы убедиться, что они совпадают.

N = 1024;
x = 2*cos(2*pi/5*(0:N-1)') + randn(N,1);
periodogram(x,hann(N))
[pxMex,fMex] = periodogram_data(x,hann(N));
hold on
plot(fMex/pi,pow2db(pxMex),':','Color',[0 0.4 0])
hold off
grid on
legend('periodogram','MEX function')

Figure contains an axes. The axes with title Periodogram Power Spectral Density Estimate contains 2 objects of type line. These objects represent periodogram, MEX function.

Входные параметры

свернуть все

Входной сигнал, заданный как строка или вектор-столбец, или как матрица. Если x является матрицей, тогда ее столбцы рассматриваются как независимые каналы.

Пример: cos(pi/4*(0:159))+randn(1,160) является одноканальным вектором-строкой.

Пример: cos(pi./[4;2]*(0:159))'+randn(160,2) является двухканальным сигналом.

Типы данных: single | double
Поддержка комплексного числа: Да

Окно, заданное как строка или вектор-столбец с той же длиной, что и входной сигнал. Если вы задаете window как пустой, затем periodogram использует прямоугольное окно. Если вы задаете 'reassigned' флаг и пустой window, тогда функция использует окно Кайзера с β = 38.

Типы данных: single | double

Количество точек ДПФ, заданное как положительное целое число. Для действительного входного сигнала, x, оценка PSD, pxx имеет длину (nfft/ 2 + 1), если nfft является четным, и (nfft + 1 )/2, если nfft нечетно. Для комплексного входного сигнала, xоценка PSD всегда имеет длину nfft. Если nfft задан как пустой, значение по умолчанию nfft используется.

Типы данных: single | double

Частота дискретизации, заданная как положительная скалярная величина. Частота дискретизации является количеством выборок в единицу времени. Если модулем времени является секунды, то частота дискретизации имеет модули измерения Гц.

Нормированные частоты, заданные как строка или вектор-столбец с по крайней мере двумя элементами. Нормированные частоты указаны в рад/отсчет.

Пример: w = [pi/4 pi/2]

Типы данных: double

Частоты, заданные как строка или вектор-столбец с по крайней мере двумя элементами. Частоты указаны в циклах в единицах времени. Единичное время задается частотой дискретизации, fs. Если fs имеет модули измерения проб/секунду, затем f содержит модули Гц.

Пример: fs = 1000; f = [100 200]

Типы данных: double

Частотная область значений для оценки PSD, заданный как один из 'onesided', 'twosided', или 'centered'. Значение по умолчанию является 'onesided' для реальных сигналов и 'twosided' для комплексных сигналов. Частотные области значений, соответствующие каждой опции,

  • 'onesided' - возвращает одностороннюю оценку PSD действительного входного сигнала, x. Если nfft является четным, pxx имеет длину nfft/ 2 + 1 и вычисляется через интервал [0, π] рад/отсчет. Если nfft нечетно, длина pxx is (nfft + 1 )/2 и интервал равен [0, π) рад/отсчету. Когда fs опционально задан, соответствующие интервалы [0, fs/ 2] циклов/единичное время и [0, fs/ 2) циклы/единичное время для четной и нечетной длины nfft соответственно.

  • 'twosided' - возвращает двустороннюю оценку PSD для реального или комплексного входов, x. В этом случае pxx имеет длину nfft и вычисляется через интервал [0,2 π) рад/отсчета. Когда fs опционально задан, интервал равен [0, fs) циклы/единичное время.

  • 'centered' - возвращает центрированную двустороннюю оценку PSD для реального или комплексного входа, x. В этом случае pxx имеет длину nfft и вычисляется по интервалу (- π, π] рад/отсчет для четной длины nfft и (- π, π) рад/отсчет для нечетной длины nfft. Когда fs опционально задано, соответствующие интервалы являются (- fs/2, fs/ 2] циклов/единичное время и (- fs/2, fs/ 2) циклы/единичное время для четной и нечетной длины nfft соответственно.

Масштабирование спектра степени, заданное как 'psd' или 'power'. Чтобы вернуть спектральную плотность степени, опускайте spectrumtype или задайте 'psd'. Чтобы получить оценку степени на каждой частоте, используйте 'power' вместо этого. Определение 'power' масштабирует каждую оценку PSD по эквивалентной шумовой полосе окна, кроме случаев, когда 'reassigned' используется флаг.

Вероятность покрытия для истинного PSD, заданная в виде скаляра в области значений (0,1). Выход, pxxc, содержит нижнюю и верхнюю границы probability × оценку 100% интервала для истинного PSD.

Выходные аргументы

свернуть все

Оценка PSD, возвращенная как действительный, неотрицательный вектор-столбец или матрица. Каждый столбец pxx - оценка PSD соответствующего столбца x. Модули оценки PSD указаны в квадрате величины модулей из данных временных рядов на модуль частоту. Для примера, если входные данные в вольтах, оценка PSD в модули от квадратов В на модуль частоту. Для временных рядов в вольтах, если вы принимаете сопротивление 1 Ом и задаете частоту дискретизации в герцах, оценка PSD в ваттах на герц.

Типы данных: single | double

Циклические частоты, возвращенные как реальный вектор-столбец. Для односторонней оценки PSD, f охватывает интервал [0, fs/ 2] когда nfft является четным и [0, fs/ 2) при nfft нечетно. Для двусторонней оценки PSD, f охватывает интервал [0, fs). Для оценки PSD с центром DC, f охватывает интервал (- fs/2, fs/ 2] циклов/единичное время для четной длины nfft и (- fs/2, fs/ 2) циклы/единичное время для нечетной длины nfft.

Типы данных: double | single

Нормированные частоты, возвращенные как реальный вектор-столбец. Если pxx является односторонней оценкой PSD, w охватывает интервал [0, π], если nfft чётный и [0, π), если nfft нечетно. Если pxx является двусторонней оценкой PSD, w охватывает интервал [0,2 π). Для оценки PSD с центром DC, w охватывает интервал (- π, π] для четных nfft и (- π, π) для нечетных nfft.

Типы данных: double

Доверительные границы, возвращенные как матрица с вещественными элементами. Размер строки матрицы равен длине оценки PSD, pxx. pxxc имеет в два раза больше столбцов, чем pxx. Столбцы с нечетным номером содержат нижние границы доверительных интервалов, а столбцы с четным номером - верхние границы. Таким образом, pxxc(m,2*n-1) - нижняя доверительная граница и pxxc(m,2*n) - верхняя доверительная граница, соответствующая оценке pxx(m,n). Вероятность покрытия доверительных интервалов определяется значением probability вход.

Типы данных: single | double

Переназначенная оценка PSD, возвращенная как реальный, неотрицательный вектор-столбец или матрица. Каждый столбец rpxx - переназначенная оценка PSD соответствующего столбца x.

Частоты центра энергии, заданные как вектор или матрица.

Подробнее о

свернуть все

Periodogram

Периодограмма является непараметрической оценкой спектральной плотности степени (PSD) широкополосного стационарного случайного процесса. Периодограмма является преобразованием Фурье смещенной оценки автокорреляционной последовательности. Для xn сигнала, дискретизированной в fs выборки за модуль времени, периодограмма определяется как

P^(f)=ΔtN|n=0N1xnej2πfΔtn|2,1/2Δt<f1/2Δt,

где И t - интервал дискретизации. Для односторонней периодограммы значения на всех частотах, кроме 0 и Nyquist, 1/2Δ t, умножаются на 2, так что общая степень сохранена.

Если частоты в радианах/выборке, периодограмма определяется как

P^(ω)=12πN|n=0N1xnejωn|2,π<ωπ.

Частотная область значений в предыдущих уравнениях имеет изменения в зависимости от значения freqrange аргумент. См. описание freqrange во входных параметрах.

Интеграл истинного PSD, P (f), за один период, 1/В t для циклической частоты и 2 π для нормированной частоты, равен дисперсии широкополосного стационарного случайного процесса:

σ2=1/2Δt1/2ΔtP(f)df.

Для нормированных частот замените пределы интегрирования соответствующим образом.

Измененная пародограмма

Измененная периодограмма умножает входные временные ряды на оконную функцию. Подходящая оконная функция неотрицательна и уменьшается до нуля в начальной и конечной точках. Умножение временных рядов на оконную функцию сужает данные постепенно включенные и отключенные и помогает уменьшить утечки в периодограмме. Смотрите Смещение и Изменчивость в Периодограмме для примера.

Если hn является оконной функцией, измененная периодограмма определяется как

P^(f)=ΔtN|n=0N1hnxnej2πfΔtn|2,1/2Δt<f1/2Δt,

где И t - интервал дискретизации.

Если частоты находятся в радианах/выборке, модифицированная периодограмма определяется как

P^(ω)=12πN|n=0N1hnxnejωn|2,π<ωπ.

Частотная область значений в предыдущих уравнениях имеет изменения в зависимости от значения freqrange аргумент. См. описание freqrange во входных параметрах.

Перераспределенная пародограмма

Метод переназначения точит локализацию спектральных оценок и производит периодограммы, которые легче считать и интерпретировать. Этот метод переназначает каждую оценку PSD в центр энергии своего интервала, вдали от геометрического центра интервала. Он обеспечивает точную локализацию щебета и импульсов.

Ссылки

[1] Оже, Франсуа и Патрик Фландрин. «Улучшение читаемости представлений временной частоты и шкалы времени методом переназначения». IEEE® Транзакции по обработке сигналов. Том 43, май 1995 года, стр. 1068-1089.

[2] Фулоп, Шон А. и Келли Фитц. «Алгоритмы вычисления скорректированной по времени спектрограммы мгновенной частоты (переназначенной) с приложениями». Журнал Акустического общества Америки. Том 119, январь 2006, стр. 360-371.

Расширенные возможности

Генерация кода C/C + +
Сгенерируйте код C и C++ с помощью Coder™ MATLAB ®

.
Представлено до R2006a