exponenta event banner

plot

Класс: RepeatedMeasuresModel

Постройте график данных с опциональной группировкой

Описание

пример

plot(rm) строит графики измерений в модели повторных измерений rm для каждого предмета как функции времени. Если существует один числовой коэффициент внутри субъектов, plot использует значения этого фактора в качестве временных значений. В противном случае plot использует дискретные значения с 1 по r в качестве временных значений, где r - количество повторных измерений.

пример

plot(rm,Name,Value) также строит графики измерений в модели повторных измерений rm, с дополнительными опциями, заданными одним или несколькими Name,Value аргументы в виде пар.

Для примера можно задать коэффициенты для группировки или изменения цветов линий.

H = plot(___) возвращает указатели, H, в построенные линии.

Входные параметры

расширить все

Модель повторных измерений, возвращенная как RepeatedMeasuresModel объект.

Для свойств и методов этого объекта смотрите RepeatedMeasuresModel.

Аргументы в виде пар имя-значение

Задайте необязательные разделенные разделенными запятой парами Name,Value аргументы. Name - имя аргумента и Value - соответствующее значение. Name должны находиться внутри кавычек. Можно задать несколько аргументов в виде пар имен и значений в любом порядке Name1,Value1,...,NameN,ValueN.

Имя коэффициента или коэффициента между субъектами, заданное как разделенная разделенными запятой парами, состоящая из 'Group' и вектор символов, строковые массивы или массив ячеек из векторов символов. Этот аргумент пары "имя-значение" группирует линии в соответствии со значениями факторов.

Например, если у вас есть два фактора между субъектами, наркотики и пол, и вы хотите сгруппировать линии на графике по ним, можно задать эти факторы следующим образом.

Пример: 'Group',{'Drug','Sex'}

Типы данных: char | string | cell

Маркер, используемый для каждой группы, заданный как разделенная разделенными запятой парами, состоящая из 'Marker' и строковые массивы или массив ячеек из векторов символов.

Например, если у вас есть два фактора между субъектами, наркотики и пол, при этом каждая из них имеет две группы, можно задать o как маркер для групп лекарственного средства и x как маркер для групп пола следующим образом.

Пример: 'Marker',{'o','o','x','x'}

Типы данных: string | cell

Цвет для каждой группы, заданный как разделенная разделенными запятой парами, состоящая из 'Color' и вектор символов, строковые массивы, массив ячеек из векторов символов или строк трехколоночной матрицы.

Например, если у вас есть два фактора между субъектами, наркотики и пол, при этом каждая из них имеет две группы, можно задать красный цвет в качестве цвета для групп наркотиков и синий цвет в качестве цвета для групп пола следующим образом.

Пример: 'Color','rrbb'

Типы данных: single | double | char | string | cell

Стиль линии для каждой группы, заданный как разделенная разделенными запятой парами, состоящая из 'LineStyle' и строковые массивы или массив ячеек из векторов символов.

Например, если у вас есть два фактора между субъектами, наркотики и пол, при этом каждая из них имеет две группы, можно задать - как стиль линии одной группы и : как стиль линии для другой группы следующим образом.

Пример: 'LineStyle',{'-' ':' '-' ':'}

Типы данных: string | cell

Выходные аргументы

расширить все

Указатель на нанесенные на построенные линии, возвращенный как указатель.

Примеры

расширить все

Загрузите выборочные данные.

load fisheriris

Область вектора-столбца species состоит из цветков радужки трех различных видов: сетоза, версиколор и виргиника. Матрица с двойной meas состоит из четырех видов измерений на цветках: длина и ширина чашелистиков и лепестков в сантиметрах соответственно.

Сохраните данные в массиве таблиц.

t = table(species,meas(:,1),meas(:,2),meas(:,3),meas(:,4),...
'VariableNames',{'species','meas1','meas2','meas3','meas4'});
Meas = dataset([1 2 3 4]','VarNames',{'Measurements'});

Подгонка модели повторных измерений, где измерения являются откликами, а вид является переменной.

rm = fitrm(t,'meas1-meas4~species','WithinDesign',Meas);

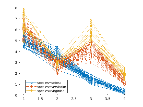
Постройте графики данных, сгруппированных по видам факторов.

plot(rm,'group','species')

Figure contains an axes. The axes contains 150 objects of type line. These objects represent species=setosa, species=versicolor, species=virginica.

Изменение стиля линии для каждой группы.

plot(rm,'group','species','LineStyle',{'-','--',':'})

Figure contains an axes. The axes contains 150 objects of type line. These objects represent species=setosa, species=versicolor, species=virginica.

Загрузите выборочные данные.

load repeatedmeas

Таблица between включает возраст переменных между субъектами, IQ, группу, пол и восемь повторных измерений y1 через y8 в качестве ответов. Таблица within включает переменные внутри субъекта w1 и w2. Это моделируемые данные.

Подбирайте модель повторных измерений, где повторные измерения y1 через y8 являются откликами, и возраст, IQ, группа, пол и взаимодействие группа-пол являются переменными предиктора. Также задайте матрицу проекта внутри субъекта.

rm = fitrm(between,'y1-y8 ~ Group*Gender + Age + IQ','WithinDesign',within);

Постройте график данных с Group кодируется цветом и Gender закодирован по типу линии.

plot(rm,'group',{'Group' 'Gender'},'Color','rrbbgg',...
              'LineStyle',{'-' ':' '-' ':' '-' ':'},'Marker','.')

Figure contains an axes. The axes contains 30 objects of type line. These objects represent Group=A, Gender=Female, Group=A, Gender=Male, Group=B, Gender=Female, Group=B, Gender=Male, Group=C, Gender=Female, Group=C, Gender=Male.

См. также

| |