exponenta event banner

mafdr

Оцените положительный ложный уровень открытия для нескольких тестирование гипотезы

Описание

пример

FDR = mafdr(PValues) возвращает FDR это содержит положительный ложный уровень открытия (pFDR) для каждой записи в PValues использование процедуры, введенной Ярусом (2002) [1]. PValues содержит одно p-значение для каждой функции (например, ген) в наборе данных.

пример

FDR = mafdr(PValues,Name,Value) дополнительные опции использования заданы одним или несколькими аргументами пары "имя-значение". Например, 'Showplot',true графики диагностики отображений расчетных результатов.

пример

[FDR,Q] = mafdr(PValues,___) также возвращается, гипотеза, тестирующая ошибку, измеряет Q для всех p-значений. Опционально, можно задать один или несколько аргументов пары "имя-значение".

пример

[FDR,Q,aPrioriProb] = mafdr(PValues,___) также возвращает aPrioriProb, предполагаемая априорная вероятность, что нулевая гипотеза π^0 верно.

пример

[FDR,Q,aPrioriProb,R_squared] = mafdr(PValues,'Method','polynomial',___) также возвращает R_squared, квадрат коэффициента корреляции. Используйте полиномиальный метод, чтобы получить значение R-squared.

Примеры

свернуть все

Оцените положительный ФРГ с помощью данных из исследования рака простаты (Лучше всего и др., 2005). Данные содержат тестовые данные об интенсивности из массивов Affymetrix® HG-U133A GeneChip®.

Загрузите данные об экспрессии гена. Это содержит две переменные, dependentData и independentData это - две матрицы значений экспрессии гена от двух экспериментальных условий.

load prostatecancerexpdata

Используйте mattest вычислить p-значения для значений экспрессии гена в этих двух матрицах.

pvalues = mattest(dependentData,independentData,'permute',true);

Используйте mafdr вычислить положительные значения ФРГ.

fdr = mafdr(pvalues);

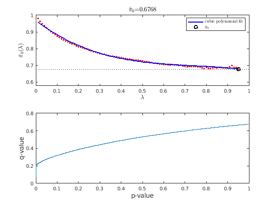
Вычислите q-значения, априорная вероятность (что нулевая гипотеза верна), и значение R-squared. Необходимо использовать полиномиальный метод, чтобы получить значение R-squared. Отобразите данные на графике установкой 'Showplot' to true.

[fdr,q,priori,R2] = mafdr(pvalues,'Method','polynomial','Showplot',true);

Figure contains 2 axes objects. Axes object 1 with title pi toThePowerOf circumflex baseline indexOf 0 baseline =0.6768 contains 4 objects of type line. These objects represent cubic polynomial fit, $\hat\pi_0$. Axes object 2 contains an object of type line.

Входные параметры

свернуть все

P-значения для всех функций в наборе данных в виде вектор-столбца или объекта DataMatrix. Можно использовать первый выход mattest функция.

Типы данных: double

Аргументы name-value

Задайте дополнительные разделенные запятой пары Name,Value аргументы. Name имя аргумента и Value соответствующее значение. Name должен появиться в кавычках. Вы можете задать несколько аргументов в виде пар имен и значений в любом порядке, например: Name1, Value1, ..., NameN, ValueN.

Пример: fdr = mafdr(pvals,'Lambda',0.5,'Showplot',true) задает настраивающееся значение параметров 0,5, чтобы оценить априорную вероятность и отображает качественные графики статистики.

Отметьте, чтобы использовать линейную процедуру повышения, введенную Benjamini и Hochberg (1995) [2] в виде разделенной запятой пары, состоящей из 'BHFDR' и true или false. Значением по умолчанию является false, то есть, функция использует процедуру, введенную Ярусом (2002) [1].

Если true:

  • Функция использует метод Benjamini и Hochberg.

  • Функция игнорирует 'Method' и 'Lambda' аргументы в виде пар имя-значение.

  • Задайте только один выходной аргумент, то есть, FDR.

  • Если вы также устанавливаете 'Showplot' к true, затем графики функций только q-значения по сравнению с p-значениями. Для получения дополнительной информации смотрите Showplot.

Пример: 'BHFDR'TRUE

Типы данных: логический

Настройка параметра раньше оценивала априорную вероятность, что нулевая гипотеза верна в виде разделенной запятой пары, состоящей из 'Lambda' и положительная скалярная величина или вектор с четырьмя или больше значениями. Скалярное значение или каждое значение в векторе должны быть между 0 и 1.

  • Если вы задаете одно значение, то функция игнорирует 'Method' аргумент пары "имя-значение".

  • Если вы задаете вектор из значений, то функция выбирает оптимальное значение с помощью метода, заданного 'Method' аргумент пары "имя-значение".

Пример: 'Lambda'[0.01:0.1:0.95]

Типы данных: double

Метод, чтобы выбрать значение Lambda из области значений значений в виде разделенной запятой пары, состоящей из 'Method' и 'bootstrap' или 'polynomial'.

Пример: 'Method','polynomial'

Типы данных: char | string

Отметьте, чтобы отобразить два диагностических графика в виде разделенной запятой пары, состоящей из 'Showplot' и true или false.

Если это правда, функция отображает два графика:

  • Предполагаемая априорная вероятность, что нулевая гипотеза π^0(λ) верно по сравнению с настраивающимся параметром (λ) с кривой подбора кривой кубического полинома

  • q-значения по сравнению с p-значениями

Если вы также устанавливаете 'BHFDR' к true, функция отображает только второй график.

Пример: 'Showplot',true

Типы данных: логический

Выходные аргументы

свернуть все

Положительные значения ФРГ, возвращенные как вектор или объект DataMatrix.

Если PValues вектор-столбец, затем FDR вектор-столбец.

Если PValues DataMatrix объект, затем FDR DataMatrix объект.

Q-значения, возвращенные как вектор-столбец. Q содержит меры гипотезы, тестирующей ошибку на все наблюдения в PValues.

Предполагаемая априорная вероятность, что нулевая гипотеза π^0 верно, возвращенный как положительная скалярная величина.

Квадрат коэффициента корреляции, возвращенного как положительная скалярная величина. Задайте 'Method' как 'polynomial' получить этот четвертый выход.

Ссылки

[1] Ярус, Джон Д. “Прямой Подход к Ложным Уровням Открытия”. Журнал Королевского Статистического Общества: Серии B (Статистическая Методология) 64, № 3 (август 2002): 479–98.

[2] Benjamini, Y. и Hochberg, Y. 1995. Управление ложным уровнем открытия: практический и мощный подход к нескольким тестирование. Закон Ж. Руаяля Soc. 57:289–300.

[3] Лучше всего, C.J.M., Гиллеспи, J.W., И, Y., Chandramouli, G.V.R., Perlmutter, M.A., Gathright, Y., Эриксон, H.S., Георгевич, L., Tangrea, M.A., Duray, P.H., Гонсалес, S., Веласко, A., Linehan, W.M., Matusik, R.J., Цена, D.K., Figg, W.D., Emmert-маркер, M.R., и Chuaqui, R.F. 2005. Молекулярные изменения при первичном раке простаты после терапии абляции андрогена. Clin. Рак Res. 11:6823–6831.

[4] Ярус, степень доктора юридических наук и Tibshirani, R. 2003. Статистическое значение для genomewide исследований. Proc. NAT. Acad. Наука 100:9440–9445.

[5] Ярус, степень доктора юридических наук, Тейлор, J.E., и Зигмунд, D. 2004. Сильное управление, консервативная точечная оценка и одновременная консервативная непротиворечивость ложных уровней открытия: объединенный подход. Закон Ж. Руаяля Soc. 66:187–205.

Смотрите также

| | | | | | | |

Представленный в R2007a