exponenta event banner

loglog

Постройте заданные параметры объекта схемы с помощью двойной логарифмической шкалы

Описание

пример

loglog(h,circuitPara) строит параметр схемы circuitPara от RFCKT или объекта данных RF h использование двойной логарифмической шкалы. Можно задать несколько параметров схемы в этом синтаксисе.

Примечание

Поскольку вся схема возражает кроме тех, которые содержат данные из файла данных, необходимо выполнить анализ частотного диапазона с analyze метод прежде, чем вызвать loglog.

loglog(h,circuitPara,dataFormat) отображает данные на графике RFCKT или объекта данных RF с помощью двойной логарифмической шкалы с заданным форматом данных.

пример

loglog(___,xAxisPara,xAxisFmt) строит параметры схемы circuitPara использование двойной логарифмической шкалы наряду с переменными xAxisPara и их соответствующий формат xAxisFmt. Задайте xAxisPara и xAxisFmt аргументы после любой из комбинаций входных аргументов в предыдущих синтаксисах.

loglog(___,opCon,opVal) строит параметры схемы с помощью двойной логарифмической шкалы с условиями работы opCon и операционные значения opVal для объекта h схемы.

Выведите условия работы для RFCKT или объекта данных RF h использование getop(h) команда

пример

loglog(___,Name,Value) отображает данные на графике RFCKT или объекта данных RF с аргументами name-value.

lineseries = loglog(___) возвращает серийный объект lineseries свойства линии. Этот выход совпадает с выходным параметром, возвращенным MATLAB® loglog функция.

Примеры

свернуть все

Создайте и анализируйте двухпроводный объект RFCKT линии электропередачи.

h = rfckt.twowire('Radius',7.5e-4);
freq = linspace(1e9,10e9,10);
analyze(h,freq);

Постройте S11 с помощью двойной логарифмической шкалы.

lineseries = loglog(h,'S11');

Измените цвет данных S11.

lineseries(1).Color = [0.4 0 1];

Figure contains an axes object. The axes object contains an object of type line. This object represents S_{11}.

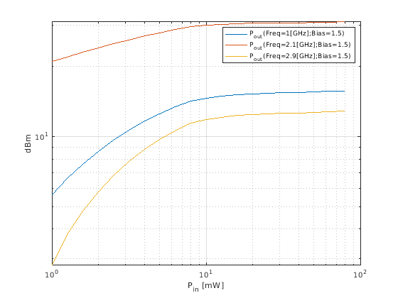
Создайте объект усилителя из заданного типа файла P2D.

h = read(rfckt.amplifier,'default.p2d');

Постройте выходную мощность усилителя.

loglog(h,'Pout')

Figure contains an axes object. The axes object contains 3 objects of type line. These objects represent P_{out}(Freq=1[GHz];Bias=1.5), P_{out}(Freq=2.1[GHz];Bias=1.5), P_{out}(Freq=2.9[GHz];Bias=1.5).

Постройте выходную мощность усилителя и установите формат для Pin в милливаттах.

loglog(h,'Pout','Pin','mW')

Figure contains an axes object. The axes object contains 3 objects of type line. These objects represent P_{out}(Freq=1[GHz];Bias=1.5), P_{out}(Freq=2.1[GHz];Bias=1.5), P_{out}(Freq=2.9[GHz];Bias=1.5).

Постройте выходную мощность усилителя в 2.4 GHz.

loglog(h,'Pout','Pin','mW','bias',1.5,'Freq',2.4e9)

Figure contains an axes object. The axes object contains an object of type line. This object represents P_{out}(Freq=2.4[GHz];Bias=1.5).

Входные параметры

свернуть все

RFCKT или объект данных RF в виде rfckt или rfdata объект.

Для полного списка RFCKT и объектов данных RF, смотрите Объекты Схемы RF и Объекты данных RF.

Формат данных, которые будут построены в виде вектора символов или строкового скаляра. Введите listformat(h,circuitPara) команда, чтобы видеть доступные форматы для заданного параметра.

Пример: lineseries = semilogy(h,'Pout','dBm')

Допустимый RFCKT или параметр объекта данных в виде вектора символов или строкового скаляра.

Используйте listparam(h) для списка допустимых параметров для схемы или объекта данных h.

Переменная оси X, чтобы построить параметрами схемы, circuitParaВ виде вектора символов или строкового скаляра.

Эта таблица показывает обычно используемый circuitPara и их соответствующий xAxisPara значения. Функция использует значения по умолчанию, перечисленные в таблице, если вы не задаете xAxisPara .

circuitPara ЗначениеxAxisPara Значение
Pout, Phase, LS11, LS12, LS21, LS22Pin (значение по умолчанию), Freq
S11, S12, S21, S22, NF, IIP3, OIP3, GroupDelay, VSWRIn, VSWROut, GammaIn, GammaOut, FMIN, GammaOPT, RN, TF1, TF2&gt, Ga, Gp, Gmag, Gmsg, GammaMS, GammaMLK\delta\mu, MuPrimeFreq
AM/AM, AM/PMAM

xAxisPara формат в виде вектора символов или строкового скаляра. Вы не должны задавать xAxisFmt когда xAxisPara условия работы.

Эта таблица показывает обычно используемый xAxisPara и их соответствующий xAxisFmt. Функция использует значения по умолчанию, перечисленные в таблице, если вы не задаете xAxisFmt .

xAxisPara ЗначениеxAxisFmt Значение
PindBm (значение по умолчанию), mWW, dBW
Freq

THz, GHz, MHz, KHz, Hz

По умолчанию, xAxisFmt выбран, чтобы обеспечить лучшее масштабирование для данного xAxisPara значения.

AMMagnitude (decibels) (значение по умолчанию), Magnitude (linear)

Пример: loglog(h,'Pout','Pin','mW') данные о графиках с помощью двойной логарифмической шкалы для объекта схемы, h, с xAxisPara установите на 'Pin' и xAxisFmt установите на 'mW'.

Условия работы выведены из P2D или файла S2D в виде строкового скаляра или вектора символов.

Для некоторых параметров схемы можно задать набор значений частоты или входной мощности в который графики функций заданный параметр.

Например:

  • При графическом выводе S-параметров больших сигнала в зависимости от входной мощности можно задать интересные места частоты с помощью opCon и opVal аргументы.

  • При графическом выводе S-параметров больших сигнала в зависимости от частоты можно задать уровни интереса входной мощности с помощью opCon и opVal аргументы.

  • При графическом выводе параметров в зависимости от условий работы можно задать и значения частоты и входной мощности с помощью opCon и opVal аргументы.

Введите getop(h) команда в командной строке, чтобы получить условия работы для объекта h схемы RF.

Значение условий работы, заданных с помощью opCon аргумент в виде скаляра.

Пример: loglog(h,'Pout','Pin','mW','bias',1.5) отображает данные на графике с помощью двойной логарифмической шкалы для объекта схемы, h, с opCon установите на 'bias' и value установите на 1.5.

Аргументы name-value

Задайте дополнительные разделенные запятой пары Name,Value аргументы. Name имя аргумента и Value соответствующее значение. Name должен появиться в кавычках. Вы можете задать несколько аргументов в виде пар имен и значений в любом порядке, например: Name1, Value1, ..., NameN, ValueN.

Пример: loglog(h,'Pout','Pin','mW','bias',1.5,'Freq',2.4)

Значение частоты раньше отображало данные на графике с помощью двойной логарифмической шкалы в виде разделенной запятой пары, состоящей из 'Freq' и положительная скалярная величина в Гц.

Уровень входной мощности раньше отображал данные на графике с помощью двойной логарифмической шкалы в виде разделенной запятой пары, состоящей из 'Pin' и скаляр в dBm.

Выходные аргументы

свернуть все

Объект Lineseries, возвращенный как вектор-столбец указателей на объект.

Советы

  • Используйте Property Editor ( propertyeditor ) или MATLAB set функционируйте, чтобы изменить Line Properties. Страницы с описанием для функций MATLAB такой как figure, axes, и text также перечислите доступные свойства и обеспечьте ссылки, чтобы больше завершить описания свойства.

    Примечание

    Используйте MATLAB loglog функция, чтобы создать график двойной логарифмической шкалы параметров, которые заданы как векторные данные и не являются частью схемы (rfckt ) объект или данные (rfdata объект.

  • Если h имеет несколько условий работы, такой как от .p2d или .s2d файл, loglog функция действует можно следующим образом:

    • Если вы не задаете условий работы в качестве аргументов к loglog метод, затем метод строит значения параметров на основе в настоящее время выбранных условий работы.

    • Если вы задаете одни или несколько условий работы, loglog метод строит значения параметров на основе тех условий работы.

    • Когда вы используете условия работы для xparameter входной параметр, метод строит параметры для всех значений условий работы.

Смотрите также

| | | | | | | | | | |

Представленный в R2007a