exponenta event banner

plot

Постройте параметры объекта схемы на плоскости X-Y

Описание

пример

plot(h,circuitPara) строит параметры схемы, заданные в circuitPara от RFCKT или объекта данных RF h на плоскости X-Y в формате по умолчанию. Можно задать один или несколько параметров схемы в circuitPara.

пример

plot(h,circuitPara,xAxisPara,xAxisFmt) строит параметры схемы на плоскости X-Y наряду с переменными xAxisPara и их соответствующий формат xAxisFmt.

Выведите xAxisPara и xAxisFmt для RFCKT или объекта данных RF h использование listparam(h) и listformat(h,'xAxisPara') команды, соответственно.

пример

plot(h,circuitPara,xAxisPara,xAxisFmt,opCon,opVal) строит параметры схемы на плоскости X-Y с условиями работы opCon и операционные значения opVal.

Выведите условия работы для RFCKT или объекта данных RF h использование getop(h) команда.

пример

plot(___,Name,Value) строит параметры схемы с аргументами name-value. Задайте аргумент значения имени после любой из комбинаций входных аргументов в предыдущих синтаксисах.

plot(h,'budget',___) отображает бюджетные данные на графике по плоскости X-Y от rfckt.cascade объект h. Задайте любую из комбинаций входных аргументов в предыдущих синтаксисах после 'budget' .

пример

plot(h,'mixerspur',k,pin,fin) строит цилиндрическую степень rfckt.mixer объект или rfckt.cascade объект h это содержит один или несколько микшеров. Для получения дополнительной информации о графическом выводе степени шпоры микшера смотрите Визуализировать пример Шпор Микшера.

Примечание

Поскольку вся схема возражает кроме тех, которые содержат данные из файла данных, необходимо выполнить анализ частотного диапазона с analyze функция прежде, чем вызвать plot.

plot(___,format) отображает данные на графике в заданном format.

пример

lineseries = plot(___) возвращает вектор-столбец указателей на lineseries объекты с одним указателем на строку. Этот выход совпадает с выходным параметром, возвращенным MATLAB® plot функция.

Примеры

свернуть все

Создайте объект усилителя RFCKT.

 amp = rfckt.amplifier;

Постройте S11 и параметры S12 на плоскости X-Y.

 plot(amp,'S11','S21')

Figure contains an axes object. The axes object contains 2 objects of type line. These objects represent S_{11}, S_{21}.

Создайте объект усилителя из файла P2D.

ckt1 = read(rfckt.amplifier,'default.p2d');

Постройте выходную мощность усилителя в плоскости X-Y.

plot(ckt1,'Pout','Freq','GHz')

Figure contains an axes object. The axes object contains 3 objects of type line. These objects represent P_{out}(P_{in}=0[dBm];Bias=1.5), P_{out}(P_{in}=9.52872[dBm];Bias=1.5), P_{out}(P_{in}=19[dBm];Bias=1.5).

Создайте объект усилителя из файла P2D.

ckt1 = read(rfckt.amplifier,'default.p2d');

Постройте выходную мощность усилителя с набором смещения к 1.5 v.

plot(ckt1,'Pout','Freq','GHz','bias',1.5)

Figure contains an axes object. The axes object contains 3 objects of type line. These objects represent P_{out}(P_{in}=0[dBm];Bias=1.5), P_{out}(P_{in}=9.52872[dBm];Bias=1.5), P_{out}(P_{in}=19[dBm];Bias=1.5).

Создайте объект усилителя из файла P2D.

ckt1 = read(rfckt.amplifier, 'default.p2d');

Постройте выходную мощность усилителя, когда входной мощностью будет 18 dBm.

plot(ckt1,'Pout','Freq','GHz','bias',1.5,'Pin',18)

Figure contains an axes object. The axes object contains an object of type line. This object represents P_{out}(P_{in}=18[dBm];Bias=1.5).

Создайте два усилителя путем определения rfdata.network возразите как вход против rfckt.amplifier объект.

ai1 = rfckt.amplifier('NetworkData', ...
    rfdata.network('Type','S','Freq',2.1e9,'Data',[0,0;3.98,0]), ...
    'NoiseData',2,'NonlinearData',35);
ai2 = rfckt.amplifier('NetworkData', ...
    rfdata.network('Type','S','Freq',2.1e9,'Data',[0,0;31.66,0]), ...
    'NoiseData',8,'NonlinearData',37);

Создайте микрополосковую линию электропередачи с rfckt.microstrip объект.

tx1 = rfckt.microstrip('Thickness',0.0075e-6);

Расположите каскадом схему с помощью rfckt.cascade объект.

c = rfckt.cascade('Ckts',{ai1 ai2 tx1});

Анализируйте каскадную схему и постройте 3-D график S11 и S21.

analyze(c,linspace(2.08e9,2.12e9,100));
plot(c,'budget','S11','S21','Freq','GHz')

Figure contains an axes object. The axes object contains 2 objects of type line. These objects represent S_{11}, S_{21}.

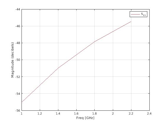
Создайте rfckt.microstrip объект.

tx1 = rfckt.microstrip;

Анализируйте и постройте параметр S11 микрополосковой линии электропередачи от 1 - 2.4 ГГц

analyze(tx1,1e9:0.4e9:2.4e9);
lineseries = plot(tx1,'S11')
lineseries = 
  Line (S_{11}) with properties:

              Color: [0 0.4470 0.7410]
          LineStyle: '-'
          LineWidth: 0.5000
             Marker: 'none'
         MarkerSize: 6
    MarkerFaceColor: 'none'
              XData: [1 1.4000 1.8000 2.2000]
              YData: [-55.0369 -50.9945 -47.8763 -45.4391]
              ZData: [1x0 double]

  Show all properties

Измените цвет графика S11.

set(lineseries,'Color',[0.7 0.3 0.35])

Figure contains an axes object. The axes object contains an object of type line. This object represents S_{11}.

Входные параметры

свернуть все

Схема RF или объект данных в виде RFCKT или объект данных RF. Для полного списка RFCKT и объектов данных RF, смотрите Объекты Схемы RF и Объекты данных RF, соответственно.

Типы данных: char | string

Допустимые параметры схемы RFCKT или объекта данных RF в виде вектора символов или строкового скаляра.

Используйте listparam(h) для списка допустимых параметров для схемы или объекта данных h. Можно также использовать listformat(h,parameter) видеть допустимые форматы для определенного параметра. Для получения дополнительной информации смотрите listparam.

Независимая переменная, чтобы построить параметрами схемы circuitPara, значения, заданные в данной таблице. Эта таблица показывает circuitPara и их соответствующий xAxisPara значения. Функция использует значения по умолчанию, перечисленные в таблице, если вы не задаете xAxisPara.

circuitPara ЗначениеxAxisPara Значение
Pout, Phase, LS11, LS12, LS21, LS22Pin (значение по умолчанию), Freq
S11, S12, S21, S22, NF, IIP3, OIP3, GroupDelay, VSWRIn, VSWROut, GammaIn, GammaOut, FMIN, GammaOPT, RN, TF1, TF2&gt, Ga, Gp, Gmag, Gmsg, GammaMS, GammaMLK\delta\mu, MuPrimeFreq
AM/AM, AM/PMAM

xAxisPara формат в виде вектора символов или строкового скаляра. Вы не должны задавать xAxisFmt когда xAxisPara условия работы.

Эта таблица показывает обычно используемый xAxisPara значения и их соответствующий xAxisFmt значения. Функция использует значения по умолчанию, перечисленные в таблице, если вы не задаете xAxisFmt .

xAxisPara ЗначениеxAxisFmt Значение
PindBm (значение по умолчанию), mWW, dBW
Freq

THz, GHz, MHz, KHz, Hz

Если вы не задаете xAxisFmt, функция выбирает xAxisFmt значение, которое обеспечивает лучшее масштабирование для данного xAxisPara значение.

AMMagnitude (decibels) (значение по умолчанию), Magnitude (linear)

Пример: plot(h,'Pout','Pin','mW') отображает данные на графике по плоскости X-Y для объекта h схемы с xAxisPara установите на 'Pin' и xAxisFmt установите на 'mW'.

Условия работы выведены из P2D или файла S2D в виде строкового скаляра или вектора символов.

Для некоторых параметров схемы можно задать набор значений частоты или входной мощности в который графики функций заданный параметр.

Например:

  • При графическом выводе S-параметров больших сигнала в зависимости от входной мощности можно задать интересные места частоты с помощью opCon и opVal аргументы.

  • При графическом выводе S-параметров больших сигнала в зависимости от частоты можно задать уровни интереса входной мощности с помощью opCon и opVal аргументы.

  • При графическом выводе параметров в зависимости от условий работы можно задать и значения частоты и входной мощности с помощью opCon и opVal аргументы.

Введите getop(h) команда в командной строке, чтобы получить условия работы для объекта h схемы RF.

Значение условий работы в opCon аргумент в виде скаляра.

Пример: plot(h,'Pout','Pin','mW','bias',1.5) отображает данные на графике по плоскости X-Y для объекта h схемы с opCon установите на 'bias' и value установите на 1.5.

Бюджетный параметр rfckt.cascade объект в виде бюджетного указателя объекта параметра.

Следующая таблица обобщает параметры и форматы, которые доступны для бюджетного графика.

Параметр

Формат

S11, S12, S21, S22, Sij

Величина (децибелы)
 (Линейная) величина
Угол (степени)
Действительный
Мнимый

OIP3

dBm
dBW
W
mW

NF

Величина (децибелы)
 (Линейная) величина

Формат данных в виде строкового скаляра или вектора символов. Формат определяет, преобразует ли RF Toolbox™ значения параметров в новый набор модулей или работает с компонентами комплексных значений параметров. Например:

  • Определение формата как 'Real' построить действительную часть параметра схемы.

  • Определение формата как 'None' построить неизменные значения параметров.

Используйте listformat функция, чтобы получить список допустимых форматов для конкретного параметра.

Индекс схемы возражает, чтобы построить цилиндрическую степень в виде целого числа или 'all'. Это значение создает бюджетный график цилиндрической степени для h. Используйте 0 построить степень во входе h.

Аргументы name-value

Задайте дополнительные разделенные запятой пары Name,Value аргументы. Name имя аргумента и Value соответствующее значение. Name должен появиться в кавычках. Вы можете задать несколько аргументов в виде пар имен и значений в любом порядке, например: Name1, Value1, ..., NameN, ValueN.

Пример: plot(h,'Pout','Pin','Freq',2.1e9)

Частота в виде положительной скалярной величины в Гц.

Уровень входной мощности в виде положительной скалярной величины в dBm.

Введите значение частоты в виде положительной скалярной величины в Гц, чтобы построить цилиндрическую степень. Значение по умолчанию fin варьируется на основе h.

  • Если h rfckt.mixer объект, значение по умолчанию fin входная частота, на которой величина параметра S21 микшера, в децибелах, является самой высокой.

  • Если h rfckt.cascde объект, значение по умолчанию fin входная частота, на которой величина параметра S21 первого микшера в каскаде является самой высокой.

Примечание

Когда вы создаете цилиндрический график для объекта, предыдущее входное значение частоты используется для последующих графиков, пока вы не задаете различное значение.

Выходные аргументы

свернуть все

lineseries объект, возвращенный как вектор-столбец указателей на объект.

Советы

  • Используйте Property Editor (propertyeditor) или MATLAB set функционируйте, чтобы изменить Line Properties. Для получения дополнительной информации и полное описание свойств объектов, смотрите figure, axes, и text.

  • Используйте MATLAB plot функционируйте, чтобы построить сетевые параметры, заданные как векторные данные и не как часть схемы (rfckt) объект или данные (rfdataобъект.

Альтернативы

rfplotФункция создает частотные графики величины для S-объектов-параметра RF Toolbox.

Представлено до R2006a