Дополнительная функция чувствительности из обобщенной модели системы управления
возвращает дополнительную чувствительность, измеренную в заданном местоположении для обобщенной модели системы управления.T
= getCompSensitivity(CL
,location
)
задает дополнительные открытия цикла для дополнительного вычисления функции чувствительности. Используйте открытие, например, чтобы вычислить дополнительную функцию чувствительности внутреннего цикла, с открытым внешним контуром.T
= getCompSensitivity(CL
,location
,opening
)
Если opening
и location
перечислите ту же точку, программное обеспечение открывает цикл после добавления сигнала воздействия в точке.
Вычислите дополнительную чувствительность на объекте выход, X
, из системы управления следующим рисунком.
Создайте модель системы путем определения и соединения числовой модели объекта управления LTI G
, настраиваемый контроллер C
, и AnalysisPoint
блок X
. Используйте AnalysisPoint
блокируйтесь, чтобы отметить местоположение, где вы оцениваете дополнительную чувствительность, которая в этом примере является объектом выход.
G = tf([1],[1 5]); C = tunablePID('C','p'); C.Kp.Value = 3; X = AnalysisPoint('X'); CL = feedback(G*C,X);
CL
genss
модель, которая представляет ответ с обратной связью системы управления от r до y. Исследуйте Блоки Системы управления модели.
CL.Blocks
ans = struct with fields:
C: [1x1 tunablePID]
X: [1x1 AnalysisPoint]
Блоки модели включают AnalysisPoint
блок, X
, это идентифицирует местоположение аналитической точки.
Вычислите дополнительную чувствительность, T, в X
.
T = getCompSensitivity(CL,'X')
T = Generalized continuous-time state-space model with 1 outputs, 1 inputs, 1 states, and the following blocks: C: Tunable PID controller, 1 occurrences. X: Analysis point, 1 channels, 1 occurrences. Type "ss(T)" to see the current value, "get(T)" to see all properties, and "T.Blocks" to interact with the blocks.
getCompSensitivity
сохраняет Блоки Системы управления CL
, и возвращает genss
модель. Чтобы получить числовую модель, можно преобразовать T
к форме передаточной функции, с помощью текущего значения настраиваемого блока.
Tnum = tf(T)
Tnum = From input "X" to output "X": -3 ----- s + 8 Continuous-time transfer function.
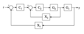
В многоконтурной системе следующего рисунка вычислите чувствительность внутреннего цикла при выходе G2
, с открытым внешним контуром.
Создайте модель системы путем определения и соединения числовых моделей объекта управления, настраиваемых контроллеров и AnalysisPoint
блоки. G1
и G2
модели объекта управления, C1
и C2
настраиваемые контроллеры и X1
и X2
AnalysisPoint
блоки, которые отмечают потенциальные открывающие цикл местоположения.
G1 = tf(10,[1 10]); G2 = tf([1 2],[1 0.2 10]); C1 = tunablePID('C','pi'); C2 = tunableGain('G',1); X1 = AnalysisPoint('X1'); X2 = AnalysisPoint('X2'); CL = feedback(G1*feedback(G2*C2,X2)*C1,X1);
Вычислите дополнительную чувствительность, , в X2
, с внешним контуром открываются в X1
. Определение X1
когда третий входной параметр говорит getCompSensitivity
открыть цикл в том местоположении.
T = getCompSensitivity(CL,'X2','X1'); tf(T)
ans = From input "X2" to output "X2": -s - 2 ---------------- s^2 + 1.2 s + 12 Continuous-time transfer function.
CL
— Модель системы управленияМодель системы управления в виде обобщенной модели в пространстве состояний (genss
).
Местоположения, в которых можно выполнить анализ чувствительности или разомкнутые контуры, отмечены AnalysisPoint
блоки в CL
. Используйте getPoints(CL)
получить список таких местоположений.
location
местоположение Местоположение, в котором вы вычисляете дополнительную функцию чувствительности в виде вектора символов или массива ячеек из символьных векторов. Чтобы извлечь дополнительную функцию чувствительности в нескольких местоположениях, используйте массив ячеек из символьных векторов.
Каждое заданное местоположение должно совпадать с аналитической точкой в CL
. Аналитические точки отмечены с помощью AnalysisPoint
блоки. Получить список доступного анализа указывает в CL
, используйте getPoints(CL)
.
Пример: 'u'
или {'u','y'}
opening
— Дополнительное открытие циклаДополнительное открытие цикла раньше вычисляло дополнительную функцию чувствительности в виде вектора символов или массива ячеек из символьных векторов. Чтобы открыть цикл в нескольких местоположениях, используйте массив ячеек из символьных векторов.
Каждое заданное открытие должно совпадать с аналитической точкой в CL
. Аналитические точки отмечены с помощью AnalysisPoint
блоки. Получить список доступного анализа указывает в CL
, используйте getPoints(CL)
.
Используйте открытие, например, чтобы вычислить дополнительную функцию чувствительности внутреннего цикла, с открытым внешним контуром.
Если opening
и location
перечислите ту же точку, программное обеспечение открывает цикл после добавления сигнала воздействия в точке.
Пример: 'y_outer'
или {'y_outer','y_outer2'}
T
— Дополнительная функция чувствительностиДополнительная функция чувствительности системы управления, T
, измеренный в location
, возвращенный как обобщенная модель в пространстве состояний (genss
).
Если location
задает одну аналитическую точку, затем T
SISO genss
модель.
Если location
векторный сигнал или задает несколько аналитических точек, затем T
MIMO genss
модель.
complementary sensitivity function, T, в точке являются передаточной функцией с обратной связью вокруг обратной связи, измеренной в заданном местоположении. Это связано с передаточной функцией разомкнутого контура, L, и функцией чувствительности, S, в той же точке можно следующим образом:
Использование getLoopTransfer
и getSensitivity
вычислить L и S.
Рассмотрите следующую модель:
Дополнительная чувствительность, T, в y
задан как передаточная функция от dy
к y
.
Заметьте что, в отличие от функции чувствительности, воздействия, dy
, добавляется после измерения, y
.
Здесь, I является единичной матрицей одного размера с G K. Дополнительная передаточная функция чувствительности в y
равно -1
времена передаточная функция с обратной связью от r
к y
.
Дополнительная чувствительность в нескольких местоположениях, например, u
и y
, задан как передаточная функция MIMO от воздействий до измерений:
getPoints
| AnalysisPoint
| genss
| getLoopTransfer
| systune
| getIOTransfer
(Simulink Control Design) | getSensitivity
| getValue
| getCompSensitivity
(Simulink Control Design)
У вас есть модифицированная версия этого примера. Вы хотите открыть этот пример со своими редактированиями?
Вы щелкнули по ссылке, которая соответствует команде MATLAB:
Выполните эту команду, введя её в командном окне MATLAB.
1. Если смысл перевода понятен, то лучше оставьте как есть и не придирайтесь к словам, синонимам и тому подобному. О вкусах не спорим.
2. Не дополняйте перевод комментариями “от себя”. В исправлении не должно появляться дополнительных смыслов и комментариев, отсутствующих в оригинале. Такие правки не получится интегрировать в алгоритме автоматического перевода.
3. Сохраняйте структуру оригинального текста - например, не разбивайте одно предложение на два.
4. Не имеет смысла однотипное исправление перевода какого-то термина во всех предложениях. Исправляйте только в одном месте. Когда Вашу правку одобрят, это исправление будет алгоритмически распространено и на другие части документации.
5. По иным вопросам, например если надо исправить заблокированное для перевода слово, обратитесь к редакторам через форму технической поддержки.