exponenta event banner

plot

Постройте cfit или sfit объект

Описание

Примечание

Эти синтаксисы доступны для поверхностей или sfit объекты.

plot(sfit) строит sfit возразите в области значений текущей системы координат, если таковые имеются, или в противном случае в области значений, сохраненной в подгонке.

plot(sfit, [x, y], z) графики z по сравнению с X и Y и графиками sfit в области значений X и Y.

H = plot(sfit, ..., Name,Value) выбирает который способ построить поверхностный подходящий объект sfit.

H = plot(sfit, ...) возвращает вектор из указателей нанесенных на график объектов.

пример

Примечание

Эти синтаксисы доступны для кривых или cfit объекты.

plot(cfit) строит cfit возразите по области текущей системы координат, если таковые имеются. Если нет никакой текущей системы координат и fun выход от fit функция, график по области подходящих данных.

plot(cfit,x,y) графики cfit вместе с данными о предикторе x и данные об ответе y.

plot(cfit,x,y,DataLineSpec) строит предиктор и данные об ответе с помощью цвета, символа маркера и стиля линии, заданного DataLineSpec параметры форматирования.

plot(cfit,FitLineSpec,x,y,DataLineSpec) графики fun с помощью цвета символ маркера и стиль линии заданы FitLineSpec параметры форматирования и графики x и y с помощью цвета символ маркера и стиль линии заданы DataLineSpec параметры форматирования.

plot(cfit,x,y,outliers) отображает на графике данные, обозначенные outliers в различном цвете. outliers может быть выражение, описывающее логический вектор, например, x > 10, вектор из целых чисел, индексирующих точки, вы хотите исключить, например, [1 10 25], или логический массив, где true представляет выброс. Можно создать массив с excludedata.

plot(cfit,x,y,outliers,OutlierLineSpec) графики outliers с помощью цвета символ маркера и стиль линии заданы OutlierLineSpec.

plot(...,ptype,...) использует тип графика, заданный ptype.

plot(...,ptype,level) интервалы предсказания графиков с доверительным уровнем, заданным level.

Примечание

Этот синтаксис доступен и для кривых и для поверхностей.

Типы графика могут быть одним или несколько с несколькими типами графика, заданными как массив ячеек из символьных векторов или массив строк. С одним типом графика, plot чертит к текущей системе координат и может использоваться с командами как hold и subplot. С несколькими типами графика, plot создает подграфики для каждого типа графика.

H = plot(...) возвращает вектор из указателей на нанесенные на график объекты.

Примеры

свернуть все

В этом примере показано, как отобразить на графике данные, выбросы, и результаты трех подгонок возражают с различными цветами и стилями линии.

Создайте базовый синусоидальный сигнал.

xdata = (0:0.1:2*pi)'; 
y0 = sin(xdata);

Добавьте шум в сигнал с непостоянным отклонением.

% Response-dependent Gaussian noise
gnoise = y0.*randn(size(y0));

% Salt-and-pepper noise
spnoise = zeros(size(y0)); 
p = randperm(length(y0));
sppoints = p(1:round(length(p)/5));
spnoise(sppoints) = 5*sign(y0(sppoints));

ydata = y0 + gnoise + spnoise;

Соответствуйте зашумленным данным базовой синусоидальной моделью.

f = fittype('a*sin(b*x)'); 
fit1 = fit(xdata,ydata,f,'StartPoint',[1 1]);

Идентифицируйте “выбросы” как точки на расстоянии, больше, чем 1,5 стандартных отклонения от базовой модели, и переоборудуйте данные исключенными выбросами.

fdata = feval(fit1,xdata); 
I = abs(fdata - ydata) > 1.5*std(ydata); 
outliers = excludedata(xdata,ydata,'indices',I);

fit2 = fit(xdata,ydata,f,'StartPoint',[1 1],...
           'Exclude',outliers);

Сравните эффект исключения выбросов с эффектом предоставления их понижают bisquare вес в устойчивой подгонке.

fit3 = fit(xdata,ydata,f,'StartPoint',[1 1],'Robust','on');

Отобразите на графике данные, выбросы и результаты подгонок.

plot(fit1,'r-',xdata,ydata,'k.',outliers,'m*') 
hold on
plot(fit2,'c--')
plot(fit3,'b:')
xlim([0 2*pi])

Figure contains an axes object. The axes object contains 5 objects of type line. These objects represent data, excluded data, fitted curve.

Постройте остаточные значения для двух подгонок, рассмотрев выбросы.

figure 
plot(fit2,xdata,ydata,'co','residuals') 
hold on
plot(fit3,xdata,ydata,'bx','residuals')
hold off

Figure contains an axes object. The axes object contains 4 objects of type line. These objects represent data, zero line.

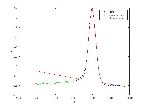
Загрузите данные и соответствуйте Гауссову, исключая некоторые данные с выражением, затем постройте подгонку, данные и исключенные точки.

[x, y] = titanium;
f1 = fit(x',y','gauss2', 'Exclude', x<800);
plot(f1,x,y,x<800)

Figure contains an axes object. The axes object contains 3 objects of type line. These objects represent data, excluded data, fitted curve.

Входные параметры

свернуть все

Подходящий объект построить в виде sfit объект.

Данные, чтобы построить в виде матрицы или с одной (аппроксимирование кривыми) или с два (подбор кривой поверхности) столбцы.

Данные, чтобы построить в виде матрицы или с одной (аппроксимирование кривыми) или с два (подбор кривой поверхности) столбцы.

Данные, чтобы построить в виде матрицы или с одной (аппроксимирование кривыми) или с два (подбор кривой поверхности) столбцы.

Подходящий объект построить в виде cfit объект.

  • Выражение, описывающее логический вектор, например, x > 10.

  • Вектор из целых чисел, индексирующих точки, вы хотите исключить, например, [1 10 25].

  • Логический вектор для всех точек данных, где true представляет выброс, созданный excludedata.

Для примера смотрите, Исключают Точки из Подгонки.

Типы данных: логический | double

Стиль линии, маркер и цвет раньше отображали данные о предикторе на графике x и данные об ответе y в виде вектора символов или строкового скаляра, содержащего символы. Символы могут появиться в любом порядке. Вы не должны задавать все три характеристики (стиль линии, маркер и цвет). Например, если вы не используете стиль линии и задаете маркер, затем график показывает только маркер и никакую линию.

Пример: '--or' красная пунктирная линия с круговыми маркерами

Стиль линииОписание
-Сплошная линия (значение по умолчанию)
--Пунктирная линия
:Пунктирная линия
-.Штрихпунктирная линия
МаркерОписание
oКруг
+Знак «плюс»
*Звездочка
.Точка
xКрест
sКвадрат
dРомб
^Треугольник, направленный вверх
vНисходящий треугольник
>Треугольник, указывающий вправо
<Треугольник, указывающий влево
pПентаграмма
hГексаграмма
ЦветОписание

y

желтый

m

пурпурный

c

голубой

r

красный

g

зеленый

b

синий

w

белый

k

черный

Стиль линии, маркер и цвет раньше строили функцию cfit в виде вектора символов или строкового скаляра, содержащего символы. Символы могут появиться в любом порядке. Вы не должны задавать все три характеристики (стиль линии, маркер и цвет). Например, если вы не используете стиль линии и задаете маркер, затем график показывает только маркер и никакую линию.

Пример: '--or' красная пунктирная линия с круговыми маркерами

Стиль линииОписание
-Сплошная линия (значение по умолчанию)
--Пунктирная линия
:Пунктирная линия
-.Штрихпунктирная линия
МаркерОписание
oКруг
+Знак «плюс»
*Звездочка
.Точка
xКрест
sКвадрат
dРомб
^Треугольник, направленный вверх
vНисходящий треугольник
>Треугольник, указывающий вправо
<Треугольник, указывающий влево
pПентаграмма
hГексаграмма
ЦветОписание

y

желтый

m

пурпурный

c

голубой

r

красный

g

зеленый

b

синий

w

белый

k

черный

Стиль линии, маркер и цвет раньше строили outliers в виде вектора символов или строкового скаляра, содержащего символы. Символы могут появиться в любом порядке. Вы не должны задавать все три характеристики (стиль линии, маркер и цвет). Например, если вы не используете стиль линии и задаете маркер, затем график показывает только маркер и никакую линию.

Пример: '--or' красная пунктирная линия с круговыми маркерами

Стиль линииОписание
-Сплошная линия (значение по умолчанию)
--Пунктирная линия
:Пунктирная линия
-.Штрихпунктирная линия
МаркерОписание
oКруг
+Знак «плюс»
*Звездочка
.Точка
xКрест
sКвадрат
dРомб
^Треугольник, направленный вверх
vНисходящий треугольник
>Треугольник, указывающий вправо
<Треугольник, указывающий влево
pПентаграмма
hГексаграмма
ЦветОписание

y

желтый

m

пурпурный

c

голубой

r

красный

g

зеленый

b

синий

w

белый

k

черный

Постройте тип в виде одного из этих поддерживаемых типов:

  • 'fit' — Данные и подгонка (значение по умолчанию)

  • 'predfunc' — Данные и подгонка с предсказанием ограничивают для подгонки

  • 'predobs' — Данные и подгонка с предсказанием ограничивают для новых наблюдений

  • 'residuals' — Остаточные значения

  • 'stresiduals' — Стандартизированные остаточные значения (остаточные значения, разделенные на их стандартное отклонение)

  • 'deriv1' — Первая производная сглаженной функции

  • 'deriv2' — Вторая производная сглаженной функции

  • 'integral' — Интеграл подгонки

Уровень доверия интервалов предсказания в виде скаляра между 0 и 1.

Аргументы name-value

Задайте дополнительные разделенные запятой пары Name,Value аргументы. Name имя аргумента и Value соответствующее значение. Name должен появиться в кавычках. Вы можете задать несколько аргументов в виде пар имен и значений в любом порядке, например: Name1, Value1, ..., NameN, ValueN.

Пример: 'Exclude',[1 10 25],'Level',0.95

Исключенные точки данных, чтобы построить в различном цвете в виде разделенной запятой пары, состоящей из 'Exclude' и один из:

  • Выражение, описывающее логический вектор, например, x > 10.

  • Вектор из целых чисел, индексирующих точки, вы хотите исключить, например, [1 10 25].

  • Логический вектор для всех точек данных, где true представляет выброс, созданный excludedata.

Для примера смотрите, Исключают Точки из Подгонки.

Типы данных: логический | double

Способ построить поверхностный подходящий объект sfitВ виде разделенной запятой пары, состоящей из 'Style' и один из:

  • 'Surface' Постройте подходящий объект как поверхность (значение по умолчанию)

  • 'PredFunc' Поверхность с предсказанием ограничивает для функции

  • 'PredObs' Поверхность с предсказанием ограничивает для нового наблюдения

  • 'Residuals' Постройте остаточные значения (подгонкой является плоский Z=0),

  • 'Contour' Сделайте контурный график поверхности

Доверительный уровень, используемый в графике в виде разделенной запятой пары, состоящей из 'Level' и положительная скалярная величина меньше чем 1. Значением по умолчанию является 0.95, для 95%-го доверия. Эта опция только применяется к 'PredFunc' и 'PredObs' стили графика.

Пределы x - ось, используемая для графика в виде разделенной запятой пары, состоящей из 'XLim' и скаляр или вектор. По умолчанию пределы осей взяты из данных, XY. Если никакие данные не даны, то пределы взяты из поверхностного подходящего объекта, sfit.

Пределы y - ось, используемая для графика в виде разделенной запятой пары, состоящей из 'YLim' и скаляр или вектор. По умолчанию пределы осей взяты из данных, XY. Если никакие данные не даны, то пределы взяты из поверхностного подходящего объекта, sfit.

Указатель осей в виде разделенной запятой пары, состоящей из 'Parent' и значение.

Выходные аргументы

свернуть все

Вектор из указателей на нанесенные на график объекты, возвращенные как объектный массив.

Смотрите также

Приложения

Функции

Представлено до R2006a