[p,q] = boundary(pd) возвращает граничные точки между сегментами в pd, кусочное распределение. p вектор из интегральных вероятностей на контурах и q вектор из соответствующих квантилей.
[p,q] = boundary(pd,j) возвращает граничные значения jконтур th.
Сгенерируйте набор выборочных данных и создайте paretotails объект путем подбора кривой кусочному распределению хвостами Парето к сгенерированным данным. Найдите граничные точки между сегментами в paretotails объект при помощи объектного функционального boundary.
Сгенерируйте набор выборочных данных, содержащий 20% выбросов.
rng('default'); % For reproducibility
left_tail = -exprnd(1,100,1);
right_tail = exprnd(5,100,1);
center = randn(800,1);
x = [left_tail;center;right_tail];
Создайте paretotails объект путем подбора кривой кусочному распределению к x. Задайте контуры хвостов с помощью более низких и верхних интегральных вероятностей хвоста так, чтобы подходящий объект состоял из эмпирического распределения для средних 80% набора данных и обобщил распределения Парето (GPDs) для более низких и верхних 10% набора данных.
pd = paretotails(x,0.1,0.9)
pd =
Piecewise distribution with 3 segments
-Inf < x < -1.33251 (0 < p < 0.1): lower tail, GPD(-0.0063504,0.567017)
-1.33251 < x < 1.80149 (0.1 < p < 0.9): interpolated empirical cdf
1.80149 < x < Inf (0.9 < p < 1): upper tail, GPD(0.24874,3.00974)
Возвратите граничные значения между кусочными сегментами при помощи boundary функция.
[p,q] = boundary(pd)
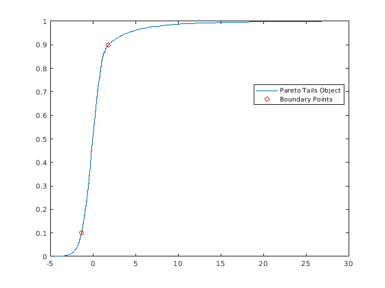
p = 2×1
0.1000
0.9000
q = 2×1
-1.3325
1.8015
Значения в p интегральные вероятности на контурах и значения в q соответствующие квантили.
Постройте cdf paretotails возразите и отметьте граничные точки на фигуре.
xi = sort(x);
plot(xi,cdf(pd,xi))
hold on
plot(q,p,'ro')
legend('Pareto Tails Object','Boundary Points','Location','best')
hold off
1. Если смысл перевода понятен, то лучше оставьте как есть и не придирайтесь к словам, синонимам и тому подобному. О вкусах не спорим.
2. Не дополняйте перевод комментариями “от себя”. В исправлении не должно появляться дополнительных смыслов и комментариев, отсутствующих в оригинале. Такие правки не получится интегрировать в алгоритме автоматического перевода.
3. Сохраняйте структуру оригинального текста - например, не разбивайте одно предложение на два.
4. Не имеет смысла однотипное исправление перевода какого-то термина во всех предложениях. Исправляйте только в одном месте. Когда Вашу правку одобрят, это исправление будет алгоритмически распространено и на другие части документации.
5. По иным вопросам, например если надо исправить заблокированное для перевода слово, обратитесь к редакторам через форму технической поддержки.