Создайте непрерывный банк фильтра преобразований вейвлета. Установите частоту дискретизации на 1 000 Гц и пределы частоты лежать в диапазоне от 50 Гц до 200 Гц. Постройте частотную характеристику.
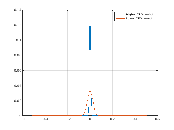
Получите вейвлеты временного интервала набора фильтров. Постройте величины первых и последних вейвлетов, содержавшихся в выходе. Первый вейвлет соответствует фильтру вейвлета с центральной частотой, равной 200 Гц, и последний вейвлет соответствует фильтру вейвлета с центральной частотой, равной 50 Гц.
[psi,t] = wavelets(fb);
figure
plot(t,abs(psi(1,:)))
hold on
plot(t,abs(psi(end,:)))
legend('Higher CF Wavelet','Lower CF Wavelet')
grid on
psi — Вейвлеты временного интервала матрица с комплексным знаком
Вейвлеты временного интервала, возвращенные как Ns-by-N матрица с комплексным знаком, где Ns является количеством частот полосы пропускания вейвлета (равный количеству шкал) и N, являются набором фильтров SignalLength. Вейвлеты упорядочены в psi от самой высокой частоты полоса пропускания фильтруют к фильтру полосы пропускания самой низкой частоты.
t — Выборка моментов вектор
Выборка моментов вейвлетов временного интервала, возвращенных как вектор с действительным знаком из длины N, где N является набором фильтров SignalLength. Тип данных t совпадает с SamplingPeriod.
Расширенные возможности
Генерация кода C/C++ Генерация кода C и C++ с помощью MATLAB® Coder™.
1. Если смысл перевода понятен, то лучше оставьте как есть и не придирайтесь к словам, синонимам и тому подобному. О вкусах не спорим.
2. Не дополняйте перевод комментариями “от себя”. В исправлении не должно появляться дополнительных смыслов и комментариев, отсутствующих в оригинале. Такие правки не получится интегрировать в алгоритме автоматического перевода.
3. Сохраняйте структуру оригинального текста - например, не разбивайте одно предложение на два.
4. Не имеет смысла однотипное исправление перевода какого-то термина во всех предложениях. Исправляйте только в одном месте. Когда Вашу правку одобрят, это исправление будет алгоритмически распространено и на другие части документации.
5. По иным вопросам, например если надо исправить заблокированное для перевода слово, обратитесь к редакторам через форму технической поддержки.