exponenta event banner

errorbar

Линейный график со значением погрешности

Синтаксис

errorbar(y,err)
errorbar(x,y,err)
errorbar(x,y,neg,pos)
errorbar(___,ornt)
errorbar(x,y,yneg,ypos,xneg,xpos)
errorbar(___,linespec)
errorbar(___,Name,Value)
errorbar(ax,___)
e = errorbar(___)

Описание

errorbar(y,err) построил график данных в y и чертит вертикальное значение погрешности в каждой точке данных. Значения в err определяют длины каждого значения погрешности выше и ниже точек данных, таким образом, длины панели полной погрешности удваивают значения err.

пример

errorbar(x,y,err) графики y по сравнению с x и чертят вертикальное значение погрешности в каждой точке данных.

errorbar(x,y,neg,pos) чертит вертикальное значение погрешности в каждой точке данных, где neg определяет длину ниже точки данных, и pos определяет длину выше точки данных, соответственно.

пример

errorbar(___,ornt) устанавливает ориентацию значения погрешности. Задайте ornt как 'horizontal' для горизонтального значения погрешности или 'both' и для горизонтального и для вертикального значения погрешности. Значением по умолчанию для ornt является 'vertical', который чертит вертикальное значение погрешности. Используйте эту опцию после любой из предыдущих комбинаций входных аргументов.

пример

errorbar(x,y,yneg,ypos,xneg,xpos) графики y по сравнению с x и чертят и горизонтальное и вертикальное значение погрешности. yneg и входные параметры ypos устанавливают более низкие и верхние длины вертикального значения погрешности, соответственно. xneg и входные параметры xpos устанавливают левые и правые длины горизонтального значения погрешности.

пример

errorbar(___,linespec) устанавливает стиль линии, символ маркера и цвет. Например, '--ro' строит пунктирное, красную линию с круговыми маркерами. Стиль линии влияет только на строку а не значение погрешности.

пример

errorbar(___,Name,Value) изменяет внешний вид строки и значения погрешности с помощью одного или нескольких аргументов пары "имя-значение". Например, 'CapSize',10 устанавливает длины прописных букв в конце каждого значения погрешности к 10 точкам.

errorbar(ax,___) создает график в осях, заданных ax вместо в текущей системе координат. Задайте оси как первый входной параметр.

пример

e = errorbar(___) возвращает один объект ErrorBar, когда y является вектором. Если y является матрицей, то он возвращает один объект ErrorBar для каждого столбца в y. Используйте e, чтобы изменить свойства определенного объекта ErrorBar после того, как он будет создан. Для списка свойств смотрите ErrorBar Properties.

Примеры

свернуть все

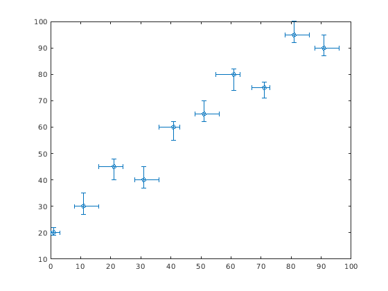
Создайте векторы x и y. Постройте y по сравнению с x. В каждой точке данных отобразите вертикальное значение погрешности, которое равно в длине.

x = 1:10:100;
y = [20 30 45 40 60 65 80 75 95 90];
err = 8*ones(size(y));
errorbar(x,y,err)

Постройте график со значением погрешности в каждой точке данных. Отличайтесь длины значения погрешности.

x = 1:10:100;
y = [20 30 45 40 60 65 80 75 95 90]; 
err = [5 8 2 9 3 3 8 3 9 3];
errorbar(x,y,err)

Постройте график с горизонтальным значением погрешности в каждой точке данных.

x = 1:10:100;
y = [20 30 45 40 60 65 80 75 95 90];
err = [1 3 5 3 5 3 6 4 3 3];
errorbar(x,y,err,'horizontal')

Постройте график и с вертикальным и с горизонтальным значением погрешности в каждой точке данных.

x = 1:10:100;
y = [20 30 45 40 60 65 80 75 95 90];
err = [4 3 5 3 5 3 6 4 3 3];
errorbar(x,y,err,'both')

Векторы графика y по сравнению с x. В каждой точке данных отобразите круговой маркер и с вертикальным и с горизонтальным значением погрешности. Не отображайте строку, которая соединяет точки данных путем исключения опции стиля линии для входного параметра linespec.

x = 1:10:100;
y = [20 30 45 40 60 65 80 75 95 90];
err = [4 3 5 3 5 3 6 4 3 3];
errorbar(x,y,err,'both','o')

Отобразите и вертикальное и горизонтальное значение погрешности в каждой точке данных. Управляйте более низкими и верхними длинами вертикального значения погрешности с помощью yneg и опций входного параметра ypos, соответственно. Управляйте левыми и правыми длинами горизонтального значения погрешности с помощью xneg и опций входного параметра xpos, соответственно.

x = 1:10:100;
y = [20 30 45 40 60 65 80 75 95 90];
yneg = [1 3 5 3 5 3 6 4 3 3];
ypos = [2 5 3 5 2 5 2 2 5 5];
xneg = [1 3 5 3 5 3 6 4 3 3];
xpos = [2 5 3 5 2 5 2 2 5 5];
errorbar(x,y,yneg,ypos,xneg,xpos,'o')

Постройте график со значением погрешности. В каждой точке данных отобразите маркер. Управляйте внешним видом аргументов пары "имя-значение" использования маркера. Используйте MarkerSize, чтобы задать размер маркера в точках. Используйте MarkerEdgeColor и MarkerFaceColor, чтобы задать схему маркера и внутренние цвета, соответственно. Выберите цвета или к вектору символов названия цвета, такие как 'red', или к триплету RGB.

x = linspace(0,10,15);
y = sin(x/2);
err = 0.3*ones(size(y));
errorbar(x,y,err,'-s','MarkerSize',10,...
    'MarkerEdgeColor','red','MarkerFaceColor','red')

Управляйте размером прописных букв в конце каждого значения погрешности путем установки свойства CapSize на положительное значение в точках.

x = linspace(0,2,15);
y = exp(x);
err = 0.3*ones(size(y));
errorbar(x,y,err,'CapSize',18)

Постройте график со значением погрешности. Присвойте объект errorbar переменной e.

x = linspace(0,10,10);
y = sin(x/2);
err = 0.3*ones(size(y));
e = errorbar(x,y,err)

e = 
  ErrorBar with properties:

             Color: [0 0.4470 0.7410]
         LineStyle: '-'
         LineWidth: 0.5000
            Marker: 'none'
             XData: [1x10 double]
             YData: [1x10 double]
    XNegativeDelta: [1x0 double]
    XPositiveDelta: [1x0 double]
    YNegativeDelta: [1x10 double]
    YPositiveDelta: [1x10 double]

  Show all properties

Используйте e, чтобы получить доступ к свойствам объекта errorbar после того, как это будет создано. Начиная с R2014b, вы можете использовать запись через точку для того, чтобы задать свойства. Если вы используете более раннюю версию, используйте вместо этого функцию set.

e.Marker = '*';
e.MarkerSize = 10;
e.Color = 'red';
e.CapSize = 15;

Входные параметры

свернуть все

Значения y, заданные как вектор или матрица.

  • Если y является вектором, то errorbar строит один график.

  • Если y является матрицей, то errorbar строит отдельный график для каждого столбца в y.

Пример: y = [4 3 5 2 2 4];

Типы данных: single | double | int8 | int16 | int32 | int64 | uint8 | uint16 | uint32 | uint64

Значения x, заданные как вектор или матрица. x должен быть одного размера как y.

Пример: x = 0:10:100;

Типы данных: single | double | int8 | int16 | int32 | int64 | uint8 | uint16 | uint32 | uint64

Длины значения погрешности для симметричного значения погрешности, заданного как вектор или матрица. err должен быть одного размера как y. Если вы не хотите чертить значение погрешности в конкретной точке данных, то задайте длину как NaN.

Пример: err = [.4 .3 .5 .2 .4 .5];

Типы данных: single | double | int8 | int16 | int32 | int64 | uint8 | uint16 | uint32 | uint64

Длины значения погрешности в отрицательном направлении, заданном как вектор или матрица тот же размер как y или как пустой массив [].

  • Для вертикального значения погрешности neg устанавливает длину значения погрешности ниже точек данных.

  • Для горизонтального значения погрешности neg устанавливает длину значения погрешности слева от точек данных.

Если вы не хотите чертить более низкую часть значения погрешности в конкретной точке данных, то задайте длину как NaN. Если вы не хотите чертить более низкую часть значения погрешности в какой-либо точке данных, то установленный neg к пустому массиву.

Пример: neg = [.4 .3 .5 .2 .4 .5];

Типы данных: single | double | int8 | int16 | int32 | int64 | uint8 | uint16 | uint32 | uint64

Длины значения погрешности в положительном направлении, заданном как вектор или матрица тот же размер как y или как пустой массив [].

  • Для вертикального значения погрешности pos устанавливает длину значения погрешности выше точек данных.

  • Для горизонтального значения погрешности pos устанавливает длину значения погрешности справа от точек данных.

Если вы не хотите чертить верхнюю часть значения погрешности в конкретной точке данных, то задайте длину как NaN. Если вы не хотите чертить верхнюю часть значения погрешности в какой-либо точке данных, то установленный pos к пустому массиву.

Пример: pos = [.4 .3 .5 .2 .4 .5];

Типы данных: single | double | int8 | int16 | int32 | int64 | uint8 | uint16 | uint32 | uint64

Вертикальные длины значения погрешности ниже точек данных, заданных как вектор или матрица тот же размер как y или как пустой массив []. Задайте значения в модулях данных.

Если вы не хотите чертить более низкую часть значения погрешности в конкретной точке данных, то задайте значение как NaN. Если вы не хотите чертить более низкую часть значения погрешности в какой-либо точке данных, то установленный yneg к пустому массиву.

Пример: yneg = [.4 .3 .5 .2 .4 .5];

Типы данных: single | double | int8 | int16 | int32 | int64 | uint8 | uint16 | uint32 | uint64

Вертикальные длины значения погрешности выше точек данных, заданных как вектор или матрица тот же размер как y или как пустой массив []. Задайте значения в модулях данных.

Если вы не хотите чертить верхнюю часть значения погрешности в конкретной точке данных, то задайте длину как NaN. Если вы не хотите чертить верхнюю часть значения погрешности в какой-либо точке данных, то установленный ypos к пустому массиву.

Пример: ypos = [.4 .3 .5 .2 .4 .5];

Типы данных: single | double | int8 | int16 | int32 | int64 | uint8 | uint16 | uint32 | uint64

Горизонтальные длины значения погрешности слева от точек данных, заданных как вектор или матрица тот же размер как y или как пустой массив []. Задайте значения в модулях данных.

Если вы не хотите чертить левую часть значения погрешности в конкретной точке данных, то задайте длину как NaN. Если вы не хотите чертить левую часть значения погрешности в какой-либо точке данных, то установленный xneg к пустому массиву.

Пример: xneg = [.4 .3 .5 .2 .4 .5];

Типы данных: single | double | int8 | int16 | int32 | int64 | uint8 | uint16 | uint32 | uint64

Горизонтальные длины значения погрешности справа от точек данных, заданных как вектор или матрица тот же размер как y или как пустой массив []. Задайте значения в модулях данных.

Если вы не хотите чертить правильную часть значения погрешности в конкретной точке данных, то задайте длину как NaN. Если вы не хотите чертить правильную часть значения погрешности в какой-либо точке данных, то установленный xpos к пустому массиву.

Пример: xpos = [.4 .3 .5 .2 .4 .5];

Типы данных: single | double | int8 | int16 | int32 | int64 | uint8 | uint16 | uint32 | uint64

Ориентация значения погрешности, заданная как одно из этих значений:

  • 'vertical' — Вертикальное значение погрешности

  • 'horizontal' — Горизонтальное значение погрешности

  • 'both' — Вертикальное и горизонтальное значение погрешности

Пример: errorbar(x,y,err,'horizontal')

Стиль линии, символ маркера и цвет, заданный как вектор символов или строка, содержащая символы. Символы могут появиться в любом порядке. Вы не должны задавать все три характеристики (стиль линии, символ маркера и цвет). Например, если вы не используете стиль линии и задаете маркер, затем график показывает только маркеры и никакую строку. Стиль линии влияет только на строку а не значение погрешности.

Пример: errorbar(x,y,err,'--or') строит красный, пунктирный график с круговыми маркерами и красное значение погрешности в точках данных.

Стиль линииОписание
-Сплошная линия (значение по умолчанию)
--Пунктирная линия
:Пунктирная линия
-.Штрихпунктирная линия
МаркерОписание
oКруг
+Знак «плюс»
*Звездочка
.Точка
xКрест
sКвадрат
dРомб
^Треугольник, направленный вверх
vНисходящий треугольник
>Треугольник, указывающий вправо
<Треугольник, указывающий влево
pПентаграмма
hГексаграмма
ЦветОписание

y

желтый

m

пурпурный

c

голубой

r

красный

g

зеленый

b

синий

w

белый

k

черный

Объект осей. Если вы не задаете оси, то errorbar строит в текущую систему координат.

Аргументы в виде пар имя-значение

Укажите необязательные аргументы в виде пар ""имя, значение"", разделенных запятыми. Имя (Name) — это имя аргумента, а значение (Value) — соответствующее значение. Name должен появиться в кавычках. Вы можете задать несколько аргументов в виде пар имен и значений в любом порядке, например: Name1, Value1, ..., NameN, ValueN.

Пример: errorbar(y,err,'LineWidth',2) задает ширину линии 2 точек.

Перечисленные здесь свойства являются только подмножеством. Для полного списка смотрите ErrorBar Properties.

Длина прописных букв в конце значения погрешности, заданного как положительное значение в точках.

Пример: errorbar(x,y,err,'CapSize',10)

Ширина линии, заданная как положительное значение в точках, где 1 точка = 1/72 дюйма. Если у линии есть маркеры, ширина линии также влияет на края маркера.

Расширенные возможности

Смотрите также

Функции

Свойства

Представлено до R2006a