Плоттер обнаружения для видимого с большого расстояния графика
создает detPlotter = detectionPlotter(bep)DetectionPlotter объект, который конфигурирует отображение обнаружений объектов на видимом с большого расстояния графике. DetectionPlotter объект хранится в Plotters свойство входа birdsEyePlot объект, bep. Чтобы построить обнаружения объектов, используйте plotDetection функция.
свойства наборов с помощью одного или нескольких detPlotter = detectionPlotter(bep,Name,Value)Name,Value парные аргументы. Например, detectionPlotter(bep,'DisplayName','Detections') определяет имя отображения, которое появляется в легенде графика птичьего глаза.
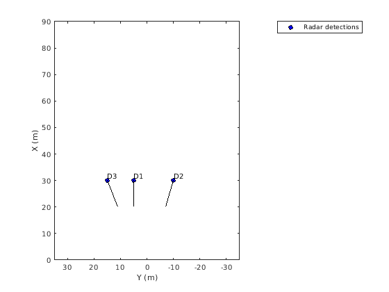
Создайте видимый с большого расстояния график с диапазоном оси X от 0 до 90 метров и диапазоном оси Y от –35 до 35 метров. Создайте радарный плоттер обнаружения, который отображает обнаружения синего цвета.
bep = birdsEyePlot('XLim',[0 90],'YLim',[-35 35]); detPlotter = detectionPlotter(bep,'DisplayName','Radar detections', ... 'MarkerFaceColor','b');

Отобразите положения и скорости трех помеченных обнаружений.
positions = [30 5; 30 -10; 30 15];
velocities = [-10 0; -10 3; -10 -4];
labels = {'D1','D2','D3'};
plotDetection(detPlotter,positions,velocities,labels);
bep — Видимый с большого расстояния графикbirdsEyePlot объектВидимый с большого расстояния график, заданный как birdsEyePlot объект.
Задайте дополнительные разделенные запятой пары Name,Value аргументы. Name имя аргумента и Value соответствующее значение. Name должен появиться в кавычках. Вы можете задать несколько аргументов в виде пар имен и значений в любом порядке, например: Name1, Value1, ..., NameN, ValueN.
detectionPlotter('Marker','+') устанавливает символ маркера для обнаружений к знаку "плюс".'DisplayName' — Имя плоттера, чтобы отобразиться в легенде'' (значение по умолчанию) | вектор символов | представляет скаляр в виде строкиИмя плоттера, чтобы отобразиться в легенде, заданной как разделенная запятой пара, состоящая из 'DisplayName' и вектор символов или скаляр строки. Если вы не задаете имя, видимый с большого расстояния график не отображает запись легенды для плоттера.
'Marker' — Символ маркера для обнаружений'o' (значение по умолчанию) | '+' | '*' | '.' | 'x' | ...Символ маркера для обнаружений, заданных как разделенная запятой пара, состоящая из 'Marker' и один из маркеров в этой таблице.
| Значение | Описание |
|---|---|
'o' | Круг |
'+' | Знак «плюс» |
'*' | Звездочка |
'.' | Точка |
'x' | Крест |
'square' или 's' | Квадрат |
'diamond' или 'd' | Ромб |
'^' | Треугольник, направленный вверх |
'v' | Нисходящий треугольник |
'>' | Треугольник, указывающий вправо |
'<' | Треугольник, указывающий влево |
'pentagram' или 'p' | Пятиконечная звезда (пентаграмма) |
'hexagram' или 'h' | Шестиконечная звезда (гексаграмма) |
'none' | Никакие маркеры |
'MarkerSize' — Размер маркера для обнаружений (значение по умолчанию) | положительное целое числоРазмер маркера, заданного как разделенная запятой пара, состоящая из 'MarkerSize' и положительное целое число в точках.
'MarkerEdgeColor' — Цвет контура маркера для обнаружений (черное) (значение по умолчанию) | триплет RGB | шестнадцатеричный цветовой код | название цвета | короткое название цветаЦвет контура маркера для обнаружений, заданных как разделенная запятой пара, состоящая из 'MarkerEdgeColor' и триплет RGB, шестнадцатеричный цветовой код, название цвета или короткое название цвета.
Для пользовательского цвета задайте триплет RGB или шестнадцатеричный цветовой код.
Триплет RGB представляет собой трехэлементный вектор-строку, элементы которого определяют интенсивность красных, зеленых и синих компонентов цвета. Интенсивность должна быть в области значений [0,1]; например, [0.4 0.6 0.7].
Шестнадцатеричный цветовой код является вектором символов или скаляром строки, который запускается с символа хеша (#) сопровождаемый тремя или шестью шестнадцатеричными цифрами, которые могут лежать в диапазоне от 0 к F. Значения не являются чувствительными к регистру. Таким образом, цветовые коды '#FF8800', '#ff8800', '#F80', и '#f80' эквивалентны.
Кроме того, вы можете задать имена некоторых простых цветов. Эта таблица приводит опции именованного цвета, эквивалентные триплеты RGB и шестнадцатеричные цветовые коды.
| Название цвета | Краткое название | Триплет RGB | Шестнадцатеричный цветовой код | Внешний вид |
|---|---|---|---|---|
'red' | 'r' | [1 0 0] | '#FF0000' |
|
'green' | 'g' | [0 1 0] | '#00FF00' |
|
'blue' | 'b' | [0 0 1] | '#0000FF' |
|
'cyan'
| 'c' | [0 1 1] | '#00FFFF' |
|
'magenta' | 'm' | [1 0 1] | '#FF00FF' |
|
'yellow' | 'y' | [1 1 0] | '#FFFF00' |
|
'black' | 'k' | [0 0 0] | '#000000' |
|
'white' | 'w' | [1 1 1] | '#FFFFFF' |
|
'none' | Не применяется | Не применяется | Не применяется | Нет цвета |
Вот являются триплеты RGB и шестнадцатеричные цветовые коды для цветов по умолчанию использованием MATLAB® во многих типах графиков.
| Триплет RGB | Шестнадцатеричный цветовой код | Внешний вид |
|---|---|---|
[0 0.4470 0.7410] | '#0072BD' |
|
[0.8500 0.3250 0.0980] | '#D95319' |
|
[0.9290 0.6940 0.1250] | '#EDB120' |
|
[0.4940 0.1840 0.5560] | '#7E2F8E' |
|
[0.4660 0.6740 0.1880] | '#77AC30' |
|
[0.3010 0.7450 0.9330] | '#4DBEEE' |
|
[0.6350 0.0780 0.1840] | '#A2142F' |
|
'MarkerFaceColor' — Цвет заливки маркера'none' (значение по умолчанию) | триплет RGB | шестнадцатеричный цветовой код | название цвета | короткое название цветаЦвет заливки маркера, заданный как разделенная запятой пара, состоящая из 'MarkerFaceColor' и триплет RGB, шестнадцатеричный цветовой код, название цвета или короткое название цвета.
Для пользовательского цвета задайте триплет RGB или шестнадцатеричный цветовой код.
Триплет RGB представляет собой трехэлементный вектор-строку, элементы которого определяют интенсивность красных, зеленых и синих компонентов цвета. Интенсивность должна быть в области значений [0,1]; например, [0.4 0.6 0.7].
Шестнадцатеричный цветовой код является вектором символов или скаляром строки, который запускается с символа хеша (#) сопровождаемый тремя или шестью шестнадцатеричными цифрами, которые могут лежать в диапазоне от 0 к F. Значения не являются чувствительными к регистру. Таким образом, цветовые коды '#FF8800', '#ff8800', '#F80', и '#f80' эквивалентны.
Кроме того, вы можете задать имена некоторых простых цветов. Эта таблица приводит опции именованного цвета, эквивалентные триплеты RGB и шестнадцатеричные цветовые коды.
| Название цвета | Краткое название | Триплет RGB | Шестнадцатеричный цветовой код | Внешний вид |
|---|---|---|---|---|
'red' | 'r' | [1 0 0] | '#FF0000' |
|
'green' | 'g' | [0 1 0] | '#00FF00' |
|
'blue' | 'b' | [0 0 1] | '#0000FF' |
|
'cyan'
| 'c' | [0 1 1] | '#00FFFF' |
|
'magenta' | 'm' | [1 0 1] | '#FF00FF' |
|
'yellow' | 'y' | [1 1 0] | '#FFFF00' |
|
'black' | 'k' | [0 0 0] | '#000000' |
|
'white' | 'w' | [1 1 1] | '#FFFFFF' |
|
'none' | Не применяется | Не применяется | Не применяется | Нет цвета |
Вот являются триплеты RGB и шестнадцатеричные цветовые коды для цветов по умолчанию использованием MATLAB во многих типах графиков.
| Триплет RGB | Шестнадцатеричный цветовой код | Внешний вид |
|---|---|---|
[0 0.4470 0.7410] | '#0072BD' |
|
[0.8500 0.3250 0.0980] | '#D95319' |
|
[0.9290 0.6940 0.1250] | '#EDB120' |
|
[0.4940 0.1840 0.5560] | '#7E2F8E' |
|
[0.4660 0.6740 0.1880] | '#77AC30' |
|
[0.3010 0.7450 0.9330] | '#4DBEEE' |
|
[0.6350 0.0780 0.1840] | '#A2142F' |
|
'FontSize' — Размер шрифта для маркировки обнаружений точки (значение по умолчанию) | положительное целое числоРазмер шрифта для маркировки обнаружений, заданных как разделенная запятой пара, состоящая из 'FontSize' и положительное целое число в точках шрифта.
'LabelOffset' — Разорвите между меткой и позиционной точкой (значение по умолчанию) | вектор с действительным знаком формы [x
y]Разорвите между меткой и позиционной точкой, заданной как разделенная запятой пара, состоящая из 'LabelOffset' и вектор с действительным знаком формы [x
y]. Модули исчисляются в метрах.
'VelocityScaling' — Масштабный коэффициент в течение продолжительности величины векторов скорости (значение по умолчанию) | положительный действительный скалярМасштабный коэффициент в течение продолжительности величины векторов скорости, заданных как разделенная запятой пара, состоящая из 'VelocityScaling' и положительный действительный скаляр. Видимый с большого расстояния график представляет значение вектора величины как M × VelocityScaling, где M является величиной скорости.
'Tag' — Тег сопоставлен с объектом плоттера'PlotterN' (значение по умолчанию) | вектор символов | представляет скаляр в виде строкиТег сопоставлен с объектом плоттера, заданным как разделенная запятой пара, состоящая из 'Tag' и вектор символов или скаляр строки. Значением по умолчанию является 'Plotter, где N'N целое число, которое соответствует Nплоттер th сопоставлен с входом birdsEyePlot объект.
detPlotter — Плоттер обнаруженияDetectionPlotter объектПлоттер обнаружения, возвращенный как DetectionPlotter объект. Можно изменить этот объект путем изменения его значений свойств. Имена свойства соответствуют аргументам пары "имя-значение" detectionPlotter функция.
detPlotter хранится в Plotters свойство входа birdsEyePlot объект, bep. Чтобы построить обнаружения, используйте plotDetection функция.
birdsEyePlot | clearData | clearPlotterData | findPlotter | plotDetection
У вас есть модифицированная версия этого примера. Вы хотите открыть этот пример со своими редактированиями?
1. Если смысл перевода понятен, то лучше оставьте как есть и не придирайтесь к словам, синонимам и тому подобному. О вкусах не спорим.
2. Не дополняйте перевод комментариями “от себя”. В исправлении не должно появляться дополнительных смыслов и комментариев, отсутствующих в оригинале. Такие правки не получится интегрировать в алгоритме автоматического перевода.
3. Сохраняйте структуру оригинального текста - например, не разбивайте одно предложение на два.
4. Не имеет смысла однотипное исправление перевода какого-то термина во всех предложениях. Исправляйте только в одном месте. Когда Вашу правку одобрят, это исправление будет алгоритмически распространено и на другие части документации.
5. По иным вопросам, например если надо исправить заблокированное для перевода слово, обратитесь к редакторам через форму технической поддержки.