exponenta event banner

resample

Передискретизируйте универсальные или неоднородные данные к новой фиксированной процентной ставке

Описание

пример

y = resample(x,p,q) передискретизирует входную последовательность, x, в pQ времена исходная частота дискретизации. Если x матрица, затем resample обработки каждый столбец x как независимый канал. resample применяет сглаживающегося КИХ фильтр lowpass к x и компенсирует задержку, введенную фильтром.

y = resample(x,p,q,n) использует фильтр сглаживания порядка 2 × n × макс. (pQ).

пример

y = resample(x,p,q,n,beta) указывает, что параметр формы окна Кайзера раньше проектировал фильтр lowpass.

y = resample(x,p,q,b) фильтры x использование коэффициентов фильтра задано в b.

пример

[y,b] = resample(x,p,q,___) также возвращается, коэффициенты фильтра применились к x во время передискретизации.

y = resample(x,tx) передискретизирует значения, x, из сигнала, произведенного в моменты, задан в векторном tx. Функция интерполирует x линейно на вектор однородно расположенных с интервалами моментов с теми же конечными точками и количеством выборок как txNaNs обработаны как недостающие данные и проигнорированы.

y = resample(x,tx,fs) использует многофазный фильтр сглаживания, чтобы передискретизировать сигнал на уровне универсальной частоты дискретизации, заданной в fs.

y = resample(x,tx,fs,p,q) интерполирует входной сигнал к промежуточной регулярной координатной сетке с демонстрационным интервалом (pQ)/fs. Функция затем фильтрует результат сверхдискретизировать его p и проредите его q, получившийся в итоговой частоте дискретизации fs. Для лучших результатов обеспечьте тот fs × qP является по крайней мере вдвое более большим, чем самая высокая частотная составляющая x.

пример

y = resample(x,tx,___,method) задает метод интерполяции наряду с любым из аргументов от предыдущих синтаксисов в этой группе. Методом интерполяции может быть 'linear'pchip, или 'spline'.

Примечание:   если x медленно не варьируется, рассмотрите использование interp1 с 'pchip' метод интерполяции.

[y,ty] = resample(x,tx,___) возвращается в ty моменты, которые соответствуют передискретизируемому сигналу.

[y,ty,b] = resample(x,tx,___) возвращается в b коэффициенты фильтра сглаживания.

Примеры

свернуть все

Передискретизируйте простую линейную последовательность в 3/2 исходный уровень 10 Гц. Постройте исходные и передискретизируемые сигналы на той же фигуре.

fs = 10;
t1 = 0:1/fs:1;
x = t1;
y = resample(x,3,2);
t2 = (0:(length(y)-1))*2/(3*fs);

plot(t1,x,'*',t2,y,'o')
xlabel('Time (s)')
ylabel('Signal')
legend('Original','Resampled', ...
    'Location','NorthWest')

При фильтрации, resample принимает что входная последовательность, x, нуль до и после выборок, которые он дан. Большие отклонения от нуля в конечных точках x может привести к неожиданным значениям для y.

Покажите эти отклонения путем передискретизации треугольной последовательности и вертикально переключенной версии последовательности с ненулевыми конечными точками.

x = [1:10 9:-1:1;
    10:-1:1 2:10]';
y = resample(x,3,2);

subplot(2,1,1)
plot(1:19,x(:,1),'*',(0:28)*2/3 + 1,y(:,1),'o')
title('Edge Effects Not Noticeable')
legend('Original','Resampled', ...
    'Location','South')

subplot(2,1,2)
plot(1:19,x(:,2),'*',(0:28)*2/3 + 1,y(:,2),'o')
title('Edge Effects Noticeable')
legend('Original','Resampled', ...
    'Location','North')

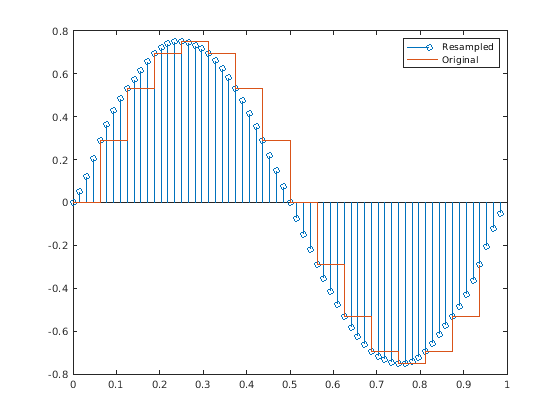
Создайте синусоидальный сигнал. Задайте частоту дискретизации, таким образом, что 16 выборок соответствуют точно одному периоду сигнала. Чертите диаграмму стебель-листья сигнала. Наложите ступенчатый график для визуализации производить-и-содержать.

fs = 16;
t = 0:1/fs:1-1/fs;

x = 0.75*sin(2*pi*t);

stem(t,x)
hold on
stairs(t,x)
hold off

Используйте resample сверхдискретизировать сигнал фактором четыре. Используйте настройки по умолчанию. Постройте результат вместе с исходным сигналом.

ups = 4;
dns = 1;

fu = fs*ups;
tu = 0:1/fu:1-1/fu;

y = resample(x,ups,dns);

stem(tu,y)
hold on
stairs(t,x)
hold off
legend('Resampled','Original')

Повторите вычисление. Задайте n = 1 так, чтобы фильтр сглаживания имел порядок 2×1×4=8. Задайте параметр формы β=0 для окна Кайзера. Выведите фильтр, а также передискретизируемый сигнал.

n = 1;
beta = 0;

[y,b] = resample(x,ups,dns,n,beta);

fo = filtord(b)
fo = 8
stem(tu,y)
hold on
stairs(t,x,'--')
hold off
legend('n = 1, \beta = 0')

Передискретизируемый сигнал показывает эффекты искажения, которые следуют из относительно широкого mainlobe и низкого затухания бокового лепестка окна.

Увеличьте n к 5 и отпуск β=0. Проверьте, что фильтр имеет порядок 40. Постройте передискретизируемый сигнал.

n = 5;

[y,b] = resample(x,ups,dns,n,beta);

fo = filtord(b)
fo = 40
stem(tu,y)
hold on
stairs(t,x,'--')
hold off
legend('n = 5, \beta = 0')

Более длинное окно имеет более узкий mainlobe и ослабляет эффекты искажения лучше. Это также ослабляет сигнал.

Оставьте порядка фильтра в 2×5×4=40 и увеличьте параметр формы до β=20.

beta = 20;

y = resample(x,ups,dns,n,beta);

stem(tu,y)
hold on
stairs(t,x,'--')
hold off
legend('n = 5, \beta = 20')

Высокое затухание бокового лепестка приводит к хорошей передискретизации.

Уменьшите порядка фильтра назад к 2×1×4=8 и отпуск β=20.

n = 1;

[y,b] = resample(x,ups,dns,n,beta);

stem(tu,y)
hold on
stairs(t,x,'--')
hold off
legend('n = 1, \beta = 20')

Шире mainlobe генерирует значительные артефакты после передискретизации.

Сгенерируйте 60 выборок синусоиды и передискретизируйте ее в 3/2 исходный уровень. Отобразите исходные и передискретизируемые сигналы.

tx = 0:6:360-3;
x = sin(2*pi*tx/120);

ty = 0:4:360-2;
[y,by] = resample(x,3,2);

plot(tx,x,'+-',ty,y,'o:')
legend('original','resampled')

Постройте частотную характеристику фильтра сглаживания.

freqz(by)

Передискретизируйте сигнал в 2/3 исходный уровень. Отобразите исходный сигнал и его передискретизацию.

tz = 0:9:360-9;
[z,bz] = resample(x,2,3);

plot(tx,x,'+-',tz,z,'o:')
legend('original','resampled')

Постройте импульсную характеристику нового фильтра lowpass.

impz(bz)

Используйте данные, зарегистрированные Галилео Галилеем в 1 610, чтобы определить орбитальный период Каллисто, наиболее удаленный из четырех самых больших спутников Юпитера.

Галилео наблюдал движение спутников в течение шести недель, начиная 15 января. Наблюдения имеют несколько разрывов, потому что Юпитер не отобразился облачными ночами. Сгенерируйте datetime массив времен наблюдения.

t = [0 2 3 7 8 9 10 11 12 17 18 19 20 24 25 26 27 28 29 31 32 33 35 37 ...
    41 42 43 44 45]'+1;

yg = [10.5 11.5 10.5 -5.5 -10.0 -12.0 -11.5 -12.0 -7.5 8.5 12.5 12.5 ...
    10.5 -6.0 -11.5 -12.5 -12.5 -10.5 -6.5 2.0 8.5 10.5 13.5 10.5 -8.5 ...
    -10.5 -10.5 -10.0 -8.0]';

obsv = datetime(1610,1,15+t);

Передискретизируйте данные на обычную сетку с помощью частоты дискретизации одного наблюдения в день. Используйте умеренный фактор повышающей дискретизации 3, чтобы не сверхсоответствовать.

fs = 1;

[y,ty] = resample(yg,t,fs,3,1);

Отобразите на графике данные и передискретизируемый сигнал.

plot(t,yg,'o',ty,y,'.-')
xlabel('Day')

Повторите процедуру с помощью интерполяции сплайна и отобразив даты наблюдения. Выразите частоту дискретизации в обратные дни.

fs = 1/86400;

[ys,tys] = resample(yg,obsv,fs,3,1,'spline');

plot(t,yg,'o')
hold on
plot(ys,'.-')
hold off

ax = gca;
ax.XTick = t(1:9:end);
ax.XTickLabel = char(obsv(1:9:end));

Вычислите оценку спектра мощности периодограммы однородно расположенных с интервалами, линейно интерполированных данных. Выберите длину DFT 1 024. Сигнал достигает максимума при инверсии орбитального периода.

[pxx,f] = periodogram(ys,[],1024,1,'power');
[pk,i0] = max(pxx);

f0 = f(i0);
T0 = 1/f0
T0 = 16.7869
plot(f,pxx,f0,pk,'o')
xlabel('Frequency (day^{-1})')

Входные параметры

свернуть все

Входной сигнал, заданный как вектор или матрица. Если x матрица, затем ее столбцы обработаны как независимые каналы. x может содержать NaNs. NaNs обработаны как недостающие данные и исключены из передискретизации.

Пример: cos(pi/4*(0:159))+randn(1,160) одноканальный сигнал вектора-строки.

Пример: cos(pi./[4;2]*(0:159))'+randn(160,2) двухканальный сигнал.

Типы данных: double

Передискретизация факторов, заданных как положительные целые числа.

Типы данных: double

Соседний номер термина, заданный как положительное целое число. Если n = 0, resample выполняет интерполяцию ближайшего соседа. Длина сглаживающегося КИХ-фильтра пропорциональна n. Большие значения n обеспечьте лучшую точность за счет большего количества времени вычисления.

Типы данных: double

Сформируйте параметр окна Кайзера, заданного как положительный действительный скаляр. Увеличение beta расширяется mainlobe окна раньше проектировал фильтр сглаживания и уменьшает амплитуду боковых лепестков окна.

Типы данных: double

КИХ-коэффициенты фильтра, заданные как вектор. По умолчанию, resample проектирует фильтр с помощью firls с окном Кайзера. При компенсации задержки, resample принимает b имеет нечетную длину и линейную фазу.

Пример: fir1(4,0.5) задает 4-й порядок фильтр lowpass с нормированной частотой среза 0.5π рад/выборка.

Типы данных: double

Моменты времени, заданные как неотрицательный вектор действительных чисел или datetime массив. tx должен увеличиться монотонно, но нуждаться быть расположенными неравными интервалами. tx может содержать NaNs или NaTs. Эти значения обработаны как недостающие данные и исключены из передискретизации.

Типы данных: double | datetime

Частота дискретизации, заданная как положительная скалярная величина. Частота дискретизации является количеством выборок в единицу времени. Если модуль времени является секундами, то частота дискретизации находится в Гц.

Типы данных: double

Метод интерполяции, заданный как один из 'linear'pchip, или 'spline':

  • 'linear' — Линейная интерполяция.

  • 'pchip' Сохраняющая форму кусочная кубичная интерполяция.

  • 'spline' — Интерполяция сплайна с помощью граничных условий не-узла.

Смотрите interp1 страница с описанием для получения дополнительной информации.

Выходные аргументы

свернуть все

Передискретизируемый сигнал, возвращенный как вектор или матрица. Если x сигнал длины N, и вы задаете p и q, затем y имеет длину ⌈N × pQ⌉.

КИХ-коэффициенты фильтра, возвращенные как вектор.

Выведите моменты, возвращенные как неотрицательный вектор действительных чисел.

Алгоритмы

resample выполняет КИХ-проект с помощью firls, нормирует результат составлять усиление обработки окна, и затем реализует изменение уровня с помощью upfirdn.

Расширенные возможности

Представлено до R2006a