Многофазный дециматор FIR
dsp.FIRDecimator Система object™ выполняет повторную выборку векторных или матричных входных данных вдоль первого размера. Дециматор КИХ (как показано на схеме) концептуально состоит из сглаживающего КИХ-фильтра, за которым следует понижающая дискретизация. Для проектирования фильтра сглаживания FIR используйте designMultirateFIR функция. Пример см. в разделе Уменьшение частоты дискретизации аудиосигнала.
Фильтр FIR фильтрует данные в каждом канале входного сигнала, используя фильтр FIR прямой формы. Блок понижающей дискретизации, который следует за ним, производит понижающую выборку каждого канала отфильтрованных данных путем отбрасывания M-1 последовательных выборок после каждой сохраненной выборки. M - указанное значение коэффициента прореживания. Результирующий дискретно-временной сигнал имеет частоту дискретизации, которая в 1/M раз больше исходной частоты дискретизации.

Заметим, что алгоритм фактического объекта реализует многофазную структуру, эффективный эквивалент объединенной системы, изображенной на диаграмме. Дополнительные сведения см. в разделе Алгоритмы.
Для повторной выборки векторных или матричных входных данных вдоль первого размера:
Создать dsp.FIRDecimator и задайте его свойства.
Вызовите объект с аргументами, как если бы это была функция.
Дополнительные сведения о работе системных объектов см. в разделе Что такое системные объекты?.
При определенных условиях этот объект System также поддерживает создание кода SIMD. Дополнительные сведения см. в разделе Создание кода.
возвращает дециматор FIR, firdecim = dsp.FIRDecimatorfirdecim, который применяет фильтр FIR с частотой отсечки 0.4*pi радианы/выборка на вход и понижает выходной сигнал фильтра на коэффициент 2.
возвращает дециматор FIR с целочисленным значением firdecim = dsp.FIRDecimator(decimFactor,num)DecimationFactor свойство имеет значение decimFactor и Numerator свойство имеет значение num.
возвращает объект-прореживатель FIR с заданным значением каждого свойства. Заключите каждое имя свойства в кавычки. Этот синтаксис можно использовать с любыми предыдущими комбинациями входных аргументов.firdecim = dsp.FIRDecimator(___,Name,Value)
Чтобы использовать функцию объекта, укажите объект System в качестве первого входного аргумента. Например, для освобождения системных ресурсов объекта System с именем obj, используйте следующий синтаксис:
release(obj)
Децимационный фильтр КИХ эффективно реализуется с использованием полифазной структуры. Дополнительные сведения о многофазных фильтрах см. в разделе Многофазные субфильтры.
Для получения полифазной структуры начните с передаточной функции фильтра FIR:
.. + bNz − N
N + 1 - длина фильтра FIR.
Это уравнение можно изменить следующим образом:
+bNz− (N−M+1))
M - количество многофазных компонентов, и его значение равно указанному коэффициенту прореживания.
Это уравнение можно записать следующим образом:
(M − 1) EM − 1 (zM)
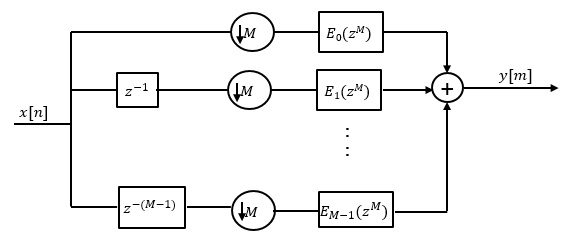
E0 (zM), E1 (zM),..., EM-1 (zM) - полифазные компоненты КИХ-фильтра Н (z).
Концептуально децимационный фильтр КИХ содержит фильтр КИХ нижних частот, за которым следует понижающий фильтр.

Замените H (z) многофазным представлением.

Вот многоскоростная благородная идентичность для прореживания.

Применение благородного идентификатора для прореживания перемещает операцию понижающей дискретизации на перед операцией фильтрации. Это перемещение позволяет фильтровать сигнал с меньшей скоростью.

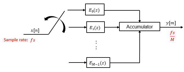
Можно заменить задержки и коэффициент прореживания на входе коммутатором. Переключатель запускается на первой ветви 0 и перемещается в направлении против часовой стрелки, как показано на этой диаграмме. Накопитель на выходе принимает обработанные входные выборки от каждой ветви полифазной структуры и накапливает эти обработанные выборки до тех пор, пока переключатель не перейдет к ветви 0. Когда коммутатор переходит в ветвь 0, накопитель выдает накопленное значение.

Когда доставляется первая входная выборка, коммутатор подает этот вход в ветвь 0, и прореживатель вычисляет первое выходное значение. По мере поступления большего количества входных выборок переключатель перемещается в направлении против часовой стрелки через ветви M − 1, M − 2 и вплоть до ветви 0, доставляя по одной выборке за раз в каждую ветвь. Когда коммутатор переходит в ветвь 0, прореживатель выводит следующий набор выходных значений. Этот процесс продолжается по мере поступления данных. Каждый раз, когда коммутатор приходит в ветвь 0, прореживатель выдает y [m]. Прореживатель эффективно выводит одну выборку на каждую M выборок, которые он получает. Следовательно, частота дискретизации на выходе фильтра децимации КИХ равна fs/M.