Преобразователь частоты дискретизации
dsp.FIRRateConverter Система object™ выполняет преобразование частоты дискретизации рациональным коэффициентом на векторном или матричном входе. Преобразователь скорости КИХ каскадирует интерполятор с прореживателем. Преобразователь скорости (как показано на схеме) концептуально состоит из устройства повышающей дискретизации, за которым следует комбинированный фильтр FIR против формирования изображения и сглаживания, за которым следует устройство понижающей дискретизации. Чтобы сконструировать фильтр FIR, который действует как комбинированный фильтр FIR против визуализации и сглаживания, используйте designMultirateFIR функция. Пример см. в разделе Повторная выборка сигнала с помощью преобразователя скорости КИХ.
Повышающая дискретизация увеличивает частоту дискретизации сигнала на коэффициент L, а понижающая дискретизация уменьшает частоту дискретизации сигнала на коэффициент M. Используйте повышающие и понижающие коэффициенты дискретизации, которые являются относительно простыми или параллельными. Результирующий дискретно-временной сигнал имеет частоту дискретизации, которая в L/M раз больше исходной частоты дискретизации.

Заметим, что алгоритм фактического объекта реализует многофазную структуру, эффективный эквивалент объединенной системы, изображенной на диаграмме. Дополнительные сведения см. в разделе Алгоритмы.
Для выполнения преобразования частоты дискретизации:
Создать dsp.FIRRateConverter и задайте его свойства.
Вызовите объект с аргументами, как если бы это была функция.
Дополнительные сведения о работе системных объектов см. в разделе Что такое системные объекты?.
возвращает преобразователь частоты дискретизации FIR, firrc = dsp.FIRRateConverterfirrc, который производит повторную выборку входного сигнала со скоростью, в 3/2 раза превышающей первоначальную частоту дискретизации.
возвращает преобразователь частоты дискретизации FIR, firrc = dsp.FIRRateConverter(L,M,NUM)firrc, с InterpolationFactor свойство имеет значение L, DecimationFactor свойство имеет значение M, и Numerator свойство имеет значение NUM.
возвращает преобразователь частоты дискретизации FIR с дополнительными свойствами, заданными одним или несколькими firrc = dsp.FIRRateConverter(___,Name,Value)Name,Value аргументы пары.
firrc = dsp.FIRRateConverter('FullPrecisionOverride','false') позволяет управлять типами данных с фиксированной точкой с помощью отдельных настроек свойств с фиксированной точкой.Чтобы использовать функцию объекта, укажите объект System в качестве первого входного аргумента. Например, для освобождения системных ресурсов объекта System с именем obj, используйте следующий синтаксис:
release(obj)
Преобразователь скорости КИХ эффективно реализован с использованием полифазной структуры.
Чтобы вывести полифазную структуру, начните с передаточной функции фильтра FIR: Этот фильтр FIR представляет собой комбинированный фильтр против визуализации и сглаживания.
.. + bNz − N
N + 1 - длина фильтра FIR.
Это уравнение можно изменить следующим образом:
+bNz− (N−L+1))
L - число многофазных компонентов, значение которого равно указанному коэффициенту интерполяции.
Это уравнение можно записать следующим образом:
(L − 1) EL − 1 (zL)
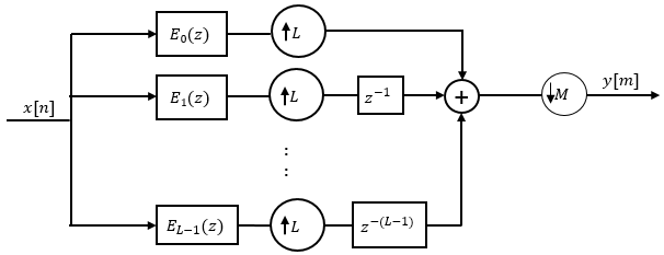
E0 (zL), E1 (zL),..., EL-1 (zL) - полифазные компоненты КИХ-фильтра Н (z).
Концептуально преобразователь скорости КИХ содержит повышающую дискретизацию, за которой следует комбинированный антиизображающий, сглаживающий КИХ фильтр H (z), за которым следует понижающая дискретизация.

Замените H (z) многофазным представлением.

Вот многоскоростная благородная идентичность для интерполяции.

Применение благородной идентичности для интерполяции перемещает операцию повышения дискретизации в после операции фильтрации. Это перемещение позволяет фильтровать сигнал с меньшей скоростью.

Оператор повышающей дискретизации, блок задержки и сумматор можно заменить коммутатором. Для учета следующего понижающего дискретизации переключатель перемещается в шагах размера M. Коммутатор получает первую выборку из ветви 0 и движется в направлении против часовой стрелки, каждый раз пропуская M − 1 ветви.
В качестве примера рассмотрим преобразователь скорости с L, установленным в 5, и M, установленным в 3. Полифазными компонентами являются E0 (z), E1 (z), E2 (z), E3 (z) и E4 (z). Переключатель начинается на первой ветви 0, пропускает ветви 1 и 2, принимает следующую выборку из ветви 3, затем пропускает ветви 4 и 0, принимает следующую выборку из ветви 2 и так далее. Последовательность ветвей, из которых коммутатор получает выборку данных, равна [0, 3, 1, 4, 2, 0, 3, 1,....].
Преобразователь скорости осуществляет преобразование L/M, сначала применяя коэффициент интерполяции L к входящим данным, и используя коммутатор на конце для приема только 1 в M выборок, эффективно учитывая коэффициент dowsampling M. Следовательно, частота дискретизации на выходе преобразователя скорости FIR равна Lfs/M.
