Многофазный FIR-интерполятор
dsp.FIRInterpolator Система object™ дискретизирует входной сигнал с помощью целочисленного коэффициента L повышения дискретизации по первому измерению. FIR-интерполятор (как показано на схеме) концептуально состоит из повышающей дискретизации, за которой следует FIR-антиизображающий фильтр, который обычно является аппроксимацией идеального интерполяционного фильтра с ограниченной полосой. Чтобы сконструировать фильтр для защиты от изображений, используйте designMultirateFIR функция.
Устройство повышающей дискретизации увеличивает выборку каждого канала входного сигнала до более высокой скорости путем вставки нулей L-1 между выборками. Фильтр FIR прямой формы, который следует за фильтром, фильтрует каждый канал данных с повышенной дискретизацией. Результирующий дискретно-временной сигнал имеет частоту дискретизации, которая в L раз больше исходной частоты дискретизации.

Заметим, что алгоритм фактического объекта реализует многофазную структуру, эффективный эквивалент объединенной системы, изображенной на диаграмме. Дополнительные сведения см. в разделе Алгоритмы.
Для увеличения числа входных данных:
Создать dsp.FIRInterpolator и задайте его свойства.
Вызовите объект с аргументами, как если бы это была функция.
Дополнительные сведения о работе системных объектов см. в разделе Что такое системные объекты?.
При определенных условиях этот объект System также поддерживает создание кода SIMD. Дополнительные сведения см. в разделе Создание кода.
возвращает FIR-интерполятор, firinterp = dsp.FIRInterpolatorfirinterp, который увеличивает выборку входного сигнала на коэффициент 3 и применяет фильтр FIR для интерполяции выходного сигнала.
возвращает FIR-интерполятор с целочисленным значением firinterp = dsp.FIRInterpolator(interpFactor,num)InterpolationFactor свойство имеет значение interpFactor и Numerator свойство имеет значение num.
возвращает объект FIR-интерполятора с заданным значением каждого свойства. Заключите каждое имя свойства в кавычки. Этот синтаксис можно использовать с любыми предыдущими комбинациями входных аргументов.firinterp = dsp.FIRInterpolator(___,Name,Value)
Чтобы использовать функцию объекта, укажите объект System в качестве первого входного аргумента. Например, для освобождения системных ресурсов объекта System с именем obj, используйте следующий синтаксис:
release(obj)
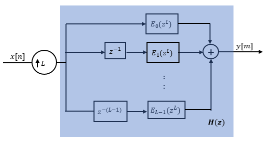
FIR-интерполяционный фильтр эффективно реализуется с использованием полифазной структуры.
Для получения полифазной структуры начните с передаточной функции фильтра FIR:
.. + bNz − N
N + 1 - длина фильтра FIR.
Это уравнение можно изменить следующим образом:
+bNz− (N−L+1))
L - число многофазных компонентов, значение которого равно указанному коэффициенту интерполяции.
Это уравнение можно записать следующим образом:
(L − 1) EL − 1 (zL)
E0 (zL), E1 (zL),..., EL-1 (zL) - полифазные компоненты КИХ-фильтра Н (z).
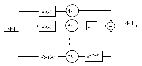
Концептуально фильтр интерполяции КИХ содержит повышающую дискретизацию, за которой следует фильтр нижних частот КИХ Н (z).

Замените H (z) многофазным представлением.

Вот многоскоростная благородная идентичность для интерполяции.

Применение благородной идентичности для интерполяции перемещает операцию повышения дискретизации в после операции фильтрации. Это перемещение позволяет фильтровать сигнал с меньшей скоростью.

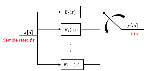
Оператор повышающей дискретизации, блок задержки и сумматор можно заменить коммутатором. Переключатель запускается на первой ветви 0 и перемещается в направлении против часовой стрелки, каждый раз получая по одной выборке от каждой ветви. Интерполятор эффективно выводит L выборок для каждой входной выборки, которую он принимает. Следовательно, частота дискретизации на выходе фильтра интерполяции КИХ равна Lfs.
