В любой конструкции можно добавить точки, выбрав меню «Редактирование» > «Добавить точку». Можно выбрать способ добавления точек: расширить последовательность заполнения пространства (для проектов заполнения пространства), оптимально (для оптимальных проектов), случайным образом или при заданных значениях. Для проектов с заполнением помещений при необходимости сбора дополнительных данных можно добавить точки проектирования, продолжающие ту же последовательность заполнения помещений в исходной конструкции. Это позволяет собирать больше данных, заполняя промежутки между предыдущими точками проектирования. Для добавления точек с одинаковыми параметрами последовательности можно постепенно увеличивать пространственно-заполняющие конструкции последовательности Halton и Sobol. Можно добавлять точки в исходную последовательность заполнения помещений, сохраняя исходные точки и добавляя новые с теми же параметрами последовательности.
Совет
Если требуется добавить дополнительные точки позже, для сохранения последовательности заполнения пространства конструкции скопируйте конструкцию перед наложением зависимостей или редактированием конструкции. Если не создать копию проекта, при редактировании будут потеряны исходные параметры заполнения помещений, а затем невозможно будет расширить последовательность. При изменении типа конструкции на Custom, невозможно получить доступ к параметрам исходной последовательности для добавления новых точек.
Чтобы сохранить исходную конструкцию при добавлении новых точек, создайте дочернюю конструкцию исходной неограниченной конструкции. Выберите проект и нажмите
кнопку «Создать проект» на панели инструментов или выберите «Файл» > «Создать».
Новая дочерняя конструкция, идентичная родительской, выбирается в дереве.
Чтобы добавить заполняющие пространство, оптимальные, пользовательские или случайные точки, выберите «Редактирование» > «Добавить точку» или нажмите
кнопку. Появится диалоговое окно, показанное на рисунке ниже.
Выберите метод увеличения в раскрывающемся меню. Варианты зависят от типа конструкции и включают: удлинение последовательности sobol или halton, оптимальное (D, V или A), случайное или заданное пользователем.
Примечание
Точки можно добавлять оптимально в любую конструкцию на основе линейной или многолинейной модели, если она имеет минимальное количество точек, необходимое для соответствия этой модели. Это означает, что после добавления ограничения можно удалить столько точек, что последующая операция замены не позволит оптимально добавить.
Для проектов с заполнением помещений используйте Extend Sobol Sequence или Extend Halton Sequence для сохранения исходных точек и добавления новых с одинаковыми параметрами последовательности.
Выберите количество точек для добавления с помощью кнопок или ввода в поле редактирования. При проектировании с заполнением помещений наблюдайте за новыми точками на графике.

Для пользовательских точек введите значения каждого коэффициента для каждой добавляемой точки.
Если выбрать оптимальный метод увеличения и щелкнуть Править (Edit), откроется диалоговое окно Набор кандидатов (Candidate Set). Отредактируйте диапазоны и уровни каждого фактора и используемый алгоритм генерации. Это те же элементы управления, что и на вкладке «Набор кандидатов» диалогового окна «Оптимальная конструкция». Нажмите кнопку ОК.
Нажмите кнопку «ОК», чтобы добавить новые точки и закрыть диалоговое окно «Добавить точки проектирования».
В Редакторе проектирования для проектов с заполнением помещений могут быть полезны следующие шаги:
Используйте парный вид, переключаясь между родительской и дочерней конструкциями, чтобы визуально убедиться, что новые точки добавлены, сохраняя исходные точки.
Создайте копию дочерней конструкции для добавления зависимостей. Сохранение родительского проекта без ограничений позволяет добавлять дополнительные точки позже, если это необходимо. См. также раздел Ограничения увеличения объема проекта заполнения помещений.
Новые точки добавляются в конец списка существующих точек. Если требуется извлечь только дополненные точки для тестирования, выберите «Редактирование» > «Удалить точку», чтобы открыть диалоговое окно, в котором можно выбрать точки для удаления. См. раздел Фиксация, удаление и сортировка точек проектирования.
Выполните округление и сортировку данных, прежде чем отправлять их на тестирование. Выберите меню «Редактирование» > «Коэффициент скругления» для ограничения десятичных разрядов коэффициентов. Выберите «Редактирование» > «Сортировать», чтобы отсортировать точки по эффективности тестирования, поскольку операторы часто проверяют скорость в порядке следования нагрузки. См. раздел Фиксация, удаление и сортировка точек проектирования.
Совет
Если требуется добавить дополнительные точки позже, для сохранения последовательности заполнения пространством проекта скопируйте проект перед редактированием точек. Если не создать копию проекта, при редактировании точек будут потеряны исходные параметры заполнения помещений, а затем невозможно будет удлинить последовательность. При изменении типа конструкции на Custom, невозможно получить доступ к параметрам исходной последовательности для добавления новых точек.
Для редактирования определенных точек
Щелкните правой кнопкой мыши на строке заголовка одного из видов Редактора проектирования и выберите Текущий вид > Таблица проектирования для перехода к представлению таблицы. Это дает нумерованный список всех точек в конструкции, чтобы можно было видеть, где находятся точки в конструкции.
Чтобы изменить точки, щелкните, чтобы выбрать ячейки таблицы, и введите новые значения. Можно также щелкнуть правой кнопкой мыши ячейки таблицы и выбрать Копировать (Copy) или Вставить (Paste). Можно щелкнуть и перетащить, чтобы выбрать несколько ячеек для копирования или вставки.
Точки из двух или более проектов можно объединить с помощью меню Файл (File). Можно объединить проекты, чтобы сформировать новую конструкцию, или объединить точки в одну из выбранных конструкций. Объединенные точки сохраняют свой фиксированный статус в новой конструкции.
Выберите меню «Файл» > «Объединить проекты». Появится диалоговое окно, показанное на рисунке.

Отображается список всех проектов из Редактора проектирования, а также соответствующий стиль проектирования и количество точек. Выберите две или более конструкций из списка, перетаскивая их мышью или удерживая нажатой клавишу Ctrl.
Если выбраны по крайней мере две конструкции, опции в нижней части диалогового окна будут включены. Укажите, требуется ли создать новую конструкцию или поместить точки конструкции в существующую конструкцию.
При создании новой конструкции необходимо также выбрать одну из выбранных конструкций в качестве основы. Из этой базовой конструкции копируются такие свойства, как модель, зависимости и любая оптимальная настройка конструкции. При повторном использовании существующей конструкции необходимо выбрать одну из выбранных конструкций для получения баллов от других конструкций.
Нажмите кнопку ОК, чтобы выполнить процесс объединения и вернуться к основному экрану. Если выбрать создание новой конструкции, она появится в конце дерева конструкции.
Точки можно исправить или удалить с помощью меню Правка (Edit). Можно также сортировать точки или удалить все точки из проекта.
Совет
Если требуется добавить дополнительные точки позже, чтобы сохранить последовательность заполнения пространством проекта, скопируйте проект перед редактированием, округлением или сортировкой точек. Если не создать копию проекта, при редактировании точек будут потеряны исходные параметры заполнения помещений, а затем невозможно будет удлинить последовательность. При изменении типа конструкции на Custom, невозможно получить доступ к параметрам исходной последовательности для добавления новых точек.
Фиксированные точки становятся красными в основной таблице Редактора проектирования. Если данные сопоставлены с данными конструкции или в качестве точек конструкции используются экспериментальные данные, эти точки автоматически фиксируются. Точки данных уже имеются, поэтому их не требуется изменять или удалять. Точки проектирования, которые были сопоставлены с собранными данными, также являются фиксированными. Поскольку эти точки уже запущены, их нельзя освободить - они не будут отображаться в диалоговом окне «Исправление точек проектирования». После установки фиксированных точек они не перемещаются процессами оптимизации конструкции. Это автоматическое исправление упрощает оптимальное увеличение фиксированных точек конструкции.
Для исправления или удаления точек:
Чтобы удалить все точки в текущем проекте, выберите «Редактирование» > «Очистить».
Если требуется исправить или удалить определенные точки, сначала измените панель отображения Редактора проектирования на Табличное представление. Это дает нумерованный список всех точек в конструкции, чтобы можно было видеть, где находятся точки в конструкции.
Выберите меню «Редактирование» > «Исправление/Свободные точки» или «Редактирование» > «Удалить точку» (или нажмите кнопку на панели инструментов
).
Появится диалоговое окно, в котором можно выбрать точки для исправления или удаления.

В приведенном выше примере показано диалоговое окно для фиксации или освобождения точек. Диалоговое окно для удаления точек имеет одинаковые элементы управления для перемещения точек между списком «Сохранить точки» и списком «Удалить точки».
Переместите точки из списка «Свободные точки» в список «Фиксированные точки»; или из списка «Сохранить точки» в список «Удалить точки» с помощью кнопок.
Нажмите кнопку ОК, чтобы завершить изменения, указанные в списках, или кнопку Отмена, чтобы вернуться к неизмененной конструкции.
Для сортировки точек:
Выберите меню «Редактирование» > «Сортировка». Появится диалоговое окно (см. пример ниже) для сортировки текущей конструкции - по возрастанию или убыванию значений коэффициентов, случайным образом или по пользовательскому выражению.

Для сортировки по пользовательскому выражению можно использовать выражения MATLAB ® (например, abs(N) для абсолютного значения N) с использованием входных символов. Обратите внимание, что сортировка выполняется с использованием кодированных единиц (от -1 до 1), поэтому помните, что точки в центре расчетного пространства будут близки к нулю в кодированных единицах, а точки рядом с ребром будут стремиться к 1 или -1.
Выберите меню Правка (Edit) > Рандомизировать (Randomize) как быстрый способ случайного использования точек в текущем проекте. Это ярлык к той же функциональности, что и опция Случайный (Random) в диалоговом окне Сортировка (Sort).
Для проверки качества прогнозов модели можно использовать средство просмотра «Отклонение ошибок прогнозирования» (PEV). Можно изучить свойства конструкций или глобальных моделей. Открыв его в редакторе конструкции, можно увидеть, насколько хорошо базовая модель предсказывает область конструкции. При открытии из глобальной модели можно просмотреть, насколько хорошо предсказывается текущая глобальная модель. Низкий ПЭВ (стремящийся к нулю) означает, что в этот момент получаются хорошие прогнозы.
Средство просмотра отклонений ошибок прогнозирования доступно только для линейных моделей и функций радиального базиса.
Если конструкции имеют недостаточный ранг, отображается средство просмотра отклонений ошибок прогнозирования, но оно пустое; то есть значения ПЭВ не могут быть вычислены, поскольку недостаточно точек для соответствия модели.
В редакторе конструкции выберите «Сервис» > «Средство просмотра отклонений ошибок прогнозирования».
На глобальном уровне браузера модели, если выбранная глобальная модель является линейной или радиальной базовой функцией,
Нажмите
кнопку панели инструментов, чтобы открыть средство просмотра отклонений ошибок прогнозирования.
Либо выберите Модель (Model) > Утилиты (Utilities) > Средство просмотра отклонений ошибок прогнозирования (Prediction Error Variance Vi
Если модель имеет дочерние узлы, можно выбрать только средство просмотра отклонений ошибок прогнозирования (Prediction Error Variance Viewer) из дочерних моделей.

Вид по умолчанию является 3D графиком поверхности ПЭВ.
На графике показано, где наиболее оптимальны прогнозы модели. Модель хорошо предсказывает, где значения ПЭВ самые низкие.
Если были преобразованы выходные данные (например, с помощью преобразования Бокса-Кокса), то средство просмотра отклонений ошибок прогнозирования отображает прогнозируемую дисперсию преобразованной модели.
Меню Вид (View) содержит множество опций для изменения вида графиков.
Можно изменить коэффициенты, отображаемые на 2D и 3D графиках. Раскрывающиеся меню под графиком выбирают коэффициенты, в то время как невыбранные коэффициенты остаются постоянными. Значения невыбранных коэффициентов можно изменить с помощью кнопок или полей редактирования в верхней левой части рамки.
Movie опция показывает последовательность графиков поверхности при изменении значения третьего входного коэффициента. Можно изменять коэффициенты, воспроизводить и изменять частоту кадров.
Можно изменить количество, положение и цвет контуров на контурном графике с помощью кнопки «Контуры». Описание элементов управления см. в разделе графика горизонталей (в разделе «Ответный вид поверхности»).
Можно установить флажок «Подрезать график», как показано в предыдущем примере. Области, которые перемещаются выше значения ПЭВ в поле редактирования оболочки отсечения, удаляются. Можно ввести значение для обертки отсечения. Если не выбран параметр «Подрезать график», на графике отображается белая линия контура, где значения ПЭВ проходят через значение отсечения.
Можно также подрезать с помощью граничной модели или конструктивных ограничений, если они доступны. Установите флажки Применить ограничение (Apply constraint) или Применить граничную модель (Apply boundary model), чтобы подрезать график.
При использовании средства просмотра отклонений ошибок прогнозирования (Prediction Error Variance Viewer) для просмотра свойств конструкции значения оптимальности для конструкции отображаются в рамке Критерии оптимальности (Optimality criteria).
Обратите внимание, что в представлении «Элемент ответа» (Response Feature) (в окне Выбор модели (Model Selection) или Оценка модели (Model Evaluation)) можно выбрать параметр Затенение ошибки прогнозирования (Prediction Error Sh Это приводит к закрашиванию поверхности модели в соответствии со значениями ошибки прогнозирования (sqrt (PEV)). Это не то же самое, что средство просмотра отклонений ошибок прогнозирования, которое показывает форму поверхности, определяемую значениями ПЭВ. См. раздел Представление поверхности ответа.
Критерии оптимальности. До нажатия кнопки Рассчитать (Calculate) в рамке Критерии оптимальности (Optimality criteria) значения оптимальности не отображаются. При нажатии кнопки Рассчитать (Calculate) открывается диалоговое окно Расчеты оптимальности (Optimality Calculations). Здесь отображаются итерации процесса оптимизации.
В кадре «Критерии оптимальности» (Optimality criteria) в окне «Просмотр дисперсии ошибок прогнозирования» (Prediction Error Variance Viewer) перечислены значения критериев оптимальности D, V, G и A, а также значения входных коэффициентов в точке максимального значения PEV (Location of G value). Это точка, в которой модель имеет максимальное значение ПЭВ, которое является критерием G-оптимальности. Значения D, V и A являются функциями всего расчетного пространства и не имеют соответствующей точки.
Для получения статистической информации о том, как рассчитывается ПЭВ, см. следующий раздел «Отклонение ошибки прогнозирования».
Отклонение ошибок прогнозирования (PEV) - это очень полезный способ исследования прогнозирующей способности модели. Он дает меру точности прогнозов модели.
Можно исследовать ПЭВ для проектов и моделей. Полезно помнить, что:
ПЭВ (модель) = ПЭВ (конструкция) * MSE
Таким образом, точность прогнозов модели зависит от расчетной ПЭВ и среднеквадратических ошибок в данных. Вы должны попытаться сделать ПЭВ для вашей конструкции как можно ниже, так как он умножается на ошибку в вашей модели, чтобы дать общий ПЭВ для вашей модели. Низкий ПЭВ (близкий к нулю) означает, что в этот момент получаются хорошие прогнозы.
Можно считать, что проектный ПЭВ умножает ошибки в данных. Если конструкция PEV < 1, то ошибки уменьшаются процессом подбора модели. Если расчетный ПЭВ > 1, то все ошибки в измерениях данных умножаются. В целом, прогнозирующая мощность модели будет более точной, если ПЭВ будет ближе к нулю.
Вы начинаете с регрессионной (или расчетной) матрицы, например, для квадратичного в N (частота вращения двигателя) и L (нагрузка или относительный воздушный заряд):

Если бы вы знали фактическую модель, вы бы знали фактические коэффициенты модели.
В этом случае замечания будут следующими:
![]()
где
- погрешность измерения с дисперсией
![]()
Однако можно знать только прогнозируемые коэффициенты:
![]()
которые имеют дисперсию
![]()
Пусть x является матрицей регрессии для некоторой новой точки, где требуется вычислить модель, например:
![]()
Тогда прогнозирование модели для этой точки:
![]()
Теперь можно вычислить ПЭВ следующим образом:
![]()
![]()
Следует отметить, что единственной зависимостью от наблюдаемых значений является дисперсия (MSE) погрешности измерения. Вы можете посмотреть на ПЭВ (x) для проектирования (без MSE, так как у вас еще нет никаких наблюдений) и посмотреть, какое влияние он окажет на ошибку измерения - если он больше 1, он увеличит ошибку, и чем ближе к 0, тем больше он уменьшит ошибку.
Можно исследовать ПЭВ для проектов или глобальных моделей с помощью средства просмотра дисперсии ошибок прогнозирования. Открыв его в редакторе конструкции, можно увидеть, насколько хорошо базовая модель предсказывает область конструкции. При открытии из глобальной модели можно просмотреть, насколько хорошо предсказывается текущая глобальная модель. Низкий ПЭВ (стремящийся к нулю) означает, что в этот момент получаются хорошие прогнозы. См. раздел Средство просмотра отклонений ошибок прогнозирования.
Сведения о расчете ПЭВ для двухступенчатых моделей см. в разделе Дисперсия ошибок прогнозирования для двухступенчатых моделей.
Очень полезно оценить степень точности прогнозов модели. Это можно сделать, просмотрев дисперсию ошибок прогнозирования (PEV). Дисперсия ошибок прогнозирования будет иметь тенденцию к быстрому росту в областях за пределами исходного пространства проектирования. В следующем разделе описывается расчет ПЭВ для двухступенчатых моделей.
Для линейных глобальных моделей, применяющих оператор дисперсии к уравнению 15, дает:
так
| (1) |
поскольку Var (P) = W. Предположим, что требуется вычислить как характеристики отклика, так и связанную с ними дисперсию ошибки прогнозирования для i-го теста. прогнозируемые характеристики отклика задаются:
| (2) |
где
- подходящая глобальная ковариатная матрица. Применение оператора дисперсии к уравнению 2 дает:
| (3) |
В общем, характеристики отклика являются нелинейными функциями коэффициентов локального приближения. Позвольте
обозначить нелинейную функцию, отображаемую
в.
Аналогично позвольте
обозначить обратное отображение.
| (4) |
Аппроксимация
с использованием первого ряда Тейлора, развернутого около (
истинное и неизвестное фиксированное значение совокупности) и после применения оператора дисперсии к результату:
| (5) |
где точка обозначает матрицу Якобиана по отношению к характеристикам отклика,.
Это подразумевает размерность
(pxp). Наконец, прогнозируемые значения отклика вычисляют из:
| (6) |
Опять же, после аппроксимации f с помощью первого ряда Тейлора и применения оператора дисперсии к результату:
| (7) |
После подстановки уравнения 3 в уравнение 7 получают желаемый результат:
| (8) |
Это уравнение дает значение отклонения ошибки прогнозирования.
| X 'X |
Инструмент оценки конструкции доступен только для линейных моделей.
Инструмент «Оценка конструкции» можно открыть в Редакторе конструкции или в окнах браузера модели. В редакторе проектирования выберите «Сервис» > «Оценить проекты» и выберите проект, который требуется оценить. В глобальном представлении «Браузер моделей» можно нажать
кнопку.

В инструменте оценки конструкции можно просмотреть всю информацию о корреляциях, ковариации, смешанном факторах и факторах изменения инфляции (VIF). Можно исследовать последствия включения или исключения терминов модели с помощью этой информации (их необходимо удалить в окне Пошаговый (Stepwise)). Интерпретации способствуют цветовые кодированные значения, основанные на величине чисел. Можно указать изменения в этих критериях.
При открытии инструмента «Оценка конструкции» представлением по умолчанию является таблица, как показано в предыдущем примере. Элементы для отображения выбираются из списка справа. Щелкните любой из элементов в списке, описанном ниже, чтобы изменить отображение. У некоторых элементов есть выбор кнопок, которые появляются под списком.
Для просмотра информации о каждом экране нажмите
кнопку на панели инструментов или выберите «Просмотр» > «Информация о матрице».
Можно применить карты цветов и фильтры к любым элементам в табличном представлении и изменить точность отображения.
Чтобы применить цветовую карту или изменить существующую, выполните следующие действия.
Выберите меню «Параметры» > «Таблица» > «Цвета». Откроется диалоговое окно Цвета таблицы (Table Colors).
Установите флажок Использовать карту цветов для визуализации значений матрицы.
Нажмите кнопку «Определить карту цветов». Появится диалоговое окно «Редактор карт цветов», в котором можно выбрать количество уровней для цветовой карты, а также цвета и значения, используемые для определения уровней. Некоторые таблицы имеют карты цветов по умолчанию, которые помогают анализировать информацию, описанную ниже.
Можно также использовать меню «Параметры» > «Таблица» для изменения точности (количества отображаемых значимых фигур) и применения фильтров, удаляющих определенные значения или значения выше или ниже определенного значения с экрана.
В строке состояния внизу слева отображается, активны ли карты цветов и фильтры на текущем виде.
При оценке нескольких проектов можно переключаться между ними с помощью кнопки панели инструментов «Следующий проект» или меню «Проект».
Xn/Xc: матрица контрольных точек расчетного/фактического коэффициента для эксперимента в натуральных или кодированных единицах. Переключаться между натуральными и кодированными единицами можно с помощью кнопок справа.
Полная матрица модели, показывающая все возможные термины в модели. Здесь можно включить и исключить термины из модели, щелкнув зеленые заголовки столбцов. При нажатии кнопки для удаления термина заголовок столбца становится красным, а весь столбец - серым.
Матрица Full FX аналогична матрице Jacobian для линейных моделей, если включены все члены. Якобиан включает только «в» терминах. В общем случае якобиан выражается:
(i, j) = df/dpj (xi)
В случае линейных моделей и RBF это упрощает:
(i, j) = j-й член, оцененный в i-ой точке данных = матрица Якобиана .
Здесь можно выбрать условия для включения в модель или исключения из нее, щелкнув значок. Вы можете переключить кнопку для каждого термина, нажав. При этом кнопка изменяется с in (зеленый) в out (красный) и наоборот. Затем можно просмотреть влияние этих изменений на других экранах.
Примечание
Удаление терминов модели влияет только на отображение в инструменте оценки конструкции. Если вы решите, что предлагаемые изменения будут полезны для вашей модели, вы должны вернуться в окно Пошаговое (Stepwise) и внести изменения в соответствии с новой моделью.
Z2: Матрица терминов, которые были удалены из модели. Если вы не удалили ни одного термина, основной экран будет пустым, кроме сообщения «Все термины в настоящее время включены в модель».
Как и матрица Z2, матрица псевдонимов также отображает термины, которые не включены в модель (и поэтому недоступна, если все термины включены в модель). Целью матрицы псевдонимов является отображение шаблона смешения в конструкции.
Ноль в поле указывает, что член строки (в настоящее время включенный в модель) не смешивается с термином столбца (в настоящее время отсутствует в модели). Полная строка нулей указывает, что термин в модели не смешивается ни с одним из терминов, исключенных из модели. Столбец нулей также указывает, что термин столбца (в настоящее время не в модели) может быть включен (но ценой уменьшения остаточных степеней свободы).
A: матрица псевдонимов определяется выражением
![]()
Поскольку в этой матрице также используются термины, не включенные в модель, она недоступна, если включены все термины.
Z2.1: Матрица, определенная выражением ![]()
Матрица регрессии. Состоит из терминов, включенных в модель.
где n - количество контрольных точек в конструкции, а p - число членов в модели.
При выборе Coefficient information, под списком появятся шесть кнопок. Ковариация отображается по умолчанию; нажмите кнопки, чтобы выбрать любой из остальных для отображения.
Ковариация. Cov (b): матрица дисперсии-ковариации для вектора коэффициента регрессии b.
![]()
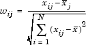
Корреляция. Corr (b): корреляционная матрица для вектора коэффициента регрессии b.
![]()
Корреляция имеет цветовую карту, чтобы помочь анализу. Цветовую карту можно просматривать и редактировать с помощью меню «Параметры» > «Таблица» > «Цвета».
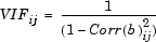
Частичные VIF. Коэффициенты инфляции дисперсии (VIF) являются мерой неоргогональности конструкции по отношению к выбранной модели. Полностью ортогональная конструкция имеет все VIF, равные единице.
Частичные VIF вычисляются на основе внедиагональных элементов Corr (b) как
для ![]()
Частичные VIF-файлы также имеют активную карту цветов по умолчанию (<1.2 черный, >1.2<1.4 оранжевый, >1.4 красный). Также применяется фильтр, удаляющий все значения в 0.1 из 1. В обычных конструкциях, таких как Box-Behnken, многие элементы являются ровно 1 и поэтому не обязательно должны отображаться; это плюс цветовое кодирование облегчает просмотр важных значений VIF. Цветовые карты и фильтры всегда можно редактировать или удалять.
Несколько VIF. Измерение неоргогональности конструкции. Множественные VIF определяются как диагональные элементы Corr (b):
![]()
Несколько VIF-файлов также имеют активную карту цветов по умолчанию (<8 черный, 8><10 оранжевый, >10 красный). Также применяется фильтр, удаляющий все значения в 0.1 из 1. Это еще раз облегчает просмотр интересующих ценностей.
2 Колонка Корр. Corr (X); корреляция для двух столбцов X.

Пусть W обозначает матрицу значений wij. Затем корреляционной матрицей для столбцов X (исключая столбец 1) является Corr (X), определенный как
Corr(X) = W'W
2 Корреляция столбцов имеет ту же карту цветов по умолчанию, что и Корреляция.
Единый термин VIF. Мера неортогональности конструкции. Единый термин VIF определяется как
для ![]()
Одномерные VIF имеют активную карту цветов по умолчанию (< 2 черных, 2 > красных) и значения в пределах 0,1 от 1 отфильтровываются, чтобы выделить интересующие значения.
Стандартная погрешность j-го коэффициента относительно RMSE.
Полная матрица шляпы. Матрица Шляпы.
H = QQ'
где Q является результатом QR разложения X. Q является
ортонормированной матрицей, а R является
матрицей.
Использование ценностей. Значения рычагов - это термины на ведущей диагонали H (матрица Hat). Значения рычагов имеют активную цветовую карту (< 0,8 черный, 0,8 > оранжевый < 0,9, > 0,9 красный).
D; определитель X 'X.
D можно вычислить из QR разложения X следующим образом:
![]()
где p - количество членов в выбранной модели.
Это можно просмотреть в трех формах:
![]()
![]()
![]()
Ковариация. Cov (e): матрица дисперсии-ковариации для остатков.
Cov(e) = (I-H)
Корреляция. Корреляционная матрица для остатков.
![]()
Чтобы просмотреть таблицу Степени свободы (Degrees of Freedom) (и информацию о каждом отображении), нажмите
кнопку на панели инструментов или выберите Вид (View) > Информация матрицы (Matrix Information).

| Источник | D.F. |
|---|---|
Модель | p |
Остаток | n-p |
Повторение | по расчету |
Отсутствие подгонки | по расчету |
Общее количество | n |
Репликация определяется следующим образом:
Пусть будут nj (> 1) репликации в j-ой реплицированной точке. Тогда степенями свободы для репликации являются
![]()
и Отсутствие подгонки задается n-p-степенями свободы для репликации.
Примечание.Репликация существует там, где две строки X идентичны. В обычных конструкциях уровни факторов четко разнесены, и концепция репликации однозначна. Однако в некоторых ситуациях интервал может быть менее четким, поэтому допуск устанавливается равным 0,005 (кодированные единицы) во всех факторах. Точки должны находиться в пределах этого допуска, чтобы считаться реплицированными.

Инструмент оценки конструкции имеет опции для отображения 1D, 2D, 3D и 4D. Переключиться на них можно с помощью кнопок панели инструментов или с помощью меню «Вид».
Доступные экраны зависят от категории информации, выбранной в списке. Для матрицы «Дизайн» (Design) (с достаточным количеством входных данных) доступны все опции. Для терминов модели опции отображения отсутствуют.
Свойства всех дисплеев можно изменить с помощью меню «Параметры». Можно настроить линии сетки и цвета фона. На экране 2D изображения можно щелкнуть точки на изображении, чтобы увидеть их значения. Все 3D дисплеи можно поворачивать как обычно. Все панели цветовой карты можно редактировать двойным щелчком мыши.
Вся информация, отображаемая в инструменте оценки конструкции, может быть экспортирована в рабочую область или в.mat с помощью переключателей и кнопки Export в правом нижнем углу. В поле редактирования можно ввести имя переменной.