Можно добавлять блоки в сигнал, удалять блоки из моделей и перерисовывать соединения. Предположим, что требуется добавить смещение на вход в обе ветви модели и экспортировать результаты в рабочую область MATLAB ® вместо блока области. Предположим, вы также хотите добавить в подсистему дополнительные блоки и другой вывод.
Добавление блока смещения в модель и установка для параметра смещения значения 2.
Перетащите блок на сигнальную линию после блока синусоидальной волны, но перед ветвью. Если нужно освободить место для блока, перетащите блок синусоидальной волны влево или переместите конец ветви, перетащив его вправо.
При перетаскивании блока на сигнальную линию блок соединяется с сигнальной линией на обоих концах. Отпустите блок, когда вы удовлетворены позицией.

Удалите верхний блок области. Если требуется отсоединить его от модели, но удалить его не требуется, нажмите и удерживайте клавишу Shift и перетащите блок. Вырезать или удалить его, нажав клавиши Ctrl + X или Delete. Разорванное соединение отображается красной пунктирной линией.
Совет
При удалении блока, имеющего один вход и один выход, синяя линия предлагает соединение между пунктирными линиями. Щелкните синюю линию для подключения сигналов.
Добавьте блок «В рабочую область» в конце разорванного соединения. Блок «В рабочую область» выводит результаты в переменную в рабочей области MATLAB.
Добавьте в модель блок синусоидальной волны и задайте для амплитуды значение 5. Поместите его слева от подсистемы.
Добавьте другой вход в подсистему. Перетащите линию из нового блока синусоидальной волны в левую часть подсистемы. В подсистеме появится новый порт.

Либо щелкните на стороне блока и выберите тип создаваемого порта.

Для определенных блоков эти действия добавляют порт ввода или порт вывода. Например, порт появляется в подсистеме при подключении к ней линии. Другие блоки, добавляющие порты, включают блоки Bus Creator, Scope, Add и Product.
Добавьте вывод в подсистему. Добавьте в модель другой блок «В рабочую область» и поместите его справа от подсистемы. Перетащите линию из входного порта в правую часть подсистемы. В подсистеме появится новый порт.

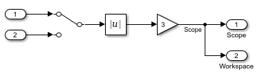
Откройте подсистему и переименуйте рабочую область блока Out2. Добавьте в подсистему блок ручного переключения. Измените его размер и подключите, как показано на рисунке. Ответвление сигнала после блока «Усиление» для направления выходного сигнала в блок «В рабочую область».

Затем вернитесь на верхний уровень модели. На рисунке показана текущая модель.

Моделирование модели.
out переменная появляется в рабочей области MATLAB. Дважды щелкните переменную, чтобы просмотреть результаты.
Если вы хотите использовать вторую синусоидальную волну в качестве входа в подсистему, откройте подсистему и дважды щелкните переключатель. Входные данные изменяются на In2 блок. Смоделировать еще раз.
Совет
Чтобы смоделировать модель без эффектов блока смещения, щелкните правой кнопкой мыши блок смещения и выберите команду Комментарий через (Comment Through). Блок остается в модели, но не влияет на операцию. Щелкните правой кнопкой мыши блок смещения и выберите «Разкомментировать», чтобы включить блок. Команда Comment Out комментирует выходной сигнал блока, поэтому данные сигнала не проходят.