Предположим, что требуется умножить абсолютное значение выходного сигнала блока синусоидальной волны. Для этого можно добавить в модель блок Abs и другой блок усиления, используя различные методы поиска и добавления блоков.
Если известно имя добавляемого блока, можно воспользоваться меню быстрой вставки. Дважды щелкните в том месте, где требуется добавить блок, и введите имя блока. В этом случае введите gain.

Предложения динамически ранжируются на основе последней истории использования блоков.
Щелкните имя блока или, если имя блока выделено, нажмите Enter. Чтобы выделить имя блока, если оно не было первым в списке, используйте клавиши со стрелками.
В некоторых блоках отображается запрос на ввод значения одного из параметров блока. Блок усиления предлагает ввести значение усиления. Напечатать 3 и нажмите Enter.
Чтобы выполнить абсолютное значение, добавьте блок Abs. Предположим, что вы не знаете библиотеку, в которой находится блок, или полное имя блока. Поиск можно выполнить с помощью поля поиска в браузере библиотеки. Откройте обозреватель библиотек. В поле поиска введите abs и нажмите Enter. Когда вы найдете блок Abs, добавьте его слева от нового блока усиления.
Добавьте еще один блок области. Можно щелкнуть правой кнопкой мыши существующий блок области и перетащить его для создания копии или использовать команды «Копировать» и «Вставить».
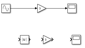
На рисунке показано текущее состояние модели.

Вход второго блока усиления является абсолютным значением выхода блока синусоидальной волны. Чтобы использовать один блок синусоидальной волны в качестве входного сигнала для обеих операций усиления, создайте ответвление из выходного сигнала блока синусоидальной волны.
Для первого набора блоков в модели использовались направляющие горизонтальной трассы, помогающие выровнять и соединить их. Можно также использовать направляющие для выравнивания блоков по вертикали. Перетащите второй блок «Scope» так, чтобы он располагался под первым блоком. Отпустите ее, если вертикальная направляющая выравнивания показывает, что блоки выровнены.

Можно щелкнуть порт, чтобы определить совместимые порты, которые могут быть к нему подключены. Рядом с
совместимыми элементами появляется синий символ шеврона.
Щелкните выходной порт блока усиления.

Укажите
, чтобы увидеть ключ подключения.

Нажмите кнопку, чтобы подключить блок усиления к блоку области.
![]()
Подключите выходной порт блока Abs к входному порту блока усиления.

Создайте ветвь из вывода блока синусоидальной волны в блок Abs. Щелкните входной порт блока Abs. Переместите курсор к линии выходного сигнала из блока синусоидальной волны. Появится строка предварительного просмотра. Щелкните, чтобы создать ветвь.

Можно также запустить ветвь, щелкнув сегмент линии и переместив курсор к порту.
Назовите сигналы. Дважды щелкните сигнальную линию между нижним блоком усиления и блоком области и введите Scope. Метка появляется рядом с сигнальной линией.

Попробуйте использовать следующие методы для добавления или подключения блоков:
Чтобы получить список рекомендуемых блоков для подключения к неподключенной сигнальной линии, перетащите фигуру из порта блока и отпустите ее так, чтобы появилась красная пунктирная линия. Дважды щелкните конец строки, чтобы воспользоваться меню быстрой вставки. Предлагаемые блоки для текущего контекста отображаются в меню. Можно выбрать один из перечисленных блоков.
Чтобы улучшить предложения меню, основанные на проектах модели, см. раздел Улучшение результатов быстрой вставки блоков.
Чтобы найти блок по имени, дважды щелкните холст и введите имя блока, чтобы получить список блоков, который начинается с введенных символов. Для пользовательских библиотечных блоков можно ввести ключевое слово блока, если ему назначен автор библиотеки. Список ранжируется на основе вашей недавней истории использования блоков.
Чтобы подключить один порт к нескольким блокам, щелкните порт, а затем удерживайте клавишу Shift, прежде чем щелкнуть другой порт. Нажатие клавиши Shift позволяет создавать несколько последовательных соединений. Например, удерживая клавишу Shift, можно выполнить ответвление новой сигнальной линии и одним щелчком подключить ее к другому порту или сигнальной линии.
Чтобы соединить блоки, выделите первый блок и нажмите Ctrl + щелкните блок, к которому требуется подключить блок. Этот метод полезен, если требуется подключить блоки с несколькими входами и выходами, например, несколько блоков, к шине или двум подсистемам с несколькими портами. Как и при щелчке по двум портам, этот метод полезен, если не требуется выравнивать блоки. Сигнальная линия изгибается по мере необходимости для соединения.

Чтобы создать диагональную линию из отрезков линии, нажмите клавишу Shift и перетащите вершину.

Совет
Чтобы улучшить форму сигнальной линии, выберите линию и сделайте паузу на появившемся многоточии. На панели операций выберите «Автотрассировка линий». Линия перерисовывается, если возможна лучшая трасса между элементами модели. Чтобы улучшить трассировку линий для выбранного блока или для нескольких элементов модели, выбранных путем перетаскивания поля выбора, выберите «Автотрассировка линий» на панели операций.
Блоки можно группировать в подсистемы и блоки меток, подсистемы и сигналы. Дополнительные сведения о подсистемах см. в разделе Создание подсистем.
Перетащите рамку выбора вокруг блока Abs и рядом с ним блока Gain.
Наведите курсор на многоточие, появляющееся в углу поля выбора. На панели действий выберите Создать подсистему.

Вместо выбранных блоков в модели появится блок Подсистема (Subsystem). На значке блока подсистемы метки описывают порты ввода и вывода по индексу или имени.

Примечание
Порт можно разместить на любой стороне блока подсистемы. Чтобы переместить порт, щелкните и перетащите его вокруг блока.
Чтобы изменить размер блока «Подсистема» для наилучшего вписывания в модель, перетащите маркеры перемещения блоков.
Присвойте подсистеме значимое имя. Выберите блок, дважды щелкните на имени и введите Absolute Value. При присвоении имени блоку имя появляется в модели.
Откройте подсистему абсолютного значения, дважды щелкнув ее. Либо щелкните подсистему правой кнопкой мыши и выберите Открыть на новой вкладке.
Подсистема содержит блоки и сигнал, выбранные в качестве основы подсистемы. Они последовательно соединены с двумя новыми блоками: блоком Inport и блоком Outport. Блоки Inport и Outport соответствуют входному и выходному портам подсистемы. Создание подсистемы на основе выбора, включающего именованный сигнал, добавляет имя сигнала в соответствующий блок Inport или Outport.

Нажмите кнопку Вверх до родительского (Up to Parent
), чтобы вернуться на верхний уровень модели.
Совет
Для навигации по иерархии модели можно использовать панель проводника. Например, чтобы вернуться к родительской модели, щелкните имя родительской модели.
![]()
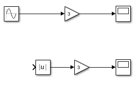
На рисунке показана модель после создания подсистемы и ее наименования.
