Модель уменьшенного порядка для БПЛА
Инструментарий БПЛА/Алгоритмы

Блок модели наведения представляет собой модель наведения небольшого беспилотного летательного аппарата (БПЛА), которая оценивает состояние БПЛА на основе контрольных и экологических данных. Модель аппроксимирует поведение замкнутой системы, состоящей из контроллера автопилота и неподвижной или мультироторной кинематической модели для 3-D движения. Используйте этот блок в качестве модели наведения уменьшенного порядка для имитации своего БПЛА с фиксированным или многороторным управлением. Укажите тип модели, чтобы выбрать тип БПЛА. С помощью вкладки Initial State укажите начальное состояние БПЛА в зависимости от типа модели. На вкладке «Конфигурация» определяются параметры управления и физические параметры БПЛА.
Control - Управляющие командыКоманды управления, посылаемые на модель БПЛА, заданную как шина. Наименование входной шины указано в наименованиях входных/выходных шин.
Для многороторных БПЛА модель аппроксимируется как отдельные контроллеры ПД для каждой команды. Элементы шины - управляющая команда:
Roll - Угол крена в радианах.
Pitch - Угол тангажа в радианах.
YawRate - скорость рыскания в радианах в секунду. (D = 0. Только контроллер P)
Thrust - Вертикальная тяга БПЛА в Ньютонах. (D = 0. Только контроллер P)
Для БПЛА на модели предполагается, что БПЛА летит в режиме скоординированного поворота. Уравнения модели направления предполагают нулевое боковое скольжение. Элементами шины являются:
Height - высота над землей в метрах.
Airspeed - скорость БПЛА относительно ветра в метрах в секунду.
RollAngle - Угол крена вдоль прямой оси корпуса в радианах. Из-за условия скоординированного поворота угловая скорость курса основана на угле крена.
Environment - Экологические затратыИсходные данные для окружающей среды, указанные как шина. Модель компенсирует эти входные данные для окружающей среды при попытке достижения предписанных мер управления.
Для БПЛА, элементами автобуса являются WindNorth, WindEast,WindDown, и Gravity. Скорости ветра в метрах в секунду и отрицательные скорости указывают в обратном направлении. Gravity в метрах в секунду в квадрате.
Для многороторных БПЛА единственным элементом шины является Gravity в метрах в секунду в квадрате.
Типы данных: bus
State - Имитированное состояние БПЛАСмоделированное состояние БПЛА, возвращенное в виде шины. Блок использует Control и Environment входы с уравнениями модели наведения для моделирования состояния БПЛА.
Для многороторных БПЛА состоянием является пятиэлементная шина:
WorldPosition - [x y z] в метрах.
WorldVelocity - [vx vy vz] в метрах в секунду.
EulerZYX - [psi phi theta] Эйлеровы углы в радианах.
BodyAngularRateRPY - [r p q] в радианах в секунду вдоль xyz- топоры БПЛА.
Тяга - F в Ньютонсе.
Для БПЛА с фиксированным крылом государство представляет собой восьмиэлементную шину:
Север - положение в северном направлении в метрах.
Восток - Положение в восточном направлении в метрах.
Высота - высота над землей в метрах.
AirSpeed - скорость относительно ветра в метрах в секунду.
Угол - угол между скоростью земли и направлением на север в радианах.
«FlireImageAngle» - угол между скоростью земли и северо-восточной плоскостью в радианах.
Угол поворота - угол поворота вдоль оси x тела в радианах в секунду.
RollAneyRate - угловая скорость вращения вдоль оси x тела в радианах в секунду.
Типы данных: bus
ModelType - тип модели наведения БПЛАMultirotorGuidance (по умолчанию) | FixedWingGuidanceТип модели наведения БПЛА, указанный как MultirotorGuidance или FixedWingGuidance. Тип модели определяет элементы БПЛА State и необходимые Control и Environment входные данные.
Настраиваемый: Нет
DataType - Типы входных и выходных числовых данныхdouble (по умолчанию) | singleВходные и выходные числовые типы данных, указанные как double или single. Выберите тип данных, основываясь на возможных ограничениях программного или аппаратного обеспечения.
Настраиваемый: Нет
Simulate using - Тип выполняемого моделированияInterpreted execution (по умолчанию) | Code generationCode generation - Моделирование модели с использованием сгенерированного кода C. При первом запуске моделирования Simulink ® генерирует код C для блока. Код C используется повторно для последующего моделирования, если модель не изменяется. Эта опция требует дополнительного времени запуска, но скорость последующего моделирования сравнима сInterpreted execution.
Interpreted execution - Моделирование модели с помощью интерпретатора MATLAB ®. Эта опция сокращает время запуска, но имеет более низкую скорость моделирования, чемCode generation. В этом режиме можно отладить исходный код блока.
Настраиваемый: Нет
Initial State - Вкладка «Исходное состояние БПЛА»Начальная вкладка состояния БПЛА, заданная как несколько записей таблицы. Все записи на этой вкладке не настраиваются.
Для многороторных БПЛА начальное состояние:
Положение в мире - [x y z] в метрах.
Мировая скорость - [vx vy vz] в метрах в секунду.
Эйлер Энглс (ZYX) - [psi phi theta] в радианах.
Угловые скорости тела - [p q r] в радианах в секунду.
Тяга - F в Ньютонсе.
Для БПЛА с фиксированным крылом начальное состояние:
Север - положение в северном направлении в метрах.
Восток - Положение в восточном направлении в метрах.
Высота - высота над землей в метрах.
Скорость воздуха - скорость относительно ветра в метрах в секунду.
Курс Угол - угол между скоростью земли и направлением на север в радианах.
Угол траектории полета - угол между наземной скоростью и северо-восточной плоскостью в радианах.
Угол крена - угол поворота вдоль оси x тела в радианах в секунду.
Угловая скорость крена - угловая скорость вращения вдоль оси x тела в радианах в секунду.
Настраиваемый: Нет
Configuration - Вкладка конфигурации контроллера БПЛАВкладка конфигурации контроллера БПЛА, заданная как несколько записей таблицы. Эта вкладка позволяет настроить параметры поведения внутреннего контроля БПЛА. Укажите пропорциональный (P) и производный (D) выигрыши для динамической модели и массу БПЛА в килограммах (для мультироторного).
Для многороторных БПЛА используются следующие параметры:
Рулон ПД
Шаг ПД
P YawRate
Р Тяга
Масса (кг)
Для БПЛА с БПЛА параметрами являются:
Высота P
Угол траектории полета P
Рулон ПД
P Скорость воздуха
Мин./макс. угол траектории полета ([min max] угол в радианах)
Настраиваемый: Нет
Input/Output Bus Names - Вкладка «Simulink bus signal names» (именаВкладка «Simulink bus signal names» (Имена сигналов шины симулирования), заданная как несколько записей символьных векторов. Эти шины имеют наименование по умолчанию, основанное на модели БПЛА и типе ввода. Чтобы использовать несколько моделей наведения в одной модели Simulink, укажите разные имена шин, которые не пересекаются. Все записи на этой вкладке не настраиваются.
БПЛА Toolbox™ использует соглашение о системе координат «Северо-Восток-Вниз» (NED), которое также иногда называют локальной касательной плоскостью (LTP). Вектор положения БПЛА состоит из трех чисел для положения вдоль северной оси, восточной оси и вертикального положения. Нисходящий элемент соответствует правому правилу и приводит к отрицательным значениям для увеличения высоты.
Предполагается, что заземляющая плоскость, или заземляющая рамка (плоскость NE, D = 0), является инерционной плоскостью, которая является плоской на основе рабочей области для управления малым БЛА. Координаты земного каркаса - [xe, ye, ze]. Корпус БПЛА крепится к центру масс координатами [xb, yb, zb]. xb является предпочтительным направлением вперед БПЛА, и zb перпендикулярен плоскости, которая указывает вниз, когда БПЛА перемещается во время идеального горизонтального полета.
Ориентация БПЛА (корпуса) указана в углах ZYX Euler. Для преобразования из земного каркаса в каркас кузова сначала поворачиваем вокруг оси ze на угол рыскания, start. Затем поверните вокруг промежуточной оси y на угол тангажа. Затем поверните вокруг промежуточной оси X на угол крена, ϴ.
Угловая скорость БПЛА представлена [p, q, r] относительно осей корпуса, [xb, yb, zb].
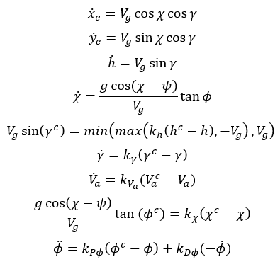
Для БПЛА с БПЛА используются следующие уравнения для определения модели наведения БПЛА. Используйте derivative функция вычисления производной по времени состояния БПЛА с использованием этих управляющих уравнений. Укажите входные данные с помощью state, control, и environment функции.
Положение БПЛА в земном кадре составляет [xe, ye, h] с ориентацией в качестве угла курса, угла траектории полета и угла крена, [λ, γ, λ] в радианах.
Модель предполагает, что БПЛА летит в режиме скоординированного поворота, с нулевым боковым скольжением. Автопилот управляет скоростью, высотой и углом крена. Соответствующими уравнениями движения являются:

Va и Vg обозначают воздушную и наземную скорости БПЛА.
Скорость ветра определяется как [Vwn, Vwe, Vwd] для северного, восточного и нисходящего направлений. Чтобы создать структуру для этих входных данных, используйте environment функция.
k * - коэффициенты усиления контроллера. Чтобы указать эти выигрыши, используйте Configuration имущества fixedwing объект.
Из этих управляющих уравнений модель даёт следующие переменные: ![]()
Эти переменные соответствуют выходному сигналу state функция.
Для мультироторов для определения модели наведения БПЛА используются следующие уравнения. Для вычисления производной по времени состояния БПЛА с помощью этих управляющих уравнений используйте derivative функция. Укажите входные данные с помощью state, control, и environment.
Положение БПЛА в земной рамке - [xe, ye, ze] с ориентацией в виде углов ZYX Эйлера, [, ϴ, Угловые скорости составляют [p, q, r] в радианах в секунду.
В кадре корпуса БПЛА используются координаты [xb, yb, zb].
Матрица вращения, которая вращается от мира к корпусу, является:

cos (x) и sin (x) сокращенно обозначаются как cx и sx.
Ускорение центра масс БПЛА в земных координатах регулируется:

m - масса БПЛА, g - гравитация, а Fthrust - суммарная сила, создаваемая винтами, приложенными к мультиротору по оси -zb (указывает вверх в горизонтальной позе).
Контроллер ориентации крена с замкнутым контуром аппроксимируется поведением 2 независимых контроллеров PD для двух углов поворота и 2 независимых контроллеров P для скорости рыскания и тяги. Угловая скорость, угловое ускорение и тяга определяются:

Эта модель предполагает, что автопилот берет в списке, которым командуют, подаче, темпе отклонения от курса, [ψc, ϴc, ϕ.c] и полная сила толчка, которой командуют, Fcthrust. Структура для указания этих входных данных генерируется из control.
Коэффициенты усиления P и D для управляющих входов задаются как KPα и KDα, где α - либо угол поворота, либо тяга. Эти усиления вместе с массой БПЛА, м, указаны в Configuration имущества multirotor объект.
Из этих управляющих уравнений модель даёт следующие переменные: ![]()
Эти переменные соответствуют выходному сигналу state функция.
[1] Рэндал У. Борода и Тимоти У. Маклейн. «Глава 9.» Теория и практика малых беспилотных летательных аппаратов, Нью-Джерси: Принстонский университет, пресса, 2012.
[2] Меллинджер, Дэниел и Натан Майкл. «Генерация траектории и управление для точных агрессивных маневров с квадроторами». Международный журнал исследований робототехники. 2012, стр. 664-74.
1. Если смысл перевода понятен, то лучше оставьте как есть и не придирайтесь к словам, синонимам и тому подобному. О вкусах не спорим.
2. Не дополняйте перевод комментариями “от себя”. В исправлении не должно появляться дополнительных смыслов и комментариев, отсутствующих в оригинале. Такие правки не получится интегрировать в алгоритме автоматического перевода.
3. Сохраняйте структуру оригинального текста - например, не разбивайте одно предложение на два.
4. Не имеет смысла однотипное исправление перевода какого-то термина во всех предложениях. Исправляйте только в одном месте. Когда Вашу правку одобрят, это исправление будет алгоритмически распространено и на другие части документации.
5. По иным вопросам, например если надо исправить заблокированное для перевода слово, обратитесь к редакторам через форму технической поддержки.