exponenta event banner

qmr

Решающая система линейных уравнений - метод квази-минимальных невязок

Описание

пример

x = qmr(A,b) пытается решить систему линейных уравнений A*x = b для x использование метода квази-минимальных невязок. Когда попытка успешна, qmr отображение сообщения для подтверждения сходимости. Если qmr не сходится после максимального количества итераций или остановок по какой-либо причине, оно отображает диагностическое сообщение, которое включает относительную невязку norm(b-A*x)/norm(b) и номер итерации, на котором остановился метод.

пример

x = qmr(A,b,tol) задает допуск для метода. Допуск по умолчанию 1e-6.

пример

x = qmr(A,b,tol,maxit) задает максимальное количество итераций для использования. qmr отображает диагностическое сообщение, если оно не сходится в maxit итераций.

пример

x = qmr(A,b,tol,maxit,M) задает матрицу предварительной подготовки M и вычисляет x путем эффективного решения системы M1Ax=M1b. Использование матрицы предкондиционера может улучшить числовые свойства задачи и эффективность вычисления.

пример

x = qmr(A,b,tol,maxit,M1,M2) задает факторы матрицы предкондиционера M таким образом M = M1*M2.

пример

x = qmr(A,b,tol,maxit,M1,M2,x0) задает начальное предположение для вектора решения x. По умолчанию это нулевой вектор.

пример

[x,flag] = qmr(___) возвращает флаг, который определяет, успешно ли сходился алгоритм. Когда flag = 0конвергенция прошла успешно. Можно использовать этот синтаксис выхода с любой из предыдущих комбинаций входных аргументов. Когда вы задаете flag выход, qmr не отображает никаких диагностических сообщений.

пример

[x,flag,relres] = qmr(___) также возвращает относительную невязку norm(b-A*x)/norm(b). Если flag является 0, затем relres <= tol.

пример

[x,flag,relres,iter] = qmr(___) также возвращает число итерации iter при котором x был вычислен.

пример

[x,flag,relres,iter,resvec] = qmr(___) также возвращает вектор нормы невязки при каждой итерации, включая первую невязку norm(b-A*x0).

Примеры

свернуть все

Решите квадратную линейную систему, используя qmr с настройками по умолчанию, а затем настроить допуск и количество итераций, используемых в процессе решения.

Создайте случайную разреженную матрицу A с плотностью 50%. Также создайте случайный вектор b для правой стороны Ax=b.

rng default
A = sprand(400,400,.5);
A = A'*A;
b = rand(400,1);

Решить Ax=b использование qmr. Выход отображения включает в себя значение относительной остаточной ошибки b-Axb.

x = qmr(A,b);
qmr stopped at iteration 20 without converging to the desired tolerance 1e-06
because the maximum number of iterations was reached.
The iterate returned (number 20) has relative residual 0.12.

По умолчанию qmr использует 20 итераций и допуск 1e-6и алгоритм не может сходиться в этих 40 итерациях для этой матрицы. Поскольку невязка все еще велика, это хороший показатель того, что необходимо больше итераций (или матрица предкондиционера). Можно также использовать больший допуск, чтобы упростить сходимость алгоритма.

Снова решить систему с помощью допуска 1e-4 и 100 итераций.

x = qmr(A,b,1e-4,100);
qmr stopped at iteration 100 without converging to the desired tolerance 0.0001
because the maximum number of iterations was reached.
The iterate returned (number 100) has relative residual 0.06.

Даже с более свободным допуском и большим количеством итераций остаточная ошибка не сильно улучшается. Когда итерационный алгоритм застопорится таким образом, это хорошее указание на то, что необходима матрица предкондиционера.

Вычислите неполную факторизацию Холесского A, и использовать L' коэффициент как вход предкондиционера для qmr.

L = ichol(A);
x = qmr(A,b,1e-4,100,L');
qmr converged at iteration 76 to a solution with relative residual 6.7e-05.

Использование предкондиционера улучшает числовые свойства задачи достаточно, чтобы qmr способен сходиться.

Исследуйте эффект использования матрицы предкондиционера с qmr для решения линейной системы.

Загрузка west0479, действительная 479 на 479 несимметричная разреженная матрица.

load west0479
A = west0479;

Определите b чтобы истинное решение Ax=b является вектором всех таковых.

b = sum(A,2);

Установите допуск и максимальное количество итераций.

tol = 1e-12;
maxit = 20;

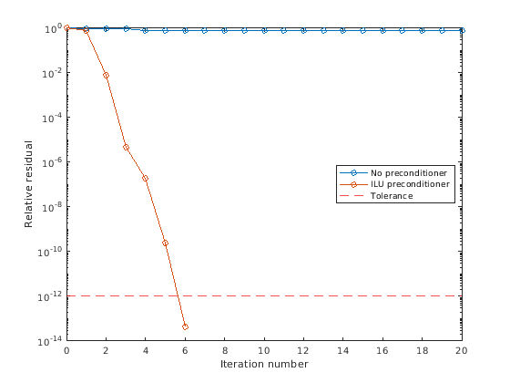
Использование qmr найти решение с требуемым допуском и количеством итераций. Укажите пять выходы, чтобы вернуть информацию о процессе решения:

  • x является вычисляемым решением для A*x = b.

  • fl0 является флагом, указывающим, сходился ли алгоритм.

  • rr0 - относительная невязка вычисляемого ответа x.

  • it0 - число итерации, когда x был вычислен.

  • rv0 является вектором остаточной истории для b-Ax.

[x,fl0,rr0,it0,rv0] = qmr(A,b,tol,maxit);
fl0
fl0 = 1
rr0
rr0 = 0.7984
it0
it0 = 17

fl0 равен 1, потому что qmr не сходится к запрошенному допуску 1e-12 в пределах запрошенных 20 итераций. 17-я итерация является лучшим приблизительным решением и возвращается как указано it0 = 17.

Для помощи с медленной сходимостью можно задать матрицу предкондиционера. Начиная с A несимметричен, используйте ilu чтобы сгенерировать предварительный кондиционер M=LU. Задайте допуск удаления, чтобы игнорировать недиагональные значения со значениями меньше 1e-6. Решение предварительно обусловленной системы M-1Ax=M-1b путем определения L и U в качестве входов в qmr.

setup = struct('type','ilutp','droptol',1e-6);
[L,U] = ilu(A,setup);
[x1,fl1,rr1,it1,rv1] = qmr(A,b,tol,maxit,L,U);
fl1
fl1 = 0
rr1
rr1 = 4.1557e-14
it1
it1 = 6

Использование ilu предварительное кондиционер создает относительную невязку меньше, чем предписанный допуск 1e-12 на шестой итерации. Область выхода rv1(1) является norm(b), и выходные rv1(end) является norm(b-A*x1).

Можно следить за прогрессом qmr путем построения графика относительных невязок при каждой итерации. Постройте график истории остатков каждого решения с линией для заданного допуска.

semilogy(0:length(rv0)-1,rv0/norm(b),'-o')
hold on
semilogy(0:length(rv1)-1,rv1/norm(b),'-o')
yline(tol,'r--');
legend('No preconditioner','ILU preconditioner','Tolerance','Location','East')
xlabel('Iteration number')
ylabel('Relative residual')

Figure contains an axes. The axes contains 3 objects of type line, constantline. These objects represent No preconditioner, ILU preconditioner, Tolerance.

Исследуйте эффект подачи qmr с начальным угадыванием решения.

Создайте трехугольную разреженную матрицу. Используйте сумму каждой строки в качестве вектора для правой оси графика Ax=b так, чтобы ожидаемое решение для x является вектором таковых.

n = 900;
e = ones(n,1);
A = spdiags([e 2*e e],-1:1,n,n);
b = sum(A,2);

Использование qmr решить Ax=b дважды: один раз с начальным предположением по умолчанию и один раз с хорошим начальным предположением решения. Используйте 200 итераций и допуск по умолчанию для обоих решений. Задайте начальное предположение во втором решении как вектор со всеми элементами, равными 0.99.

maxit = 200;
x1 = qmr(A,b,[],maxit);
qmr converged at iteration 27 to a solution with relative residual 9.5e-07.
x0 = 0.99*e;
x2 = qmr(A,b,[],maxit,[],[],x0);
qmr converged at iteration 7 to a solution with relative residual 6.7e-07.

В этом случае подача начального предположения включает qmr чтобы сходиться быстрее.

Возврат промежуточных результатов

Вы также можете использовать начальное предположение, чтобы получить промежуточные результаты по вызову qmr в цикле for-. Каждый вызов решателя выполняет несколько итераций и сохраняет вычисленное решение. Затем вы используете это решение в качестве начального вектора для следующего пакета итераций.

Для примера этот код выполняет 100 итераций четыре раза и сохраняет вектор решения после каждого прохода в цикле for-loop:

x0 = zeros(size(A,2),1);
tol = 1e-8;
maxit = 100;
for k = 1:4
    [x,flag,relres] = qmr(A,b,tol,maxit,[],[],x0);
    X(:,k) = x;
    R(k) = relres;
    x0 = x;
end

X(:,k) вектор решения вычисляется при итерации k системы for-loop и R(k) - относительная невязка этого решения.

Решить линейную систему путем предоставления qmr с указателем на функцию, который вычисляет A*x и A'*x вместо матрицы коэффициентов A.

Создайте несимметричную тридиагональную матрицу. Предварительный просмотр матрицы.

A = gallery('wilk',21) + diag(ones(20,1),1)
A = 21×21

    10     2     0     0     0     0     0     0     0     0     0     0     0     0     0     0     0     0     0     0     0
     1     9     2     0     0     0     0     0     0     0     0     0     0     0     0     0     0     0     0     0     0
     0     1     8     2     0     0     0     0     0     0     0     0     0     0     0     0     0     0     0     0     0
     0     0     1     7     2     0     0     0     0     0     0     0     0     0     0     0     0     0     0     0     0
     0     0     0     1     6     2     0     0     0     0     0     0     0     0     0     0     0     0     0     0     0
     0     0     0     0     1     5     2     0     0     0     0     0     0     0     0     0     0     0     0     0     0
     0     0     0     0     0     1     4     2     0     0     0     0     0     0     0     0     0     0     0     0     0
     0     0     0     0     0     0     1     3     2     0     0     0     0     0     0     0     0     0     0     0     0
     0     0     0     0     0     0     0     1     2     2     0     0     0     0     0     0     0     0     0     0     0
     0     0     0     0     0     0     0     0     1     1     2     0     0     0     0     0     0     0     0     0     0
      ⋮

Поскольку эта тридиагональная матрица имеет специальную структуру, можно представлять операцию A*x с указателем на функцию. Когда A умножает вектор, большинство элементов получившегося вектора являются нулями. Ненулевые элементы в результате соответствуют ненулевым триидиагональным элементам A.

Выражение Ax становится:

Ax=[1020019200120010010200110][x1x2x3x21]=[10x1+2x2x1+9x2+2x3x19+9x20+2x21x20+10x21].

Получившийся вектор может быть записан как сумма трех векторов:

Ax=[10x1+2x2x1+9x2+2x3x19+9x20+2x21x20+10x21]=[0x1x2x20]+[10x19x29x2010x21]+2[x2x3x210].

Аналогично, выражение для ATx становится:

ATx=[1010029100210020010100210][x1x2x3x21]=[10x1+x22x1+9x2+x32x19+9x20+x212x20+10x21].

ATx=[10x1+x22x1+9x2+x32x19+9x20+x212x20+10x21]=2[0x1x2x20]+[10x19x29x2010x21]+[x2x3x210].

В MATLAB ® запишите функцию, которая создает эти векторы и добавляет их вместе, таким образом придавая значение A*x или A'*x, в зависимости от входного параметра флага:

function y = afun(x,flag)
if strcmp(flag,'notransp') % Compute A*x
    y = [0; x(1:20)] ...
        + [(10:-1:0)'; (1:10)'].*x ...
        + 2*[x(2:end); 0];
elseif strcmp(flag,'transp') % Compute A'*x
    y = 2*[0; x(1:20)] ...
        + [(10:-1:0)'; (1:10)'].*x ...
        + [x(2:end); 0];
end
end

(Эта функция сохранена как локальная функция в конце примера.)

Теперь решите линейную систему Ax=b путем предоставления qmr с указателем на функцию, который вычисляет A*x и A'*x. Используйте допуск 1e-6 и 25 итераций. Определить b как суммы строк A так что истинное решение для x является вектором таковых.

b = full(sum(A,2));
tol = 1e-6;  
maxit = 25;
x1 = qmr(@afun,b,tol,maxit)
qmr converged at iteration 19 to a solution with relative residual 4.7e-07.
x1 = 21×1

    1.0000
    1.0000
    1.0000
    1.0000
    1.0000
    1.0000
    1.0000
    1.0000
    1.0000
    1.0000
      ⋮

Локальные функции

function y = afun(x,flag)
if strcmp(flag,'notransp') % Compute A*x
    y = [0; x(1:20)] ...
        + [(10:-1:0)'; (1:10)'].*x ...
        + 2*[x(2:end); 0];
elseif strcmp(flag,'transp') % Compute A'*x
    y = 2*[0; x(1:20)] ...
        + [(10:-1:0)'; (1:10)'].*x ...
        + [x(2:end); 0];
end
end

Входные параметры

свернуть все

Матрица коэффициентов, заданная как квадратная матрица или указатель на функцию. Эта матрица является матрицей коэффициентов в линейной системе A*x = b. Обычно A является большой разреженной матрицей или указателем на функцию, который возвращает продукту больших разреженной матрицы и вектора-столбца.

Определение A как указатель на функцию

Можно опционально задать матрицу коэффициентов как указатель на функцию вместо матрицы. Указатель на функцию возвращает матрично-векторные продукты вместо формирования всей матрицы коэффициентов, что делает вычисление более эффективным.

Чтобы использовать указатель на функцию, используйте сигнатуру функции function y = afun(x,opt). Параметризация функций объясняет, как предоставить дополнительные параметры функции afun, при необходимости. Функция afun должны удовлетворять следующим условиям:

  • afun(x,'notransp') возвращает A*x продукта.

  • afun(x,'transp') возвращает A'*x продукта.

Примером приемлемой функции является:

function y = afun(x,opt,B,C,n)
if strcmp(opt,'notransp')
    y = [B*x(n+1:end); C*x(1:n)];
else
    y = [C'*x(n+1:end); B'*x(1:n)];
end
Функция afun использует значения в B и C для вычисления любой из A*x или A'*x (в зависимости от заданного флага) без фактического формирования всей матрицы.

Типы данных: double | function_handle
Поддержка комплексного числа: Да

Правая сторона линейного уравнения, заданная как вектор-столбец. Длина b должно быть равно size(A,1).

Типы данных: double
Поддержка комплексного числа: Да

Допуск метода, заданный как положительная скалярная величина. Используйте этот вход для точности компромисса и времени выполнения в вычислении. qmr должен соответствовать допуску в пределах количества разрешенных итераций, которые должны быть успешными. Меньшее значение tol означает, что ответ должен быть более точным, чтобы вычисление было успешным.

Типы данных: double

Максимальное количество итераций, заданное как положительное скалярное целое число. Увеличьте значение maxit чтобы разрешить больше итераций для qmr для достижения допуска tol. Обычно меньшее значение tol означает, что для успешного завершения вычисления требуется больше итераций.

Матрицы Preconditioner, заданные как отдельные аргументы матриц или указателей на функцию. Можно задать матрицу предварительной подготовки M или его матричные множители M = M1*M2 улучшить числовые аспекты линейной системы и облегчить ее qmr быстро сходиться. Для матриц квадратных коэффициентов можно использовать неполные функции матричного факторизации ilu и ichol чтобы сгенерировать матрицы preconditioner. Вы также можете использовать equilibrate перед факторизацией, чтобы улучшить число обусловленности матрицы коэффициентов. Для получения дополнительной информации о предварительных кондиционерах см. «Итерационные методы для линейных систем».

qmr рассматривает неопределенные предварительные кондиционеры как единичные матрицы.

Определение M как указатель на функцию

Вы можете опционально задать любой из M, M1, или M2 как указатели на функцию вместо матриц. Указатель на функцию выполняет матрично-векторные операции вместо того, чтобы сформировать целую матрицу предкондиционера, что делает вычисление более эффективным.

Чтобы использовать указатель на функцию, сначала создайте функцию с подписью function y = mfun(x,opt). Параметризация функций объясняет, как предоставить дополнительные параметры функции mfun, при необходимости. Функция mfun должны удовлетворять следующим условиям:

  • mfun(x,'notransp') возвращает значение M\x или M2\(M1\x).

  • mfun(x,'transp') возвращает значение M'\x или M1'\(M2'\x).

Примером приемлемой функции является:

function y = mfun(x,opt,a,b)  
if strcmp(opt,'notransp')
    y = x.*a;
else
    y = x.*b;
end
end
В этом примере функция mfun использует a и b для вычисления любой из M\x = x*a или M'\x = x*b (в зависимости от заданного флага) без фактического формирования всей матрицы M.

Типы данных: double | function_handle
Поддержка комплексного числа: Да

Начальное предположение, заданное как вектор-столбец с длиной, равной size(A,2). Если вы можете предоставить qmr с более разумным исходным предположением x0 чем нулевой вектор по умолчанию, то он может сэкономить время расчета и помочь алгоритму сходиться быстрее.

Типы данных: double
Поддержка комплексного числа: Да

Выходные аргументы

свернуть все

Решение линейной системы, возвращаемое как вектор-столбец. Этот выход дает приблизительное решение линейной системы A*x = b. Если вычисление успешно (flag = 0), затем relres меньше или равно tol.

Всякий раз, когда расчет не успешен (flag ~= 0), решение x возвращено qmr - это тот, с минимальной нормой невязки, вычисленной по всем итерациям.

Флаг сходимости, возвращенный как одно из скалярных значений в этой таблице. Флаг сходимости указывает, было ли вычисление успешным, и различает несколько различных форм отказа.

Значение флага

Сходимость

0

Успех - qmr сходился к желаемому допуску tol в пределах maxit итераций.

1

Отказ - qmr итерация maxit итерации, но не сходились.

2

Отказ - матрица предварительной подготовки M или M = M1*M2 является плохо обусловленной.

3

Отказ - qmr застоя после двух последовательных итераций были одинаковыми.

4

Отказ - Одна из скалярных величин, вычисленных qmr алгоритм стал слишком маленьким или слишком большим, чтобы продолжить вычисления.

Относительная остаточная ошибка, возвращенная как скаляр. Относительная остаточная ошибка relres = norm(b-A*x)/norm(b) является показателем точности ответа. Если вычисление сходится к допуску tol в пределах maxit итераций, затем relres <= tol.

Типы данных: double

Число итерации, возвращенное как скаляр. Этот выход указывает номер итерации, при котором вычисленный ответ для x была рассчитана.

Типы данных: double

Остаточная ошибка, возвращенная как вектор. Остаточная ошибка norm(b-A*x) показывает, насколько близок алгоритм к сходимости для заданного значения x. Количество элементов в resvec равно количеству итераций. Можно изучить содержимое resvec чтобы помочь решить, изменять ли значения tol или maxit.

Типы данных: double

Подробнее о

свернуть все

Метод квази-минимальных невязок

Алгоритм QMR был разработан как улучшение BiCG. В то время как GMRES использует ортогональный базис для подпространства Крылова и вычисляет минимальное остаточное решение, QMR использует двухортогональный базис и, следовательно, вычисляет только квазимименьшее остаточное решение.

QMR обычно сходится намного более плавно, чем BiCG, и он также использует перспективные методы, чтобы избежать поломок почти во всех случаях. Вычислительная стоимость QMR лишь немного выше, чем для BiCG [1].

Совет

  • Сходимость большинства итерационных методов зависит от числа обусловленности матрицы коэффициентов, cond(A). Вы можете использовать equilibrate улучшить число обусловленности Aи самостоятельно это облегчает сходимость большинства итерационных решателей. Однако использование equilibrate также приводит к более качественным матрицам предкондиционера, когда вы впоследствии факторизируете уравновешенную матрицу B = R*P*A*C.

  • Можно использовать матричные функции переупорядочивания, такие как dissect и symrcm чтобы переместить строки и столбцы матрицы коэффициентов и минимизировать количество ненулевых, когда матрица коэффициентов факторизирована, чтобы сгенерировать предварительное условие. Это может уменьшить память и время, необходимое для последующего решения предварительно обусловленной линейной системы.

Ссылки

[1] Barrett, R., M. Berry, T. F. Chan, et al., Templates for the Solution of Линейные Системы: Базовые блоки for Итерационные Методы, SIAM, Philadelphia, 1994.

[2] Freund, Roland W. and Nöel M. Nachtigal, «QMR: метод квази-минимальных невязок для неэрмитовских линейных систем», SIAM Journal: Numer. Математика. 60, 1991, с. 315-339.

Расширенные возможности

Представлено до R2006a