exponenta event banner

envspectrum

Огибающая спектра для диагностики машинного оборудования

Описание

пример

es = envspectrum(x,fs) возвращает огибающую спектра сигнала x дискретизация по скорости fs. Если x является матрицей, затем функция вычисляет огибающую спектра независимо для каждого столбца и возвращает результат в соответствующем столбце es.

пример

es = envspectrum(xt) возвращает огибающую спектра сигнала, сохраненного в MATLAB® timetable xt.

пример

es = envspectrum(___,Name,Value) задает дополнительные опции для любого из предыдущих синтаксисов, используя аргументы пары "имя-значение". Опции включают алгоритм, используемый для вычисления огибающего сигнала, и полоса частот, по которому можно оценить спектр.

[es,f,env,t] = envspectrum(___) возвращает f, вектор частот, на которых es вычисляется; env, огибающий сигнал; и t, время, в которое env вычисляется.

envspectrum(___) без выходных аргументов строит графики огибающего сигнала и огибающего спектра на текущем рисунке.

Примеры

свернуть все

Симулируйте два сигнала вибрации, один от исправного подшипника и один от поврежденного подшипника. Вычислите и сравните их огибающие спектра.

Подшипник тангажа диаметром 12 см имеет восемь элементы качения. Каждый элемент качения имеет диаметр 2 см. Внешнее кольцо остается стационарным, внутренне кольцо вращается со скоростью 25 оборотов в секунду. Акселерометр производит измерения колебаний подшипника с частотой дискретизации 10 кГц.

fs = 10000;
f0 = 25;
n = 8;
d = 0.02;
p = 0.12;

Сигнал вибрации от исправного подшипника включает в себя несколько порядков ведущей частоты. Постройте график 0,1 секунды данных.

t = 0:1/fs:1-1/fs;
z = [1 0.5 0.2 0.1 0.05]*sin(2*pi*f0*[1 2 3 4 5]'.*t)/5;

plot(t,z)
xlim([0.4 0.5])

Figure contains an axes. The axes contains an object of type line.

Дефект внешнего кольца подшипника вызывает ряд влияний 5 миллисекунд на подшипник. В конечном счете эти влияния приводят к износу подшипника. Влияния происходят на частоте мяча внешнего кольца (BPFO) подшипника,

BPFO=12nf0[1-dpcosθ],

где f0 - скорость привода, n - количество тел качения, d - диаметр тел качения, p - диаметр тангажа подшипника, Примите контактный угол нуля и вычислите BPFO.

ca = 0;
bpfo = n*f0/2*(1-d/p*cos(ca))
bpfo = 83.3333

Моделируйте каждое влияние как синусоиду с частотой 3 кГц, оконную с плоским верхним окном. Сделать влияние периодическим путем свертки его с помощью функции гребня. Постройте график 0,1 секунды данных.

fImpact = 3000;
tImpact = 0:1/fs:5e-3-1/fs;
xImpact = sin(2*pi*fImpact*tImpact).*flattopwin(length(tImpact))'/10;

xComb = zeros(size(t));
xComb(1:fs/bpfo:end) = 1;

x = conv(xComb,xImpact,'same')/3;

plot(t,x+z)
xlim([0.4 0.5])

Figure contains an axes. The axes contains an object of type line.

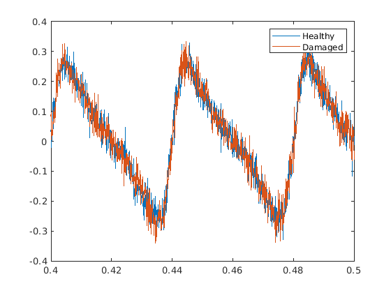
Добавьте белый Гауссов шум к сигналам. Задайте отклонение шума 1/30 ². Постройте график 0,1 секунды данных.

yGood = z + randn(size(z))/30;
yBad = x+z + randn(size(z))/30;
plot(t,yGood,t,yBad)
xlim([0.4 0.5])
legend('Healthy','Damaged')

Figure contains an axes. The axes contains 2 objects of type line. These objects represent Healthy, Damaged.

Вычислите и постройте график огибающих сигналов и спектров.

envspectrum([yGood' yBad'],fs)
xlim([0 10*bpfo]/1000)

Figure contains 2 axes. Axes 1 with title Envelope Signal contains 2 objects of type line. Axes 2 with title Envelope Spectrum contains 2 objects of type line.

Сравните пиковые местоположения с частотами гармоник BPFO. Гармоники BPFO в огибающей спектра являются признаком износа подшипника.

harmImpact = (1:10)*bpfo;
[X,Y] = meshgrid(harmImpact,ylim);

hold on
plot(X/1000,Y,':k')
legend('Healthy','Damaged','BPFO harmonics')
hold off

Figure contains 2 axes. Axes 1 with title Envelope Signal contains 2 objects of type line. Axes 2 with title Envelope Spectrum contains 12 objects of type line. These objects represent Healthy, Damaged, BPFO harmonics.

Вычислите спектры сигналов Welch. Задайте разрешение частоты 5 Гц.

figure
pspectrum([yGood' yBad'],fs,'FrequencyResolution',5)
legend('Healthy','Damaged')

Figure contains an axes. The axes with title Fres = 5 Hz contains 2 objects of type line. These objects represent Healthy, Damaged.

На нижнем конце спектра частота возбуждения и ее порядки заслоняют другие функции. Спектр исправного подшипника и спектр поврежденного подшипника неразличимы.

xlim([0 10*bpfo]/1000)

Figure contains an axes. The axes with title Fres = 5 Hz contains 2 objects of type line. These objects represent Healthy, Damaged.

Спектр неисправного подшипника показывает гармоники BPFO, модулированные частотой влияния.

xlim((bpfo*[-10 10]+fImpact)/1000)

Figure contains an axes. The axes with title Fres = 5 Hz contains 2 objects of type line. These objects represent Healthy, Damaged.

Сгенерируйте двухканальный сигнал, который напоминает сигналы вибрации от подшипника, который завершает вращение каждые 10 миллисекунд. Сигнал дискретизируется на частоте 10 кГц в течение 0,2 секунд, что соответствует 20 вращениям подшипника.

fs = 10000;
tmax = 20;
mlt = 0.01;
t = 0:1/fs:mlt-1/fs;

В течение каждого 10-миллисекундного интервала:

  • Первый канал является демпфированной синусоидой с демпфирующей постоянной 700 и синусоидной частотой 600 Гц.

  • Второй канал является другой демпфированной синусоидой с постоянной демпфирования 800 и синусоидной частотой 500 Гц. Второй канал отстает от первого канала на 5 миллисекунд.

Постройте график сигнала.

y1 = sin(2*pi*600*t).*exp(-700*t);
y2 = sin(2*pi*500*t).*exp(-800*t);
y2 = [y2(51:100) y2(1:50)];

T = (0:1/fs:mlt*tmax-1/fs)';
Y = repmat([y1;y2],1,tmax)';

plot(T,Y)

Figure contains an axes. The axes contains 2 objects of type line.

Создайте массив длительности с использованием временного интервала T. Создайте расписание с массивом длительности и двухканальным сигналом.

dt = seconds(T);
ttb = timetable(dt,Y);

Использование envspectrum без выходных аргументов для отображения огибающего сигнала и огибающей спектра двух каналов. Вычислите спектр на целом интервале Найквиста, исключая интервалы 100 Гц на концах.

envspectrum(ttb,'Band',[100 4900])

Figure contains 2 axes. Axes 1 with title Envelope Signal contains 2 objects of type line. Axes 2 with title Envelope Spectrum contains 2 objects of type line.

Огибающие спектров сигналов имеют peaks с целочисленными кратными частотой повторения 1/0,01 = 0,1 кГц. Это так же, как и ожидалось. envspectrum удаляет высокочастотные синусоидальные компоненты и фокусируется на более низкочастотном повторении. Вот почему огибающая спектра является полезным инструментом для анализа вращательного машинного оборудования.

Вычислите огибающий сигнал и время, в которое он вычисляется. Проверяйте типы выходных переменных.

[~,~,ttbenv,ttbt] = envspectrum(ttb,'Band',[100 4900]);
whos ttb*
  Name           Size            Bytes  Class        Attributes

  ttb         2000x1             48977  timetable              
  ttbenv      2000x1             48985  timetable              
  ttbt        2000x1             16002  duration               

Система временного вектора duration введите, как и временные значения входа timetable. Расписание выхода имеет тот же размер, что и расписание входа.

Сохраните каждый канал входного расписания как отдельную переменную. Вычислите огибающий сигнал и временной вектор. Проверьте типы выходов.

btb = timetable(dt,Y(:,1),Y(:,2));

[~,~,btbenv,btbt] = envspectrum(btb,'Band',[100 4900]);
whos btb*
  Name           Size            Bytes  Class        Attributes

  btb         2000x2             49199  timetable              
  btbenv      2000x2             49219  timetable              
  btbt        2000x1             16002  duration               

Расписание выхода имеет тот же размер, что и расписание входа.

Сгенерируйте сигнал, дискретизированный в 1 кГц в течение 5 секунд. Сигнал состоит из 0,01-секундных прямоугольных импульсов, которые повторяются каждые T = 0,25 секунды. Амплитуда модулирует сигнал на синусоиду несущей частоты 150 Гц.

fs = 1e3;
tmax = 5;

t = 0:1/fs:tmax;
y = pulstran(t,0:0.25:tmax,'rectpuls',0.01);

fc = 150;
z = modulate(y,fc,fs);

Постройте график исходных и модулированных сигналов. Показывать только первые несколько циклов.

plot(t,y,t,z,'-')
grid on
axis([0 1 -1.1 1.1])

Figure contains an axes. The axes contains 2 objects of type line.

Вычислите огибающую и огибающий спектра сигнала. Определите огибающую сигнала с помощью комплексной демодуляции. Вычислите огибающую спектра на интервале 20 Гц с центром на несущей частоте.

[q,f,e,te] = envspectrum(z,fs,'Method','demod','Band',[fc-10 fc+10]);

Постройте график огибающего сигнала и огибающего спектра. Изменение масштаба интервала от 0 до 50 Гц.

subplot(2,1,1)
plot(te,e)
xlabel('Time')
title('Envelope')

subplot(2,1,2)
plot(f,q)
xlim([0 50])
xlabel('Frequency')
title('Envelope Spectrum')

Figure contains 2 axes. Axes 1 with title Envelope contains an object of type line. Axes 2 with title Envelope Spectrum contains an object of type line.

Огибающий сигнал имеет тот же период времени, T = 0,25 секунды, что и исходный сигнал. Огибающая спектра имеет импульсы 1/T = 4 Гц.

Повторите расчеты, но теперь используйте hilbert функция для вычисления огибающей. Полосу пропускания - фильтрация сигнала с помощью фильтра 10-го порядка с конечной импульсной характеристикой (КИХ). Постройте график огибающего сигнала и огибающей спектра с помощью встроенной функциональности envspectrum.

envspectrum(z,fs,'Method','hilbert','FilterOrder',10)

Figure contains 2 axes. Axes 1 with title Envelope Signal contains an object of type line. Axes 2 with title Envelope Spectrum contains an object of type line.

Встройте сигнал в белый Гауссов шум отклонения 1/3. Постройте график результата.

zn = z + randn(size(z))/3;

plot(t,zn,'-')
grid on
axis([0 1 -1.1 1.1])

Figure contains an axes. The axes contains an object of type line.

Вычислите и отобразите огибающий сигнал и огибающую спектра. Вычислите огибающую спектра с помощью комплексной демодуляции на интервале 10 Гц с центром на несущей частоте. Изменение масштаба интервала от 0 до 50 Гц.

envspectrum(zn,fs,'Band',[fc-5 fc+5])
xlim([0 50])

Figure contains 2 axes. Axes 1 with title Envelope Signal contains an object of type line. Axes 2 with title Envelope Spectrum contains an object of type line.

Входные параметры

свернуть все

Входной сигнал, заданный как вектор или матрица. Если x является вектором, он рассматривается как один канал. Если x является матрицей, тогда envspectrum вычисляет огибающую спектра независимо для каждого столбца и возвращает результат в соответствующий столбец es.

Пример: cos(pi/4*(0:159))+randn(1,160) является одноканальным вектором-строкой.

Пример: cos(pi./[4;2]*(0:159))'+randn(160,2) является двухканальным сигналом.

Типы данных: single | double
Поддержка комплексного числа: Да

Частота дискретизации, заданная как положительный действительный скаляр.

Типы данных: single | double

Входное расписание. xt должно содержать увеличивающиеся конечные значения времени строк. Если xt представляет многоканальный сигнал, тогда он должен иметь либо одну переменную, содержащую матрицу, либо несколько переменных, состоящих из векторов.

Если расписание имеет отсутствующие или повторяющиеся точки времени, можно исправить его с помощью советов в разделе «Чистое расписание с пропущенными, повторяющимися или неоднородными временами».

Пример: timetable(seconds(0:4)',randn(5,2)) задает двухканальную случайную переменную, дискретизированную с частотой дискретизации 1 Гц в течение 4 секунд.

Типы данных: single | double

Аргументы в виде пар имя-значение

Задайте необязательные разделенные разделенными запятой парами Name,Value аргументы. Name - имя аргумента и Value - соответствующее значение. Name должны находиться внутри кавычек. Можно задать несколько аргументов в виде пар имен и значений в любом порядке Name1,Value1,...,NameN,ValueN.

Пример: 'Method', 'hilbert', 'FilterOrder', 30, 'Полоса', [0 fs/4] вычисляет огибающую спектра между 0 и половиной частоты Найквиста с помощью полосно-пропускающего фильтра 30-го порядка и вычисляя огибающую аналитического сигнала.

Алгоритм вычисления огибающего сигнала, заданный как разделенная запятыми пара, состоящая из 'Method' и любой из них 'hilbert' или 'demod'. Смотрите Алгоритмы для получения дополнительной информации.

Частота, полоса для вычисления огибающей спектра, заданная как разделенная запятой пара, состоящая из 'Band' и двухэлементный вектор строго увеличивающихся значений между 0 и частотой Найквиста.

Типы данных: single | double
Поддержка комплексного числа: Да

Конечная импульсная характеристика порядка фильтра, заданная как разделенная запятой пара, состоящая из 'FilterOrder' и положительный целочисленный скаляр.

  • Если 'Method' является 'hilbert', затем этот аргумент задает порядок полосно-пропускающего фильтра конечной импульсной характеристики.

  • Если 'Method' является 'demod', затем этот аргумент задает порядок lowpass конечной импульсной характеристики.

Типы данных: single | double

Выходные аргументы

свернуть все

Огибающая спектра, возвращенный в виде вектора или матрицы.

Частоты, на которых вычисляется огибающая спектра, возвращаются как вектор.

Огибающий сигнал, возвращенный в виде вектора, матрицы или timetable.

Если вход в envspectrum является расписанием, тогда env также является расписанием. Значения времени env имеют тот же формат, что и временные значения входа timetable.

  • Если вход является расписанием с одной переменной, содержащей матрицу, то env имеет одну переменную, содержащую матрицу.

  • Если вход является расписанием с несколькими переменными, состоящими из векторов, то env имеет несколько переменных, состоящих из векторов.

Значения времени, в которые вычисляется огибающий сигнал, возвращаются как вектор.

Если вход в envspectrum является расписанием, тогда t имеет тот же формат, что и временные значения входа timetable.

Алгоритмы

envspectrum первоначально удаляет смещение постоянного тока из входного сигнала, x, и затем вычисляет огибающий сигнал.

  • Если 'Method' установлено в 'hilbert', функция:

    1. Полосу пропускания - фильтрация сигнала. Фильтр конечной импульсной характеристики имеет порядок, заданный как 'FilterOrder' и граничные частоты на ba(1) и ba(2), где ba - частотная полоса, заданная с помощью 'Band'.

    2. Вычисляет аналитический сигнал, используя hilbert функция.

    3. Вычисляет огибающий сигнал как абсолютное значение аналитического сигнала.

  • Если 'Method' установлено в 'demod', функция:

    1. Выполняет комплексную демодуляцию сигнала. Сигнал умножается на exp (j 2 π f 0 t), где f 0 = (ba(1) + ba(2))/2.

    2. Lowpass-фильтрует демодулированный сигнал, чтобы вычислить аналитический сигнал. Фильтр конечной импульсной характеристики имеет порядок, заданный как 'FilterOrder' и частоту отсечения (ba(2)ba(1))/2.

    3. Вычисляет огибающий сигнал как вдвое больше абсолютного значения аналитического сигнала.

После вычисления огибающего сигнала функция удаляет смещение постоянного тока из огибающей и вычисляет огибающую спектра с помощью БПФ.

Ссылки

[1] Рэндалл, Роберт Бонд. Мониторинг условия на основе вибрации. Chichester, UK: John Wiley & Sons, 2011.

Расширенные возможности

.
Введенный в R2017b