exponenta event banner

icceps

Обратный комплексный cepstrum

Синтаксис

Описание

пример

x = icceps(xhat,nd) возвращает обратный комплексный cepstrum действительной последовательности данных xhat, удаление nd выборки задержки.

Примеры

свернуть все

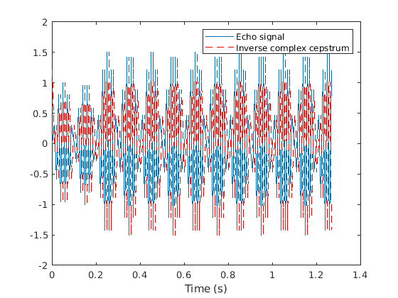
Сгенерируйте синус частоты 45 Гц, дискретизированный при 100 Гц. Добавьте эхо с половиной амплитуды и 0,2 с позже. Вычислите комплексный cepstrum сигнала.

Fs = 100;
t = 0:1/Fs:1.27;

s1 = sin(2*pi*45*t);		
s2 = s1 + 0.5*[zeros(1,20) s1(1:108)];

c = cceps(s2);

Вычислите обратный комплексный cepstrum. Постройте график данных эха и его обратного комплексного cepstrum.

x = icceps(c);
plot(t,s2,t,x,'r--')
xlabel('Time (s)')
legend('Echo signal','Inverse complex cepstrum')

Figure contains an axes. The axes contains 2 objects of type line. These objects represent Echo signal, Inverse complex cepstrum.

Входные параметры

свернуть все

Последовательность данных, заданная как вектор действительных чисел. Если xhat был получен с cceps, затем величина задержки, которая была добавлена в x был элементом round(unwrap(angle(fft(x)))/pi) соответствующий π радианам.

Количество выборок задержки, заданное как действительная положительная скалярная величина.

Выходные аргументы

свернуть все

Обратный комплексный cepstrum, возвращается как вектор.

Ссылки

[1] Oppenheim, A.V., and R.W. Schafer, Discrete-Time Signal Processing, Prentice Hall, 1989.

Расширенные возможности

Генерация кода C/C + +
Сгенерируйте код C и C++ с помощью Coder™ MATLAB ®

.

См. также

| | |

Представлено до R2006a