exponenta event banner

qqplot

График квантиль-квантиль

Описание

пример

qqplot(x) отображает квантильный график квантилей выборочных данных x от теоретических значений квантилей от нормального распределения. Если распределение x является нормальным, тогда график данных выглядит линейным.

qqplot строит графики каждой точки данных на x использование знака плюс ('+') маркеры и рисует две опорные линии, которые представляют теоретическое распределение. Сплошная опорная линия соединяет первый и третий квартили данных, а штриховая опорная линия простирает сплошную линию до концов данных.

пример

qqplot(x,pd) отображает квантильный график квантилей выборочных данных x от теоретических квантилей распределения, заданного объектом распределения вероятностей pd. Если распределение x совпадает с распределением, заданным pd, тогда график выглядит линейным.

пример

qqplot(x,y) отображает квантильный график квантилей выборочных данных x от квантилей выборочных данных y. Если выборки происходят из того же распределения, тогда график выглядит линейным.

qqplot(___,pvec) отображает квантильный график с квантилями, заданными в векторе pvec. Задайте pvec после любой комбинации входных аргументов в предыдущих синтаксисах.

пример

qqplot(ax,___) использует оси графика, заданные как Axes ax объекта. Опция ax может предшествовать любой комбинации входных аргументов в предыдущих синтаксисах.

h = qqplot(___) возвращает указатели (h) к линиям на графике квантиль-квантиль.

Примеры

свернуть все

Используйте квантильный график, чтобы определить, следуют ли цены на газ в Массачусетсе нормальному распределению.

Загрузите выборочные данные.

load gas

Выборочные данные в price1 и price2 представляют цены на бензин на 20 различных АЗС в Массачусетсе. Выборки отбирали в течение двух различных месяцев.

Создайте квантильный график, чтобы определить, указаны ли цены на газ в price1 следовать нормальному распределению.

figure
qqplot(price1)

Figure contains an axes. The axes with title QQ Plot of Sample Data versus Standard Normal contains 3 objects of type line.

Этот график производит приблизительно прямую линию, что предполагает, что цены на газ следуют нормальному распределению.

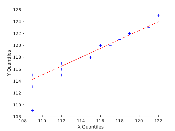
Используйте квантильный график, чтобы определить, получены ли два набора выборочных данных из одного и того же распределения.

Загрузите выборочные данные.

load gas

Выборочные данные в price1 и price2 представляют цены на бензин на 20 различных АЗС в Массачусетсе. Выборки отбирали в течение двух различных месяцев.

Создайте квантильный график с использованием обоих наборов выборочных данных, чтобы оценить, имеют ли цены в разное время одинаковое распределение.

qqplot(price1,price2);

Figure contains an axes. The axes contains 3 objects of type line.

График создает приблизительно прямую линию, предполагая, что два набора выборочных данных имеют одинаковое распределение.

Используйте квантильный график, чтобы определить, получены ли выборочные данные из распределения Вейбула.

Загрузите выборочные данные.

load lightbulb

Первый столбец данных имеет продолжительность жизни (в часах) двух типов лампочек. Второй столбец содержит информацию о типе лампочки. 1 обозначает флуоресцентные лампы, в то время как 0 обозначает лампы накаливания. В третий столбец содержится информация о цензуре. 1 указывает данные цензуры, а 0 указывает точное время отказа. Это моделируемые данные.

Удалите цензурные данные.

lightbulb = [lightbulb(lightbulb(:,3)==0,1),...
    lightbulb(lightbulb(:,3)==0,2)];

Создайте переменную для каждого типа лампочки. Включите только данные без цензуры.

fluo = [lightbulb(lightbulb(:,2)==0,1)];
insc = [lightbulb(lightbulb(:,2)==1,1)];

Создайте объект распределения вероятностей Weibull с помощью параметров по умолчанию A = 1 и B = 1.

pd = makedist('Weibull');

Создайте q-q график, чтобы определить, имеет ли время жизни флуоресцентных лампочек распределение Вейбула.

figure
qqplot(fluo,pd)

Figure contains an axes. The axes with title QQ Plot of Sample Data versus Distribution contains 3 objects of type line.

График не является прямой линией, что предполагает, что данные о жизни флуоресцентных лампочек не следуют распределению Вейбула.

Отобразите бок о бок пару квантильных графиков с помощью tiledlayout и nexttile функций.

Загрузите patients набор данных. Разделите диастолические уровни артериального давления пациента на два набора данных: один, содержащий диастолические уровни артериального давления курильщиков, и один, содержащий диастолические уровни некурящих.

load patients

smokerIndices = (Smoker == 1);
nonsmokerIndices = (Smoker == 0);

smokerDiastolic = Diastolic(smokerIndices);
nonsmokerDiastolic = Diastolic(nonsmokerIndices);

Создайте мозаику 2 на 1 графике размещения используя tiledlayout функция. Создайте первый набор осей ax1 внутри размещения графика вызовом nexttile функция. В осях отобразите q-q график, чтобы определить, являются ли диастолические уровни артериального давления курильщиков нормальным распределением. Создайте второй набор осей ax2 внутри размещения мозаичного графика вызовом nexttile функция. В осях отобразите q-q график, чтобы определить, происходят ли диастолические уровни артериального давления некурящих от нормального распределения.

tiledlayout(2,1)

% Top axes
ax1 = nexttile;
qqplot(ax1,smokerDiastolic)
ylabel(ax1,'Diastolic Quantiles for Smokers')
title(ax1,'QQ Plot of Smoker Diastolic Levels vs. Standard Normal')

% Bottom axes
ax2 = nexttile;
qqplot(ax2,nonsmokerDiastolic)
ylabel(ax2,'Diastolic Quantiles for Nonsmokers')
title(ax2,'QQ Plot of Nonsmoker Diastolic Levels vs. Standard Normal')

Figure contains 2 axes. Axes 1 with title QQ Plot of Smoker Diastolic Levels vs. Standard Normal contains 3 objects of type line. Axes 2 with title QQ Plot of Nonsmoker Diastolic Levels vs. Standard Normal contains 3 objects of type line.

Второй график более точно следует прямой линии, предполагая, что выборка некурящих значений артериального давления имеет приблизительно нормальное распределение. Напротив, первый график имеет точки ниже линии налево, что предполагает более тяжелый хвост (больше выбросов), чем нормальное распределение.

Входные параметры

свернуть все

Выборочные данные, заданная в виде числового вектора или числовой матрицы. Если x является матрицей, тогда qqplot отображает отдельную линию для каждого столбца.

qqplot отображение выборочных данных с помощью символа графика '+'. На график накладывается линия, соединяющая первый и третий квартили каждого распределения. Линия представляет устойчивую линейную подгонку статистики порядка для данных в x. Эта линия экстраполирована на минимальное и максимальное значения в x чтобы помочь оценить линейность данных.

Типы данных: single | double

Второй набор выборочных данных, заданный как числовой вектор или числовая матрица. x и y не обязательно совпадать по длине. Однако, если x и y являются матрицами, они должны содержать одинаковое число столбцов. Если x и y являются матрицами, тогда qqplot отображает отдельную линию для каждой пары столбцов.

qqplot выбирает квантили для построения на основе размера меньшего набора данных.

Типы данных: single | double

Гипотезированное распределение вероятностей, заданное как объект распределения вероятностей. qqplot строит графики квантилей входных данных x от теоретических квартилей распределения, заданного pd.

Создайте объект распределения вероятностей с заданными значениями параметров используя makedist, или подгонка объекта распределения вероятностей к данным с помощью fitdist.

Квантования для графика, заданные как числовое значение или вектор числовых значений, в области значений [0,100].

Для одного набора выборочных данных (x), qqplot использует квантили в x. Для двух наборов выборочных данных (x и y), qqplot использует величины в меньшем из двух наборов данных.

Типы данных: single | double

Оси для графика, заданные как Axes объект. Если вы не задаете ax, затем qqplot создает график с использованием текущей системы координат. Для получения дополнительной информации о создании Axes объект, см. axes.

Выходные аргументы

свернуть все

Графические указатели на линии объектов, возвращенные как вектор Line графические указатели. Графические указатели являются уникальными идентификаторами, которые можно использовать для запроса и изменения свойств определенной линии на графике. Для каждого столбца x, qqplot возвращает три указателя:

  • Линия, представляющая точки данных. qqplot представляет каждую точку данных в x использование знака плюс ('+') маркеры.

  • Линия, соединяющая первый и третий квартили каждого столбца x, представленный как сплошная линия.

  • Экстраполяция квартильной линии, расширенная до минимальных и максимальных значений x, представленный как штриховая линия.

Чтобы просмотреть и задать свойства объектов линии, используйте запись через точку. Для получения информации об использовании записи через точку смотрите Доступ к значениям свойств. Для получения информации о Line свойства, которые можно задать, см. раздел «Свойства линии».

Подробнее о

свернуть все

График квантиль-квантиль

Квантильный график (также называемый q-q графиком) визуально оценивает, получены ли выборочные данные из заданного распределения. В качестве альтернативы график q-q оценивает, получены ли два набора выборочных данных из одного и того же распределения.

График q-q упорядочивает значения выборочных данных от наименьших до самых больших, затем строит графики этих значений с ожидаемым значением для заданного распределения при каждом квантовании в выборочных данных. Квантильные значения входной выборки появляются вдоль оси y, а теоретические значения заданного распределения при тех же квантилях - вдоль оси x. Если получившийся график линейен, то выборочные данные, вероятно, происходит из заданного распределения.

График q-q выбирает квантили на основе количества значений в выборочных данных. Если выборочные данные содержат n значения, то график использует n квантилей. Постройте график i-го упорядоченного значения (также называемого статистикой i-го порядка) относительно i0.5n1й квантиль указанного распределения.

График q-q может также оценить, имеют ли два набора выборочных данных одинаковое распределение, даже если вы не знаете базового распределения. Значения квантиля для первого набора данных появляются на оси x, а соответствующие значения квантиля для второго набора данных появляются на оси y. Поскольку q-q графиков полагаться на квантили, количество точек данных в двух выборках не должно быть равным. Если размеры выборки неравны, график q-q выбирает квантили на основе меньшего набора данных. Если полученный график линейен, то два набора выборочных данных, вероятно, происходят из одного и того же распределения.

Представлено до R2006a