exponenta event banner

getSensitivity

Функция чувствительности из обобщенной модели системы управления

Описание

пример

S = getSensitivity(T,location) возвращает функцию чувствительности в заданном местоположении для обобщенной модели системы управления.

пример

S = getSensitivity(T,location,opening) задает дополнительные открытия цикла для вычисления функции чувствительности. Используйте открытие, например, чтобы вычислить функцию чувствительности внутреннего цикла, с открытым внешним контуром.

Если opening и location перечислите ту же точку, программное обеспечение открывает цикл после измерения сигнала в точке.

Примеры

свернуть все

Вычислите чувствительность во входе объекта, отмеченный анализом указывают X.

Создайте модель системы путем определения и соединения числовой модели объекта управления LTI G, настраиваемый контроллер C, и AnalysisPoint блок X. Используйте AnalysisPoint блокируйтесь, чтобы отметить местоположение, где вы оцениваете чувствительность (вход объекта в этом примере).

G = tf([1],[1 5]);
C = tunablePID('C','p');
C.Kp.Value = 3;
X = AnalysisPoint('X');
T = feedback(G*X*C,1);

T genss модель, которая представляет ответ с обратной связью системы управления от r к y. Модель содержит AnalysisPoint блок, X, это идентифицирует аналитическую точку.

Вычислите чувствительность, S, в X.

S = getSensitivity(T,'X');
tf(S)
ans =
 
  From input "X" to output "X":
  s + 5
  -----
  s + 8
 
Continuous-time transfer function.

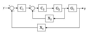
Вычислите чувствительность внутреннего цикла при выходе G2, с открытым внешним контуром.

Создайте модель системы путем определения и соединения числовых моделей объекта управления, настраиваемых контроллеров и AnalysisPoint блоки. G1 и G2 модели объекта управления, C1 и C2 настраиваемые контроллеры и X1 и X2 AnalysisPoint блоки, которые отмечают потенциальные открывающие цикл местоположения.

G1 = tf(10,[1 10]);
G2 = tf([1 2],[1 0.2 10]);
C1 = tunablePID('C','pi');
C2 = tunableGain('G',1);
X1 = AnalysisPoint('X1');
X2 = AnalysisPoint('X2');
T = feedback(G1*feedback(G2*C2,X2)*C1,X1);

Вычислите чувствительность, S, в X2, с внешним контуром открываются в X1.

S = getSensitivity(T,'X2','X1');
tf(S)
ans =
 
  From input "X2" to output "X2":
  s^2 + 0.2 s + 10
  ----------------
  s^2 + 1.2 s + 12
 
Continuous-time transfer function.

Входные параметры

свернуть все

Модель системы управления в виде обобщенной модели в пространстве состояний (genss).

Местоположения, в которых можно выполнить анализ чувствительности или разомкнутые контуры, отмечены AnalysisPoint блоки в T. Используйте getPoints(T) получить список таких местоположений.

Местоположение, в котором вы вычисляете функцию чувствительности в виде вектора символов или массива ячеек из символьных векторов. Чтобы извлечь функцию чувствительности в нескольких местоположениях, используйте массив ячеек из символьных векторов.

Каждое заданное местоположение должно совпадать с аналитической точкой в T. Аналитические точки отмечены с помощью AnalysisPoint блоки. Получить список доступного анализа указывает в T, используйте getPoints(T).

Пример: 'u' или {'u','y'}

Дополнительное открытие цикла раньше вычисляло функцию чувствительности в виде вектора символов или массива ячеек из символьных векторов. Чтобы открыть цикл в нескольких местоположениях, используйте массив ячеек из символьных векторов.

Каждое заданное открытие должно совпадать с аналитической точкой в T. Аналитические точки отмечены с помощью AnalysisPoint блоки. Получить список доступного анализа указывает в T, используйте getPoints(T).

Используйте открытие, например, чтобы вычислить функцию чувствительности внутреннего цикла, с открытым внешним контуром.

Если opening и location перечислите ту же точку, программное обеспечение открывает цикл после измерения сигнала в точке.

Пример: 'y_outer' или {'y_outer','y_outer2'}

Выходные аргументы

свернуть все

Функция чувствительности системы управления, T, измеренный в location, возвращенный как обобщенная модель в пространстве состояний (genss).

  • Если location задает одну аналитическую точку, затем S SISO genss модель.

  • Если location векторный сигнал или задает несколько аналитических точек, затем S MIMO genss модель.

Больше о

свернуть все

Функция чувствительности

sensitivity function, также упомянутый просто как sensitivity, измеряется, насколько чувствительный сигнал к добавленному воздействию. Обратная связь уменьшает чувствительность в диапазоне частот, где коэффициент усиления разомкнутого контура больше 1.

Рассмотрите следующую модель:

Чувствительность, Su, в u задан как передаточная функция от du к u:

u=duKGu(I+KG)u=duu=(I+KG)1Sudu.

Здесь, I является единичной матрицей одного размера с K G.

Чувствительность в нескольких местоположениях, например, u и y, задан как передаточная функция MIMO от воздействий до измерений чувствительности:

S=[SduuSdyuSduySdyy].

Смотрите также

| | | | | | | | (Simulink Control Design)

Введенный в R2014a