exponenta event banner

getIOTransfer

Передаточная функция с обратной связью из обобщенной модели системы управления

Синтаксис

H = getIOTransfer(T,in,out)
H = getIOTransfer(T,in,out,openings)

Описание

пример

H = getIOTransfer(T,in,out) возвращает передаточную функцию от заданных входных параметров до заданных выходных параметров системы управления, вычисленной из обобщенной модели с обратной связью системы управления.

пример

H = getIOTransfer(T,in,out,openings) возвращает передаточную функцию, вычисленную с одним или несколькими открытыми циклами.

Примеры

свернуть все

Анализируйте ответы системы управления при помощи getIOTransfer, чтобы вычислить ответы между различными вводами и выводами модели с обратной связью системы.

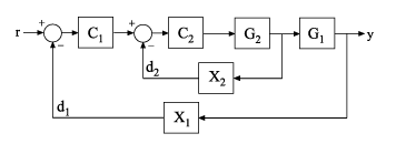
Рассмотрите следующую систему управления.

Создайте модель genss системы путем определения и соединения числовых моделей объекта управления G1 и G2, настраиваемые контроллеры C1 и C2, и AnalysisPoint блокирует X1 и X2, которые отмечают потенциальное открытие цикла или сайты ввода сигналов.

G1 = tf(10,[1 10]);
G2 = tf([1 2],[1 0.2 10]);
C1 = tunablePID('C','pi');
C2 = tunableGain('G',1);
X1 = AnalysisPoint('X1');
X2 = AnalysisPoint('X2');
T = feedback(G1*feedback(G2*C2,X2)*C1,X1);
T.InputName = 'r';
T.OutputName = 'y';

Если вы настроили свободные параметры этой модели (например, с помощью настраивающейся команды systune), вы можете хотеть анализировать настроенную производительность системы путем исследования различных откликов системы.

Например, исследуйте ответ при выводе, y, к воздействию, введенному в точке d1.

H1 = getIOTransfer(T,'X1','y');

H1 представляет ответ с обратной связью системы управления к воздействию, введенному в неявном входе, сопоставленном с блоком AnalysisPoint X1, который является местоположением d1:

H1 является моделью genss, которая включает настраиваемые блоки T. Если вы настроили свободные параметры T, H1 позволяет вам подтверждать ответ воздействия своей настроенной системы. Например, можно использовать аналитические команды, такие как bodeplot или stepplot, чтобы исследовать ответы H1. Можно также использовать getValue, чтобы получить текущее значение H1, в котором все настраиваемые блоки оценены к их текущим числовым значениям.

Точно так же исследуйте ответ при выводе к воздействию, введенному в точке d2.

H2 = getIOTransfer(T,'X2','y');

Можно также сгенерировать 2D вход, модель с одним выходом, представляющая ответ системы управления к одновременным воздействиям в обоих d1 и d2. Для этого предоставьте getIOTransfer массив ячеек, который задает несколько входных местоположений.

H = getIOTransfer(T,{'X1','X2'},'y');

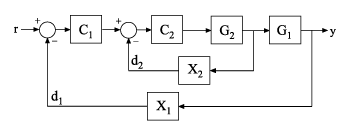
Вычислите ответ от r до y следующей каскадной системы управления с открытым внутренним циклом, и замкнутый внешний круг.

Создайте модель genss системы путем определения и соединения числовых моделей объекта управления G1 и G2, настраиваемые контроллеры C1 и C2, и AnalysisPoint блокирует X1 и X2, которые отмечают потенциальное открытие цикла или сайты ввода сигналов.

G1 = tf(10,[1 10]);
G2 = tf([1 2],[1 0.2 10]);
C1 = tunablePID('C','pi');
C2 = tunableGain('G',1);
X1 = AnalysisPoint('X1');
X2 = AnalysisPoint('X2');
T = feedback(G1*feedback(G2*C2,X2)*C1,X1);
T.InputName = 'r';
T.OutputName = 'y';

Если вы настроили свободные параметры этой модели (например, с помощью настраивающейся команды systune), вы можете хотеть анализировать настроенную производительность системы путем исследования различных откликов системы.

Например, вычислите ответ системы с открытым внутренним циклом, и замкнутый внешний круг.

H = getIOTransfer(T,'r','y','X2');

По умолчанию круги замкнуты в аналитических точках X1 и X2. Определение 'X2' для аргумента openings заставляет getIOTransfer открывать цикл в X2 в целях вычисления требуемой передачи от r до y. Переключатель в X1 остается закрытым для этого вычисления.

Входные параметры

свернуть все

Модель системы управления, заданной как обобщенная модель в пространстве состояний (genss).

Введите к извлеченной передаточной функции, заданной как вектор символов или массив ячеек из символьных векторов. Чтобы извлечь несколько - входная передаточная функция от системы управления, используйте массив ячеек из символьных векторов. Каждый заданный вход должен соответствовать также:

  • Вход модели T системы управления; то есть, название канала fromT.InputName.

  • Аналитическая точка в T, соответствуя каналу блока AnalysisPoint в T. Чтобы получить список доступных аналитических точек в T, используйте getPoints(T).

    Когда вы задаете аналитическую точку как вход in, getIOTransfer использует вход, неявно сопоставленный с каналом AnalysisPoint, расположенным можно следующим образом.

    Этот входной сигнал моделирует воздействие, входящее при выводе переключателя.

Если аналитическая точка имеет то же имя как вход T, то getIOTransfer использует вход T.

Пример: {'r','X1'}

Вывод извлеченной передаточной функции, заданной как вектор символов или массив ячеек из символьных векторов. Чтобы извлечь несколько - выходная передаточная функция от системы управления, используйте массив ячеек из символьных векторов. Каждый заданный вывод должен соответствовать также:

  • Вывод модели T системы управления; то есть, название канала от T.OutputName.

  • Аналитическая точка в T, соответствуя каналу блока AnalysisPoint в T. Чтобы получить список доступных аналитических точек в T, используйте getPoints(T).

    Когда вы задаете аналитическую точку как вывод out, getIOTransfer использует вывод, неявно сопоставленный с каналом AnalysisPoint, расположенным можно следующим образом.

Если аналитическая точка имеет то же имя как вывод T, то getIOTransfer использует вывод T.

Пример: {'y','X2'}

Местоположения для вводной обратной связи для вычисления ответа от in до out, заданного как вектор символов или массив ячеек из символьных векторов, которые идентифицируют аналитические точки в T. Аналитические точки отмечены блоками AnalysisPoint в T. Чтобы получить список доступных аналитических точек в T, используйте getPoints(T).

Используйте openings когда это необходимо, чтобы вычислить ответ от in до out с некоторыми циклами в открытой системе управления. Например, в каскадной настройке цикла, можно вычислить ответ от системного входа до системы вывод с открытым внутренним циклом.

Выходные аргументы

свернуть все

Передаточная функция с обратной связью системы управления T от in до out, возвращенного как обобщенная модель в пространстве состояний (genss).

  • Если и in и out задают один сигнал, то T является моделью SISO genss.

  • Если in или out задают несколько сигналов, то T является моделью MIMO genss.

Советы

  • Можно использовать getIOTransfer, чтобы извлечь различные ответы подсистемы, учитывая обобщенную модель полной системы управления. Это полезно для проверки ответов системы управления, которую вы настраиваете с настраивающимися командами, такими как systune.

    Например, в дополнение к оценке полного ответа настроенной системы управления от входных параметров до выходных параметров, можно использовать getIOTransfer, чтобы извлечь передаточную функцию от входа воздействия до системы вывод. Оцените ответы той передаточной функции (такой как с step или bode), чтобы подтвердить, что настроенная система удовлетворяет ваши требования подавления помех.

  • getIOTransfer является genss, эквивалентный команде Simulink® Control Design™ getIOTransfer, которая работает с интерфейсами slLinearizer и slTuner. Используйте команду Simulink Control Design, когда ваша система управления будет смоделирована в Simulink.

Смотрите также

| | | | |

Представленный в R2012b