exponenta event banner

getLoopTransfer

Передаточная функция разомкнутого цикла системы управления

Синтаксис

L = getLoopTransfer(T,Locations)
L = getLoopTransfer(T,Locations,sign)
L = getLoopTransfer(T,Locations,sign,openings)

Описание

пример

L = getLoopTransfer(T,Locations) возвращает передаточную функцию разомкнутого цикла "точка-точка" системы управления, измеренной в заданных аналитических точках. Передаточная функция разомкнутого цикла "точка-точка" является ответом разомкнутого цикла, полученным путем введения сигналов в заданных местоположениях и измерения сигналов возврата в тех же местоположениях.

пример

L = getLoopTransfer(T,Locations,sign) указывает, что обратная связь расписывается за вычисление ответа разомкнутого цикла. Отношением между ответом с обратной связью T и ответом разомкнутого цикла L является T = feedback(L,1,sign).

пример

L = getLoopTransfer(T,Locations,sign,openings) задает дополнительные открывающие цикл местоположения, чтобы открыться для вычисления ответа разомкнутого цикла в Locations.

Примеры

свернуть все

Вычислите ответ разомкнутого цикла следующей модели системы управления в аналитической точке, заданной блоком AnalysisPoint, X.

Создайте модель системы путем определения и соединения числовой модели объекта управления LTI, G, настраиваемого контроллера, C, и AnalysisPoint, X.

G = tf([1 2],[1 0.2 10]);
C = tunablePID('C','pi');
X = AnalysisPoint('X');  
T = feedback(G*X*C,1);

T является моделью genss, которая представляет ответ с обратной связью системы управления от r к y. Модель содержит блок AnalysisPoint X, который идентифицирует потенциальное открывающее цикл местоположение.

Вычислите разомкнутый цикл передача цикла "точка-точка" в местоположении X.

L = getLoopTransfer(T,'X');

Эта команда вычисляет передаточную функцию позитивных откликов, которую вы получили бы путем открытия цикла в X, введения сигнала в G и измерения получившегося ответа при выводе C. По умолчанию getLoopTransfer вычисляет передаточную функцию позитивных откликов. В этом примере передаточная функция позитивных откликов L(s)=-G(s)C(s)

Вывод L является моделью genss, которая включает настраиваемый блок C. Можно использовать getValue, чтобы получить текущее значение L, в котором все настраиваемые блоки L оценены к их текущему числовому значению.

Вычислите передачу разомкнутого цикла отрицательной обратной связи следующей модели системы управления в аналитической точке, заданной блоком AnalysisPoint, X.

Создайте модель системы путем определения и соединения числовой модели объекта управления LTI G, настраиваемый контроллер C и блок AnalysisPoint X.

G = tf([1 2],[1 0.2 10]);
C = tunablePID('C','pi');
X = AnalysisPoint('X');  
T = feedback(G*X*C,1);

T является моделью genss, которая представляет ответ с обратной связью системы управления от r к y. Модель содержит блок AnalysisPoint X, который идентифицирует потенциальное открывающее цикл местоположение.

Вычислите разомкнутый цикл передача цикла "точка-точка" в местоположении X.

L = getLoopTransfer(T,'X',-1);

Эта команда вычисляет передаточную функцию разомкнутого цикла из входа G к выводу C, принимая, что круг замкнут с отрицательной обратной связью. Таким образом, отношения между L и T даны T = feedback(L,1). В этом примере передаточная функция позитивных откликов L(s)=G(s)C(s)

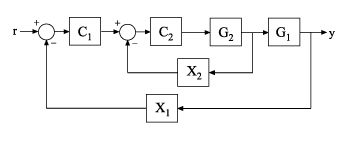
Вычислите ответ разомкнутого цикла внутреннего цикла следующей каскадной системы управления с открытым внешним циклом.

Создайте модель системы путем определения и соединения числовых моделей объекта управления G1 и G2, настраиваемые контроллеры C1, и AnalysisPoint блокирует X1 и X2, которые отмечают потенциальные открывающие цикл местоположения.

G1 = tf(10,[1 10]);
G2 = tf([1 2],[1 0.2 10]);
C1 = tunablePID('C','pi');
C2 = tunableGain('G',1);
X1 = AnalysisPoint('X1');
X2 = AnalysisPoint('X2');
T = feedback(G1*feedback(G2*C2,X2)*C1,X1);

Вычислите ответ разомкнутого цикла отрицательной обратной связи внутреннего цикла, в местоположении X2, с внешним циклом, открытым в X1.

L = getLoopTransfer(T,'X2',-1,'X1');

По умолчанию круг замкнут в местоположении аналитической точки, отмеченном блоком AnalysisPoint X1. Определение 'X1' для аргумента openings заставляет getLoopTransfer открывать цикл в X1 в целях вычисления требуемой передачи цикла в X2. В этом примере, ответе разомкнутого цикла отрицательной обратной связи L(s)=G2(s)C2(s).

Входные параметры

свернуть все

Модель системы управления, заданной как Обобщенное Пространство состояний (genss) Модель. Местоположения, в которых вы можете разомкнутые циклы и выполнять анализ разомкнутого цикла, отмечены блоками AnalysisPoint в T.

Местоположения аналитической точки в модели системы управления, в которой можно вычислить разомкнутый цикл ответ "точка-точка", заданный как вектор символов или массив ячеек из символьных векторов, которые идентифицируют местоположения аналитической точки в T.

Местоположения аналитической точки отмечены блоками AnalysisPoint в T. Блок AnalysisPoint может иметь один или несколько каналов. Свойство Location блока AnalysisPoint дает имена этим каналам обратной связи.

Имя любого канала в блоке AnalysisPoint в T является действительным доступом для аргумента Locations к getLoopTransfer. Чтобы получить полный список доступных аналитических точек в T, используйте getPoints(T).

getLoopTransfer вычисляет ответ разомкнутого цикла, который вы получили бы путем введения сигнала в неявном входе, сопоставленном с каналом AnalysisPoint и измерения ответа при неявном выводе, сопоставленном с каналом. Эти неявные вводы и выводы располагаются можно следующим образом.

L является передаточной функцией разомкнутого цикла от in до out.

Знак обратной связи, заданный как +1 или -1 знак обратной связи, определяет знак передаточной функции разомкнутого цикла.

  • +1 — Вычислите передачу цикла позитивных откликов. В этом случае отношением между ответом с обратной связью T и ответом разомкнутого цикла L является T = feedback(L,1,+1).

  • -1 — Вычислите передачу цикла отрицательной обратной связи. В этом случае отношением между ответом с обратной связью T и ответом разомкнутого цикла L является T = feedback(L,1).

Выберите знак обратной связи, который сопоставим с соглашениями анализа, который вы намереваетесь выполнить с передаточной функцией цикла. Например, рассмотрите следующую систему, где T является передаточной функцией с обратной связью от r до y.

Чтобы вычислить запасы устойчивости этой системы с командой margin, которая принимает отрицательную обратную связь, необходимо использовать ответ разомкнутого цикла отрицательной обратной связи. Поэтому можно использовать L = getLoopTransfer(T,'X',-1), чтобы получить передаточную функцию отрицательной обратной связи L = GC.

Дополнительные местоположения для вводной обратной связи для вычисления ответа разомкнутого цикла, заданного как вектор символов или массив ячеек из символьных векторов, которые идентифицируют местоположения аналитической точки в T. Местоположения аналитической точки отмечены блоками AnalysisPoint в T. Любое название канала, содержавшееся в свойстве Location блока AnalysisPoint в T, является действительным доступом для openings.

Используйте openings когда это необходимо, чтобы вычислить ответ разомкнутого цикла в одном местоположении аналитической точки с другими циклами, также открываются в других местоположениях. Например, в каскадной настройке цикла, можно вычислить, ответ разомкнутого цикла внутреннего цикла с внешним циклом также открываются. Используйте getPoints(T), чтобы получить полный список доступных местоположений аналитической точки в T.

Выходные аргументы

свернуть все

Ответ разомкнутого цикла "точка-точка" системы управления T, измеренный в аналитических точках, заданных Locations, возвращенным как обобщенная модель (genss) пространства состояний.

  • Если Locations задает одну аналитическую точку, то L является моделью SISO genss. В этом случае L представляет ответ, полученный путем открытия цикла в Locations, введения сигналов и измерения сигналов возврата в том же местоположении.

  • Если Locations является векторным сигналом или задает несколько аналитических точек, то L является моделью MIMO genss. В этом случае L представляет разомкнутый цикл ответ MIMO, полученный вводными циклами во всех местоположениях, перечисленных в Locations, вводя сигналы и измеряя сигналы возврата в тех местоположениях.

Советы

  • Можно использовать getLoopTransfer, чтобы извлечь ответы разомкнутого цикла, учитывая обобщенную модель полной системы управления. Это полезно, например, для проверки ответов разомкнутого цикла системы управления, которую вы настраиваете с настраивающаяся команда, такая как systune.

  • getLoopTransfer является genss, эквивалентный команде Simulink® Control Design™ getLoopTransfer, который работает с интерфейсами slLinearizer и slTuner. Используйте команду Simulink Control Design, когда ваша система управления будет смоделирована в Simulink.

Смотрите также

| | | | |

Представленный в R2012b