exponenta event banner

Передискретизация

Десятикратное уменьшение, интерполяция, субдискретизация, повышающая дискретизация, фильтр сглаживания

Передискретизируйте универсальные или неоднородные данные к новой фиксированной процентной ставке. Выполните десятикратное уменьшение и линейную или интерполяцию высшего порядка, не вводя искажение. Заполните разрывы в сигналах с помощью авторегрессивных оценок.

Функции

decimateДесятикратное уменьшение — уменьшает частоту дискретизации целочисленным фактором
downsampleУменьшите частоту дискретизации целочисленным фактором
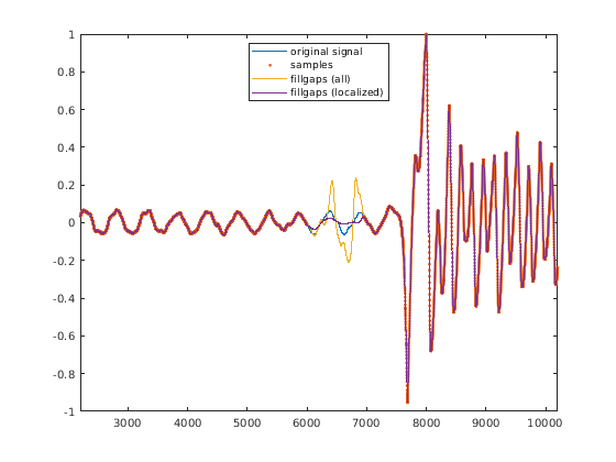
fillgapsЗаполните разрывы с помощью авторегрессивного моделирования
fillmissingЗаполните отсутствующие значения
interpИнтерполяция — увеличивает частоту дискретизации целочисленным фактором
interp11D интерполяция данных (поиск по таблице)
intfiltКИХ интерполяции фильтрует проект
pchipКусочный кубический эрмитов интерполяционный многочлен (PCHIP)
resampleПередискретизируйте универсальные или неоднородные данные к новой фиксированной процентной ставке
splineИнтерполяция данных кубическими сплайнами
upfirdnСверхдискретизируйте, примените КИХ-фильтр и субдискретизируйте
upsampleУвеличьте частоту дискретизации целочисленным фактором

Приложения

Signal AnalyzerВизуализируйте и сравните несколько сигналов и спектров

Темы

Субдискретизация — фазы сигнала

Используйте субдискретизацию, чтобы получить многофазные компоненты сигнала.

Субдискретизация — искажение

Искажение является искажением, которое происходит, когда копии спектра сигнала накладываются. Субдискретизация может ввести искажение.

Фильтрация перед субдискретизацией

Отфильтруйте прежде, чем субдискретизировать, чтобы смягчить искажение, вызванное путем искажения.

Повышающая дискретизация — обработка изображений артефактов

Сверхдискретизируйте сигнал и смотрите, как повышающая дискретизация может привести к изображениям.

Фильтрация после повышающей дискретизации — интерполяция

Сверхдискретизируйте сигнал и примените lowpass фильтр интерполяции, чтобы удалить артефакты обработки изображений.

Моделируйте систему выбирать-и-содержать

Моделируйте вывод системы выбирать-и-содержать путем повышающей дискретизации и фильтрации сигнала.

Передискретизация

Десятикратно уменьшите, интерполируйте или измените частоту дискретизации сигналов, с или без промежуточной фильтрации.

Изменение частоты дискретизации сигнала

Измените частоты дискретизации синусоиды и записанной речевой выборки.

Реализация банка многоскоростного фильтра

Реализуйте наборы фильтров с помощью функции upfirdn.

Популярные примеры