В этом примере показано, как анализировать ответы настроенной системы управления с помощью getIOTransfer вычислять отклики между различными входами и выходами замкнутой модели системы. Другие ответы можно получить с помощью аналогичных функций, таких как getLoopTransfer и getSensitivity.
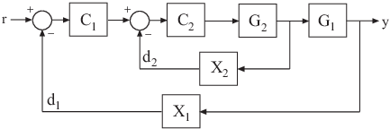
Рассмотрим следующую систему управления.

Предположим, что вы использовали systune для настройки genss модель данной системы управления. Результатом является genss модель, T, который содержит настраиваемые блоки, представляющие элементы контроллера C1 и C2. Настроенная модель также содержит AnalysisPoint блоки, представляющие местоположения точек анализа, X1 и X2.
Анализ настроенной производительности системы путем анализа различных системных ответов, полученных из T. Например, изучите реакцию на выходе, y, на возмущение, введенное в точке d1.
H1 = getIOTransfer(T,'X1','y');
H1 представляет замкнутую реакцию системы управления на возмущение, введенное на неявном входе, связанном с AnalysisPoint блок X1, которое является местоположением d1:

H1 является genss модель, которая включает перестраиваемые блоки T. H1 позволяет проверить реакцию на возмущение настроенной системы. Например, можно использовать такие команды анализа, как bodeplot или stepplot проанализировать H1. Также можно использовать getValue для получения текущего значения H1, в котором все настраиваемые блоки вычисляются в соответствии с их текущими числовыми значениями.
Аналогично, проверьте реакцию на выходе на возмущение, введенное в точке d2.
H2 = getIOTransfer(T,'X2','y');
Можно также создать модель с двумя входами и одним выходом, представляющую реакцию системы управления на одновременные возмущения d1 и d2. Для этого предоставьте getIOTransfer с массивом ячеек, который задает несколько местоположений ввода.
H = getIOTransfer(T,{'X1','X2'},'y');
AnalysisPoint | getCompSensitivity | getIOTransfer | getLoopTransfer | getSensitivity