Точки, представляющие интерес для линейного анализа
AP = AnalysisPoint(name)
AP = AnalysisPoint(name,N)
AnalysisPoint является блоком управления для маркировки местоположения в модели системы управления в качестве точки, представляющей интерес для линейного анализа и настройки контроллера. Можно комбинировать AnalysisPoint блок с числовыми моделями LTI, настраиваемыми моделями LTI и другими блоками проектирования элементов управления для построения настраиваемых моделей систем управления. AnalysisPoint доступны для анализа с помощью таких команд, как getIOTransfer или getLoopTransfer. Такие места также доступны для задания целей проектирования для настройки системы управления.
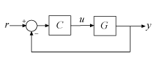
Например, рассмотрим следующую систему управления.

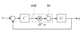
Предположим, что вас интересуют эффекты возмущения, введенного на u в этой системе управления. Вставка AnalysisPoint блок в местоположении u связывает подразумеваемый вход, подразумеваемый выход и опцию размыкания цикла в этом местоположении, как показано на следующей диаграмме.

Предположим, что T является моделью системы управления, включая AnalysisPoint блок, AP_u. В этом случае команда getIOTransfer(T,'AP_u','y') возвращает модель функции передачи с замкнутым контуром от u до y. Аналогично, команда getLoopTransfer(T,'AP_u',-1) возвращает модель отклика с отрицательной обратной связью с разомкнутым контуром, CG, измеренную в местоположении u.
AnalysisPoint блоки также полезны при настройке системы управления с помощью таких команд настройки, как systune. Вы можете использовать AnalysisPoint блок, обозначающий место открытия цикла для таких требований к настройке с разомкнутым контуром, как TuningGoal.LoopShape или TuningGoal.Margins. Также можно использовать AnalysisPoint блок для маркировки указанных входных или выходных данных в соответствии с требованиями настройки, такими как TuningGoal.Gain. Например, Req = TuningGoal.Margins('AP_u',5,40) ограничивает поля усиления и фазы в местоположении u.
Можно создавать AnalysisPoint блоки, явно использующие AnalysisPoint и соедините их с другими компонентами блок-схемы с помощью команд взаимодействия модели. Например, следующий код создает модель системы, показанную выше. (Дополнительную информацию см. в разделе «Конструкция и примеры» ниже.)
G = tf(1,[1 2]); C = tunablePID('C','pi'); AP_u = AnalysisPoint('u'); T = feedback(G*AP_u*C,1); % closed loop r->y
Можно также создавать точки анализа неявно, используя connect команда. Следующий синтаксис создает динамическую системную модель с точками анализа путем соединения нескольких моделей sys1,sys2,...,sysN:
sys = connect(sys1,sys2,...,sysN,inputs,outputs,APs);
APs В перечислены местоположения сигналов для вставки точек анализа. Программа автоматически создает и вставляет AnalysisPoint блок с каналами, соответствующими этим местоположениям. Посмотрите connect для получения дополнительной информации.
создает одноканальную точку анализа. Вставка AP = AnalysisPoint(name)AP в любом месте обобщенной модели вашей системы управления, чтобы отметить интересующую точку для линейного анализа или настройки контроллера. name указывает имя блока.
создает многоканальную точку анализа с помощью AP = AnalysisPoint(name,N)N каналы. Используйте этот блок, чтобы пометить сигнал с векторными значениями как интересующую точку или объединить несколько интересующих точек.
|
Имя точки анализа, указанное как символьный вектор, например |
|
Число каналов для многоканальной точки анализа, указанное как скалярное целое число. |
|
Названия каналов в По умолчанию каналам точек анализа присваиваются имена |
|
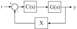
Состояние размыкания цикла, указанное как логическое значение или вектор логических значений. Это свойство отслеживает, открыт или замкнут контур в точке анализа. Например, рассмотрим цикл обратной связи на следующей иллюстрации.
Этот цикл обратной связи можно моделировать следующим образом. G = tf(1,[1 2]); C = tunablePID('C','pi'); X = AnalysisPoint('X'); T = feedback(G*C,X); Можно получить передаточную функцию от r до y с разомкнутым контуром обратной связи в точке X следующим образом. Try = getIOTransfer(T,'r','y','X'); В получившемся обобщенном состоянии-пространстве ( Для многоканальной точки анализа: По умолчанию: 0 для всех каналов |
|
Время выборки. Для По умолчанию: |
|
Единицы измерения для переменной времени, времени выборки
Изменение этого свойства не влияет на другие свойства и, следовательно, изменяет общее поведение системы. Использовать По умолчанию: |
|
Имена входных каналов, указанные как одно из следующих:
Можно также использовать автоматическое векторное расширение для назначения входных имен для моделей с несколькими входами. Например, если sys.InputName = 'controls'; Имена вводимых данных автоматически расширяются до Можно использовать сокращенную нотацию Имена входных каналов имеют несколько применений, в том числе:
По умолчанию: |
|
Блоки входных каналов, указанные как одно из следующих:
Использовать По умолчанию: |
|
Группы входных каналов. sys.InputGroup.controls = [1 2]; sys.InputGroup.noise = [3 5]; создает входные группы с именем sys(:,'controls') По умолчанию: структура без полей |
|
Имена выходных каналов, указанные как одно из следующих:
Можно также использовать автоматическое векторное расширение для назначения выходных имен для моделей с несколькими выходами. Например, если sys.OutputName = 'measurements'; Имена вывода автоматически расширяются до Можно использовать сокращенную нотацию Имена выходных каналов имеют несколько применений, в том числе:
По умолчанию: |
|
Единицы выходного канала, указанные как одно из следующих:
Использовать По умолчанию: |
|
Группы выходных каналов. sys.OutputGroup.temperature = [1]; sys.InputGroup.measurement = [3 5]; создает выходные группы с именем sys('measurement',:)По умолчанию: структура без полей |
|
Имя системы, указанное как символьный вектор. Например, По умолчанию: |
|
Любой текст, который требуется связать с системой, хранится в виде строки или массива ячеек символьных векторов. Свойство хранит данные любого типа. Например, если sys1.Notes = "sys1 has a string."; sys2.Notes = 'sys2 has a character vector.'; sys1.Notes sys2.Notes
ans =
"sys1 has a string."
ans =
'sys2 has a character vector.'
По умолчанию: |
|
Любой тип данных, который требуется связать с системой, указанный как любой тип данных MATLAB ®. По умолчанию: |