exponenta event banner

getLoopTransfer

Передаточная функция разомкнутого контура системы управления в виде genss модель

Описание

пример

L = getLoopTransfer(T,Locations) возвращает двухточечную передаточную функцию разомкнутого контура системы управления в указанных точках анализа. Система управления представлена обобщенной государственно-космической моделью T, содержащие точки анализа, указанные Locations. Функция двухточечной передачи с разомкнутым контуром - это отклик, получаемый путем открытия контура в заданных местоположениях, ввода сигналов в этих местоположениях и измерения обратных сигналов в тех же местоположениях.

пример

L = getLoopTransfer(T,Locations,sign) определяет знак обратной связи для вычисления отклика с разомкнутым контуром. Взаимосвязь между откликом с замкнутым контуром T и отклик с разомкнутым контуром L является T = feedback(L,1,sign).

пример

L = getLoopTransfer(T,Locations,sign,openings) указывает дополнительные места открытия цикла для вычисления отклика разомкнутого цикла в Locations.

Примеры

свернуть все

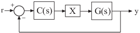
Вычислить отклик с разомкнутым контуром следующей модели системы управления в точке анализа, указанной AnalysisPoint блок, X.

Создание модели системы путем указания и подключения числовой модели завода LTI. G, настраиваемый контроллер, C, и AnalysisPoint, X.

G = tf([1 2],[1 0.2 10]);
C = tunablePID('C','pi');
X = AnalysisPoint('X');  
T = feedback(G*X*C,1);

T является genss модель, которая представляет отклик системы управления по замкнутому контуру от r до y. Модель содержит AnalysisPoint блок X, который идентифицирует потенциальное местоположение размыкания контура.

Расчет передачи петли с разомкнутым контуром в точке X.

L = getLoopTransfer(T,'X');

Эта команда вычисляет передаточную функцию, которую можно получить, открыв цикл в X, вводя сигнал в Gи измерение результирующей реакции на выходе C. По умолчанию getLoopTransfer вычисляет положительную передаточную функцию обратной связи, которая является передачей цикла, предполагая, что цикл будет закрыт в X без смены знака. В этом примере положительная передаточная функция обратной связи равна L (s) = -C (s) G (s).

Продукция L является genss модель, которая включает настраиваемый блок C. Вы можете использовать getValue для получения текущего значения L, в котором все перестраиваемые блоки L вычисляют до их текущего числового значения.

Вычислите пределы устойчивости следующей системы с замкнутым контуром в точке анализа, указанной AnalysisPoint блок, X.

Создание модели системы путем указания и подключения числовой модели завода LTI G, настраиваемый контроллер C, и AnalysisPoint блок X.

G = tf([1 2],[1 0.2 10]);
C = pid(0.1,1.5);
X = AnalysisPoint('X');  
T = feedback(G*X*C,1);

T является genss модель, которая представляет отклик системы управления по замкнутому контуру от r до y. Модель содержит AnalysisPoint блок X который определяет потенциальное местоположение размыкания контура.

По умолчанию getLoopTransfer возвращает передаточную функцию L в указанной точке анализа таким образом, что T = feedback(L,1,+1). Однако margin предполагает отрицательную обратную связь, так что margin(L) вычисляет запас устойчивости системы замкнутого цикла с отрицательной обратной связью feedback(L,1). Поэтому для анализа пределов устойчивости установите sign входной аргумент для -1 для извлечения функции переноса L такой, что T = feedback(L,1). В этом примере эта передаточная функция L (s) = C (s) G (s).

L = getLoopTransfer(T,'X',-1);

Эта команда вычисляет функцию передачи с разомкнутым контуром на входе G к выходу C, предполагая, что цикл замкнут с отрицательной обратной связью, так что вы можете использовать его с командами анализа, как margin.

[Gm,Pm] = margin(L)
Gm = 1.4100
Pm = 4.9486

Вычислите отклик разомкнутого контура внутреннего контура следующей каскадной системы управления при разомкнутом внешнем контуре.

Создание модели системы путем указания и соединения числовых моделей завода G1 и G2, настраиваемые контроллеры C1, и AnalysisPoint блоки X1 и X2 которые отмечают потенциальные места размыкания петель.

G1 = tf(10,[1 10]);
G2 = tf([1 2],[1 0.2 10]);
C1 = tunablePID('C','pi');
C2 = tunableGain('G',1);
X1 = AnalysisPoint('X1');
X2 = AnalysisPoint('X2');
T = feedback(G1*feedback(G2*C2,X2)*C1,X1);

Вычислить отклик разомкнутого контура с отрицательной обратной связью для внутреннего контура в местоположении X2, при разомкнутом внешнем контуре X1.

L = getLoopTransfer(T,'X2',-1,'X1');

По умолчанию контур замкнут в точке анализа, помеченной символом AnalysisPoint блок X1. Определение 'X1' для openings причины аргументов getLoopTransfer чтобы разомкнуть петлю на X1 для целей вычисления запрошенной передачи шлейфа на X2. В этом примере отклик с отрицательной обратной связью с разомкнутым контуром L (s) = G2 (s) C2 (s).

Входные аргументы

свернуть все

Модель системы управления, заданная как Обобщенное состояние-пространство (genss) Модель. Расположения, в которых можно открывать контуры и выполнять анализ с разомкнутым контуром, отмечены AnalysisPoint блоки в T.

Местоположения точек анализа в модели системы управления, в которых вычисляется отклик «точка-точка» с разомкнутым контуром, заданный как символьный вектор или массив ячеек символьных векторов, которые идентифицируют местоположения точек анализа в T.

Расположения точек анализа отмечены AnalysisPoint блоки в T. Один AnalysisPoint блок может иметь один или несколько каналов. Location свойство AnalysisPoint блок дает имена этим каналам обратной связи.

Имя любого канала в AnalysisPoint блок в T является действительной записью для Locations аргумент для getLoopTransfer. Чтобы получить полный список доступных точек анализа в T, использовать getPoints(T).

getLoopTransfer вычисляет отклик с разомкнутым контуром, полученный путем ввода сигнала на неявный вход, связанный с AnalysisPoint и измеряют отклик на неявном выходе, связанном с каналом. Эти неявные входы и выходы расположены следующим образом.

L - функция передачи с разомкнутым контуром из in кому out.

Признак передаточной функции разомкнутого контура для анализа, указанный как +1 или -1.

По умолчанию для входной системы с замкнутым контуром Tфункция возвращает передаточную функцию L в указанной точке анализа, так что T = feedback(L,1,+1). Однако некоторые команды анализа, принимающие отклик с разомкнутым контуром, предполагают, что цикл будет замкнут с отрицательной обратной связью. Например, margin(L) вычисляет запас устойчивости системы замкнутого цикла с отрицательной обратной связью feedback(L,1). Аналогично, поля устойчивости можно получить, щелкнув правой кнопкой мыши по bode график делает то же самое предположение. Поэтому при использовании getLoopTransfer для извлечения функции передачи с разомкнутым контуром с целью анализа стабильности с замкнутым контуром можно задать sign = -1 для извлечения функции переноса L такой, что T = feedback(L,1).

Например, рассмотрим следующую систему, где T - функция передачи с обратной связью от r к y.

По умолчанию L = getLoopTransfer(T,'X') вычисляет передаточную функцию L = -C (s) G (s), так чтоT = feedback(L,1,+1). Расчет пределов устойчивости на X с использованием margin команда, которая предполагает отрицательную обратную связь, необходимо вычислить передаточную функцию L = C (s) G (s), так чтоT = feedback(L,1). Для этого используйте L = getLoopTransfer(T,'X',-1).

Дополнительные местоположения для открытия контуров обратной связи для вычисления отклика с разомкнутым контуром, определенные как символьный вектор или массив ячеек символьных векторов, которые идентифицируют местоположения точек анализа в T. Расположения точек анализа отмечены AnalysisPoint блоки в T. Любое имя канала, содержащееся в Location свойство AnalysisPoint блок в T является допустимой записью для openings.

Использовать openings если требуется вычислить отклик с разомкнутым контуром в одном месте точки анализа, при этом другие контуры также будут открыты в других местах. Например, в каскадной конфигурации контура можно вычислить отклик разомкнутого контура с разомкнутым внешним контуром. Использовать getPoints(T) чтобы получить полный список доступных местоположений точек анализа в T.

Выходные аргументы

свернуть все

Двухточечная разомкнутая реакция системы управления T измеряется в точках анализа, указанных Locations, возвращенный как обобщенное состояние-пространство (genss) модель.

  • Если Locations задает одну точку анализа, затем L является SISO genss модель. В этом случае L представляет ответ, полученный при открытии цикла в Locationsвпрыск сигналов и измерение обратных сигналов в одном и том же месте.

  • Если Locations является векторным сигналом или задает несколько точек анализа, затем L является MIMO genss модель. В этом случае L представляет отклик MIMO с разомкнутым контуром, полученный при открытии петель во всех местоположениях, перечисленных в Locationsвпрыск сигналов и измерение обратных сигналов в этих местах.

Совет

  • Вы можете использовать getLoopTransfer для извлечения откликов с разомкнутым контуром с помощью обобщенной модели общей системы управления. Это полезно, например, для проверки ответов с разомкнутым контуром системы управления, настроенной с помощью команды настройки, такой как systune.

  • getLoopTransfer является genss эквивалентно команде Simulink ® Control Design™getLoopTransfer (Simulink Control Design), который работает с slTuner и slLinearizer интерфейсы. Команда «Управление симуляцией» используется при моделировании системы управления в Simulink.

См. также

| | | | | (Simulink Control Design)

Представлен в R2012b