В 1988 году Маллат создал алгоритм быстрого вейвлет-разложения и реконструкции [1]. Алгоритм Маллата для дискретного вейвлет-преобразования (DWT) фактически является классической схемой в сообществе обработки сигналов, известной как двухканальный поддиапазонный кодер с использованием сопряженных квадратурных фильтров или квадратурных зеркальных фильтров (QMF).
Алгоритм разложения начинается с сигнала s, затем вычисляются координаты A1 и D1, а затем координаты A2 и D2 и так далее.
Алгоритм реконструкции, называемый обратным дискретным вейвлет-преобразованием (IDWT), начинается с координат AJ и DJ, затем вычисляет координаты AJ-1, а затем с помощью координат AJ-1 и DJ-1 вычисляет координаты AJ-2 и так далее.
В этом разделе рассматриваются следующие темы:
Для ортогонального вейвлета в фреймворке мультирешений мы начинаем с масштабной функции, а затем с вейвлет-функции. Одним из фундаментальных отношений является двухмасштабное отношение (уравнение расширения или уравнение уточнения):
− n)
Все фильтры, используемые в DWT и IDWT, тесно связаны с последовательностью
(wn) n∊Z
Ясно, что при компактной поддержке, последовательность (wn) является конечной и может рассматриваться как фильтр. Фильтр W, который называется фильтром масштабирования (ненормализованным), является
Конечная импульсная характеристика (КИХ)
Длины 2N
Суммы 1
Нормы
Нормы 1
Фильтр нижних частот
Например, для db3 фильтр масштабирования,
load db3
db3
db3 =
0.2352 0.5706 0.3252 -0.0955 -0.0604 0.0249
sum(db3)
ans =
1.0000
norm(db3)
ans =
0.7071
Из фильтра W мы определяем четыре фильтра FIR длиной 2N и нормой 1, организованных следующим образом.
Фильтры | Низкопроходная | Высокопроходимая |
|---|---|---|
Разложение | Lo_D | Hi_D |
Реконструкция | Lo_R | Hi_R |
Четыре фильтра вычисляются с использованием следующей схемы.

где qmf является таким, что Hi_R и Lo_R являются квадратурными зеркальными фильтрами (т.е. Hi_R (k) = (-1) k Lo_R (2N + 1 - k)) для k = 1, 2,..., 2N.
Обратите внимание, что wrev разворачивает коэффициенты фильтра. Так что Hi_D и Lo_D - это также квадратурные зеркальные фильтры. Вычисление этих фильтров выполняется с помощью orthfilt. Далее мы иллюстрируем эти свойства с помощью db6 вейвлет.
Загрузите фильтр масштабирования экстремальной фазы Daubechies и постройте график коэффициентов.
load db6; subplot(421); stem(db6,'markerfacecolor',[0 0 1]); title('Original scaling filter');
Использовать orthfilt для возврата фильтров анализа (разложения) и синтеза (реконструкции).
Получить дискретные преобразования Фурье (DFT) фильтров анализа нижних и верхних частот. Постройте график модуля DFT.
LoDFT = fft(Lo_D,64); HiDFT = fft(Hi_D,64); freq = -pi+(2*pi)/64:(2*pi)/64:pi; subplot(427); plot(freq,fftshift(abs(LoDFT))); set(gca,'xlim',[-pi,pi]); xlabel('Radians/sample'); title('DFT Modulus - Lowpass Filter') subplot(428); plot(freq,fftshift(abs(HiDFT))); set(gca,'xlim',[-pi,pi]); xlabel('Radians/sample'); title('Highpass Filter');

Учитывая сигнал s длиной N, DWT состоит максимум из log2N каскадов. Начиная с s, первый шаг производит два набора коэффициентов: коэффициенты аппроксимации cA1 и коэффициенты детализации cD1. Эти векторы получают сверткой s с фильтром нижних частот Lo_D для аппроксимации и с фильтром верхних частот Hi_D для детализации с последующим диадическим прореживанием.
Точнее, первый шаг -

Длина каждого фильтра равна 2L. Результатом свертки сигнала длины N с фильтром длины 2L является N + 2L-1. Поэтому сигналы F и G имеют длину N + 2L - 1. После понижающей дискретизации на 2 векторы коэффициентов cA1 и cD1 имеют длину
+ L ⌋.
Следующий шаг разбивает коэффициенты аппроксимации, cA1 на две части, используя одну и ту же схему, заменяя s на cA1 и производя cA2 и cD2 и так далее.

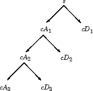
Итак, вейвлет-разложение сигнала s, анализируемого на уровне j, имеет следующую структуру: [cAj, cDj,..., cD1].
Эта структура содержит для J = 3 терминальные узлы следующего дерева.

И наоборот, начиная с cAj и cDj, IDWT восстанавливает cAj-1, инвертируя этап разложения путем вставки нулей и свертывания результатов с фильтрами реконструкции.

Для изображений возможен аналогичный алгоритм для двумерных вейвлетов и функций масштабирования, полученных из 1-D вейвлетов тензориальным произведением.
Такого рода 2-D DWT приводит к разложению коэффициентов аппроксимации на уровне j в четырёх компонентах: аппроксимации на уровне j + 1 и деталей в трёх ориентациях (горизонтальной, вертикальной и диагональной).
Следующие диаграммы описывают основные этапы разложения и реконструкции изображений.


Так, для J = 2 2-D вейвлет-дерево имеет следующий вид.

Наконец, давайте упомянем, что для биоргональных вейвлетов одни и те же алгоритмы содержат, но фильтры разложения, с одной стороны, и фильтры реконструкции, с другой стороны, получены из двух различных функций масштабирования, связанных с двумя анализами множественных решений в дуальности.
В этом случае фильтры для разложения и восстановления обычно имеют различную нечетную длину. Такая ситуация имеет место, например, для биорогональных вейвлетов «сплайнов», используемых в панели инструментов. При заполнении нулями четыре фильтра могут быть расширены таким образом, что они будут иметь одинаковую четную длину.
В предыдущем параграфе описываются алгоритмы, предназначенные для сигналов или изображений конечной длины. Чтобы понять обоснование, мы должны рассмотреть сигналы бесконечной длины. Способы расширения данного сигнала конечной длины описаны в Border Effects.
Обозначим h = Lo_R и g = Hi_R и сосредоточимся на 1-D случае.
Сначала мы обосновываем, как перейти от уровня j к уровню j + 1, для вектора аппроксимации. Это основной шаг алгоритма разложения для вычисления аппроксимаций. Детали вычисляются таким же образом с использованием фильтра g вместо фильтра h.
Пусть (Ak (j)) k∊Z быть координатами вектора Aj:
, k
и Ak (j + 1) координаты вектора Aj + 1:
, k
Ak (j + 1) рассчитывается по формуле
=∑nhn−2kAn (j)
Эта формула напоминает формулу свертки.
Расчет очень прост.
Давайте определим
=∑nh˜k−nAn (j).
Последовательность F (j + 1) является отфильтрованным выходом последовательности A (j) с помощью фильтра h˜.
Получаем
Ak (j + 1) = F2k (j + 1)
Мы должны взять четные значения индекса F. Это понижающая выборка.
Последовательность A (j + 1) является пониженной версией последовательности F (j + 1).
Инициализация выполняется с использованием Ak (0) = s (k), где s (k) - значение сигнала в момент времени k.
Есть несколько причин для этого неожиданного результата, все из которых связаны с ситуацией множественного разрешения и с несколькими свойствами функций ,
Давайте рассмотрим некоторые из них.
Семейство образовано ортонормированными функциями. В результате для любого j семейство является ортонормированным.
Двойное индексированное семейство
ортонормированный.
Для любого j, ортогональные к ).
Между двумя последовательными шкалами мы имеем фундаментальное отношение, называемое двойным отношением.
| Двухмасштабное отношение (Twin-Scale Relation) для | |
|---|---|
|
|
|
Это отношение вводит h-фильтр алгоритма 2startn). Дополнительные сведения см. в разделе Фильтры, используемые для расчета DWT и IDWT.
Мы проверяем, что:
Координата фj + 1,0 на фj, k равна hk и не зависит от j.
Координата фj + 1, n на фj, k равна ϕj+1,n,ϕj,k〉=hk−2n .
Эти отношения обеспечивают ингредиенты для алгоритма.
До сих пор мы использовали фильтр h. Фильтр верхних частот g используется в отношении сдвоенных шкал, связывающих функции, связанные между собой. Между двумя последовательными шкалами мы имеем следующую двойную фундаментальную связь.
Двухмасштабная связь между | |
|---|---|
|
|
|
После этапа разложения мы оправдываем теперь алгоритм реконструкции, построив его. Упростим нотацию. Начав с A1 и D1, изучим A0 = A1 + Dj1. Процедура является такой же, чтобы вычислить A = Aj + 1 + Dj + 1.
Определим αn, δn, по
Оценим координаты αk0 как
Мы сосредоточим наше исследование на первой сумме вторая сумма обрабатывается аналогичным образом.
Вычисления легко организованы, если отметить, что (принимая k = 0 в предыдущих формулах, делает вещи проще)
+ a0h0 + 0h − 1 + a1h − 2 + 0h − 3 + a2h − 4 +...
Если мы преобразуем последовательность в новую последовательность ), определенную
..., α–1, 0, α0, 0, α1, 0, α2, 0, ... это именно
Тогда
и путем продления
С тех пор
этапы реконструкции:
Замените последовательности α и δ увеличенными версиями α˜ и вставкой нулей.
Фильтровать по h и g соответственно.
Суммировать полученные последовательности.
Объекты | Описание | |
|---|---|---|
Сигнал в исходное время | s Ak, 0 ≤ k ≤ j Dk, 1 ≤ k ≤ j | Исходный сигнал Приближение на уровне k Детализация на уровне k |
Коэффициенты во времени, связанном со шкалой | cAk, 1 ≤ k ≤ j cDk, 1 ≤ k ≤ j [cAj, cDj,..., cD1] | Коэффициенты аппроксимации на уровне k Коэффициенты детализации на уровне k Вейвлет-декомпозиция на уровне j, j ≥ 1 |
Цель | Вход | Продукция | Файл |
|---|---|---|---|
Одноуровневая декомпозиция | s | cA1, cD1 | dwt |
Одноуровневая декомпозиция | cAj | cAj + 1, cDj + 1 | dwt |
Разложение | s | [cAj, cDj,..., cD1] | wavedec |
Цель | Вход | Продукция | Файл |
|---|---|---|---|
Одноуровневая реконструкция | cA1, cD1 | s или A0 | idwt |
Одноуровневая реконструкция | cAj + 1, cDj + 1 | cAj | idwt |
Полная реконструкция | [cAj, cDj,..., cD1] | s или A0 | waverec |
Выборочная реконструкция | [cAj, cDj,..., cD1] | Аль, Дм | wrcoef |
Цель | Вход | Продукция | Файл |
|---|---|---|---|
Извлечение коэффициентов детализации | [cAj, cDj,..., cD1] | cDk, 1 ≤ k ≤ j | detcoef |
Извлечение коэффициентов аппроксимации | [cAj, cDj,..., cD1] | cAk, 0≤ k ≤ j | appcoef |
Перекомпозиция структуры разложения | [cAj, cDj,..., cD1] | [cAk, cDk,..., cD1] 1 ≤ k ≤ j | upwlev |
Для иллюстрации режима командной строки для 1-D возможностей см. раздел Анализ 1-D с помощью командной строки..
Объекты | Описание | |
|---|---|---|
Изображение в исходном разрешении | s | Исходное изображение |
A0 | Аппроксимация на уровне 0 | |
Ak, 1 ≤ k ≤ j | Приближение на уровне k | |
Dk, 1 ≤ k ≤ j | Сведения на уровне k | |
Коэффициенты в разрешении, связанном с масштабом | cAk, 1 ≤ k ≤ j | Коэффициенты аппроксимации на уровне k |
cDk, 1 ≤ k ≤ j | Коэффициенты детализации на уровне k | |
[cAj, cDj,..., cD1] | Вейвлет-декомпозиция на уровне j |
Dk означает (d)], горизонтальные, вертикальные и диагональные детали на уровне k.
То же самое относится к cDk, который обозначает (d)].
Файлы 2-D аналогичны файлам для 1-D случая, но с 2 добавляется в конце команды.
Например, idwt становится idwt2. Дополнительные сведения см. в разделе 1-D вейвлет-возможностей.
Для иллюстрации режима командной строки для 2-D возможностей см. Анализ и сжатие вейвлетного изображения.
[1] Маллат, С. Г. «Теория декомпозиции сигналов с множественным разрешением: вейвлет-представление», транзакции IEEE по анализу шаблонов и машинному интеллекту. Том 11, выпуск 7, июль 1989 года, стр. 674-693.