exponenta event banner

traceTee

Создайте трассировку мишени

Описание

Используйте traceTee объект создать трассировку мишени на плоскости X-Y.

Создание

Описание

пример

trace = traceTee создает трассировку мишени со свойствами по умолчанию на плоскости X-Y.

trace = traceTee(Name=Value) Свойства наборов с помощью одних или нескольких аргументов name-value. Например, traceTee(ReferencePoint=[1 1]) создает трассировку мишени с контрольной точкой [1 1]. Свойства, не заданные, сохраняют свои значения по умолчанию.

Свойства

развернуть все

Имя мишени прослеживает в виде вектора символов или строкового скаляра.

Пример: trace = traceTee(Name="traceTeeShape")

Типы данных: char | string

Контрольная точка мишени прослеживает в метрах в виде двухэлементного вектора из неотрицательных элементов.

Пример: trace = traceTee(ReferencePoint=[1 1])

Типы данных: double

Длина горизонтальных и вертикальных линий в метрах в виде двухэлементного вектора из положительных элементов.

Пример: trace = traceTee(Length=[0.0300 0.0200])

Типы данных: double

Ширина горизонтальных и вертикальных линий в метрах в виде двухэлементного вектора из положительных элементов.

Пример: trace = traceTee(Width=[0.0060 0.0060])

Типы данных: double

Возместите вдоль Оси X в метрах в виде неотрицательного скаляра.

Пример: trace = traceTee(Offset=0.0005)

Типы данных: double

Функции объекта

addBoolean объединяет операцию на двух формах PCB RF
subtractБулева операция вычитания на двух формах PCB RF
intersectБулева перекрестная операция на двух формах PCB RF
plusShape1 + Shape2 для форм PCB RF
minusShape1 - Shape2 для форм PCB RF
andShape1 & Shape2 для форм PCB RF
areaВычислите область формы PCB RF в квадратных метрах
rotateВращайте форму PCB RF о заданной оси
rotateXВращайте форму PCB RF о x - ось
rotateYВращайте форму PCB RF о y - ось и угол
rotateZВращайте форму PCB RF о z - ось
translateПереместите форму PCB RF в новое местоположение
scaleИзмените размер формы PCB RF установленной суммой

Примеры

свернуть все

Создайте трассировку мишени со свойствами по умолчанию.

trace = traceTee
trace = 
  traceTee with properties:

              Name: 'mytraceTeeShape'
    ReferencePoint: [0 0]
            Length: [0.0200 0.0100]
             Width: [0.0050 0.0050]
            Offset: 0

Просмотрите трассировку.

show(trace)

Figure contains an axes object. The axes object contains 2 objects of type patch. This object represents PEC.

Спроектируйте микрополосковую линию электропередачи на уровне 3 ГГц для подложки FR4.

m = design(microstripLine('Substrate',dielectric('FR4')),3e9);

Создайте микрополосковый Тройник.

layer2d = traceTee('Length',[m.Length m.Length/4],...
"Width",[m.Width m.Width/2]);

Преобразуйте трассировку Тройника в 3-D компонент.

robj = pcbComponent(layer2d);
robj.BoardThickness = m.Substrate.Thickness;
robj.Layers{2} = m.Substrate;
show(robj)

Figure contains an axes object. The axes object with title pcbComponent element contains 8 objects of type patch, surface. These objects represent PEC, feed, FR4.

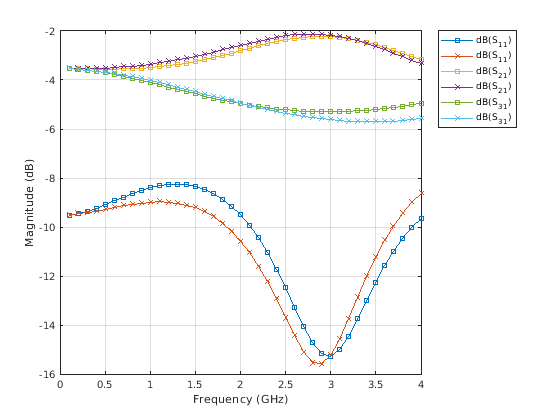
Задайте точки частоты, чтобы вычислить s-параметры.

freq = (1:40)*100e6;

Вычислите s-параметры трассировки Тройника с помощью поведенческой модели.

Sckt = sparameters(robj,freq,75,'Behavioral',true);
Warning: Behavioral model is valid only when Z0 of main line is 50 ohms and for EpsilonR of 9.9.

Вычислите s-параметры трассировки Тройника с помощью электромагнитного решателя.

Sem = sparameters(robj,freq,75)
Sem = 
  sparameters: S-parameters object

       NumPorts: 3
    Frequencies: [40x1 double]
     Parameters: [3x3x40 double]
      Impedance: 75

  rfparam(obj,i,j) returns S-parameter Sij

Отобразите данные s-параметра на графике с помощью rfplot функция.

rfplot(Sckt,1,1,'db','-s')
hold on
rfplot(Sem,1,1,'db','-x')
rfplot(Sckt,2,1,'db','-s')
rfplot(Sem,2,1,'db','-x')
rfplot(Sckt,3,1,'db','-s')
rfplot(Sem,3,1,'db','-x')

Figure contains an axes object. The axes object contains 6 objects of type line. These objects represent dB(S_{11}), dB(S_{21}), dB(S_{31}).

Ссылки:

  1. Ramesh Garg & я. Дж. Баль (1978) Микрополосковые разрывы, Международный журнал Электроники, 45:1, 81-87, DOI: 10.1080/00207217808900883

  2. Wadell, руководство проекта линии электропередачи Брайана К. Микроволновая библиотека дома Artech. Бостон: дом Artech, 1991.

Смотрите также

| | | |

Введенный в R2021b